全部版块 我的主页
论坛 计量经济学与统计论坛 五区 计量经济学与统计软件 Stata专版
4829 3
2011-02-23
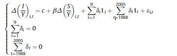
各位坛友,最近读一外文PAPER,文章用最小二乘虚拟变量模型或协方差模型(LSDV)做投资率和储蓄率的面板回归。作者对截面虚拟变量和时间虚拟变量各施加了个约束条件,即所有虚拟变量前的系数和为0。我之前看过的文章和书中都没有出现过这种情况,请高人指导!如附件所示:
另外,文章有9个国家在1988-2006年的数据,为什么截面虚拟变量在存在常数项的情况也用了9个?这样不是会出现dummy trap吗?而时间虚拟变量在我看来又是合适的。注:文章我感觉在用1997(亚洲金融危机)年做结构突变型的邹检验, 如果这种感觉成立,那么面板数据也能做邹检验,对吧?
谢谢!
附件列表
未命名.jpg

原图尺寸 8.32 KB

未命名.jpg

二维码

扫码加我 拉你入群

请注明:姓名-公司-职位

以便审核进群资格,未注明则拒绝

全部回复
2011-2-23 23:00:02
一定不能沉下去
二维码

扫码加我 拉你入群

请注明:姓名-公司-职位

以便审核进群资格,未注明则拒绝

2011-2-24 09:33:51
没有帮我吗?
二维码

扫码加我 拉你入群

请注明:姓名-公司-职位

以便审核进群资格,未注明则拒绝

2011-2-25 02:57:11
围观围观吧。。。。
二维码

扫码加我 拉你入群

请注明:姓名-公司-职位

以便审核进群资格,未注明则拒绝

相关推荐
栏目导航
热门文章
推荐文章

说点什么

分享

扫码加好友,拉您进群
各岗位、行业、专业交流群