经管之家App
让优质教育人人可得
立即打开
全部版块
我的主页
›
论坛
›
计量经济学与统计论坛 五区
›
计量经济学与统计软件
求助,为什么我推出来的b1的方差跟书上不同?
楼主
AdrianW
2942
7
收藏
2011-03-07
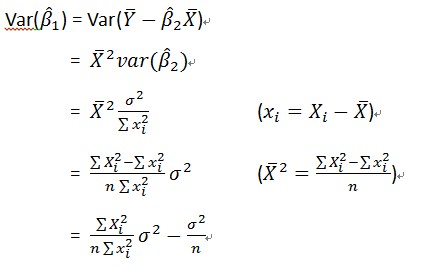
为什么我推出来的var(b1)与Gujarati书上的不同?过程见图片或者附件。
求高手看一下,我哪里推错了。
谢谢。
附件列表
QQ截图未命名.jpg
原图尺寸 19.11 KB
扫码加我 拉你入群
请注明:姓名-公司-职位
以便审核进群资格,未注明则拒绝
全部回复
沙发
AdrianW
2011-3-7 23:32:50
比书上多出了最后那么个小东西。。。
扫码加我 拉你入群
请注明:姓名-公司-职位
以便审核进群资格,未注明则拒绝
藤椅
AdrianW
2011-3-8 08:54:02
谁能帮我解决一下。谢谢了
扫码加我 拉你入群
请注明:姓名-公司-职位
以便审核进群资格,未注明则拒绝
板凳
harlon1976
2011-3-8 10:04:49
你忽略了Y 的均值与BETA估计之间的协方差。
扫码加我 拉你入群
请注明:姓名-公司-职位
以便审核进群资格,未注明则拒绝
报纸
AdrianW
2011-3-8 10:52:47
4#
harlon1976
beta和Y的均值之间有关系嘛?
扫码加我 拉你入群
请注明:姓名-公司-职位
以便审核进群资格,未注明则拒绝
地板
AdrianW
2011-3-8 12:42:34
4#
harlon1976
明白了,谢谢。。
扫码加我 拉你入群
请注明:姓名-公司-职位
以便审核进群资格,未注明则拒绝
点击查看更多内容…
7楼
蓝色
2011-3-8 12:48:06
你把Var(Y均值) 漏掉了
第一步就错了吧
扫码加我 拉你入群
请注明:姓名-公司-职位
以便审核进群资格,未注明则拒绝
8楼
MIKITORY
2015-5-12 12:53:32
AdrianW 发表于 2011-3-8 12:42
4# harlon1976
明白了,谢谢。。
我还是不太明白、
可以演算一遍给我看看吗
帮帮忙,谢啦
扫码加我 拉你入群
请注明:姓名-公司-职位
以便审核进群资格,未注明则拒绝
相关推荐
经济计量学精要v2-gujarati
经济计量学精要v2-gujarati.pdf
经济计量学精要v2-gujarati.pdf,很棒的哦!
经济计量学精要v2-gujarati.pdf,跪求版主给我加点金钱吧!我太穷了,什么也下载不了,感激不尽!
[求助]“在重复抽样中X值是固定的??
免费:gujarati计量经济学网站的网址
Gujarati - 经济计量学精要
[原创]Gujarati - 经济计量学精要
[下载]gujarati英文版讲义
GUJARATI 计量经济学 第5版
栏目导航
计量经济学与统计软件
stata专版
行业分析报告
经管文库
文献求助专区
数据交流中心
热门文章
当Stata遇上 AI 智能体:你的实证研究,正在 ...
从数据仓库到智能取数:CDA数据分析师视角下 ...
CDA 认证考试大纲 2025 重磅更新:一二级考 ...
智能卫生间解决方案行业深度分析报告:从自 ...
全球工程前沿2025
低空经济蓄势腾飞 开辟消费新蓝海
AI已来,是时候拜读司马贺(西蒙)的高瞻远 ...
抗衰大脑([美]马克·米尔斯坦)
从指标罗列到体系赋能:CDA数据分析师视角下 ...
stata里如何对面板数据进行Fractional Logi ...
推荐文章
五一充电,学术突围!四大AI赋能王牌课程, ...
关于学术研究和论文发表的一些建议
几种免费下载文献的方法----我的文献应助经
【必看】【本版版规,欢迎发悬赏贴求助】
【新课】26年3月|Gemini辅助论文写作与数据 ...
关于如何利用文献的若干建议
关于科研中如何学习基础知识的一些建议 (一 ...
一个自编的经济学建模小案例 --写给授课本科 ...
AI智能体赋能教学改革: 全国AI教育教学应用 ...
2025中国AIoT产业全景图谱报告-406页
说点什么
分享
微信
QQ空间
QQ
微博
扫码加好友,拉您进群
各岗位、行业、专业交流群