巢湖市图书馆2021年图书采购项目
招标公告(网上招投标)
项目概况
巢湖市图书馆2021年图书采购项目的潜在投标人应在安徽(区域)公共资源交易电子服务系统查询、获取招标文件,并于2021年4月28日09点00分(北京时间)前递交投标文件。
一、项目基本情况
项目编号∶ 2021AMMHZ00058
项目名称∶ 巢湖市图书馆2021年图书采购
项目预算∶70万元
最高限价∶70万元
采购需求∶本项目主要为采购巢湖市图书馆2021年图书,详见招标文件。
合同履行期限∶合同签订后1个月内供货完成,合同签订后2个月完成书籍加工。
本项目不接受联合体投标。
二、获取招标文件
1、时间∶ 2021年4月8日至2021年4月14日,每天上午8点至12点,下午12点至17点 30分;
2、地点∶ 安徽(区域)公共资源交易电子服务系统(http∶//ggzy.hefei.gov.cn/);
3、方式∶
(1)投标人须登录安徽(区域)公共资源交易电子服务系统(电子服务系统)查阅招标文件。首次登录须持有电子服务系统兼容的数字证书,详情参见电子服务系统办事指南。
(2)招标文件获取过程中有任何疑问,请在工作时间(工作日∶ 9∶00-12∶00,13∶00- 17∶00,节假日休息)拨打交易中心服务热线(非项目咨询)∶ 0551-68110066。
4、售价∶免费。
三、提交投标文件截止时间、开标时间和地点
1、提交(上传)投标文件截止时间(开标时间)∶ 2021年4月28日09时00分
2、提交(上传)投标文件地点(开标地点)∶ 巢湖市公共资源交易中心开标1室(太湖山路原老党校(阳光花园小区大门对面))
四、公告期限
自本公告发布之日起 5 个工作日。
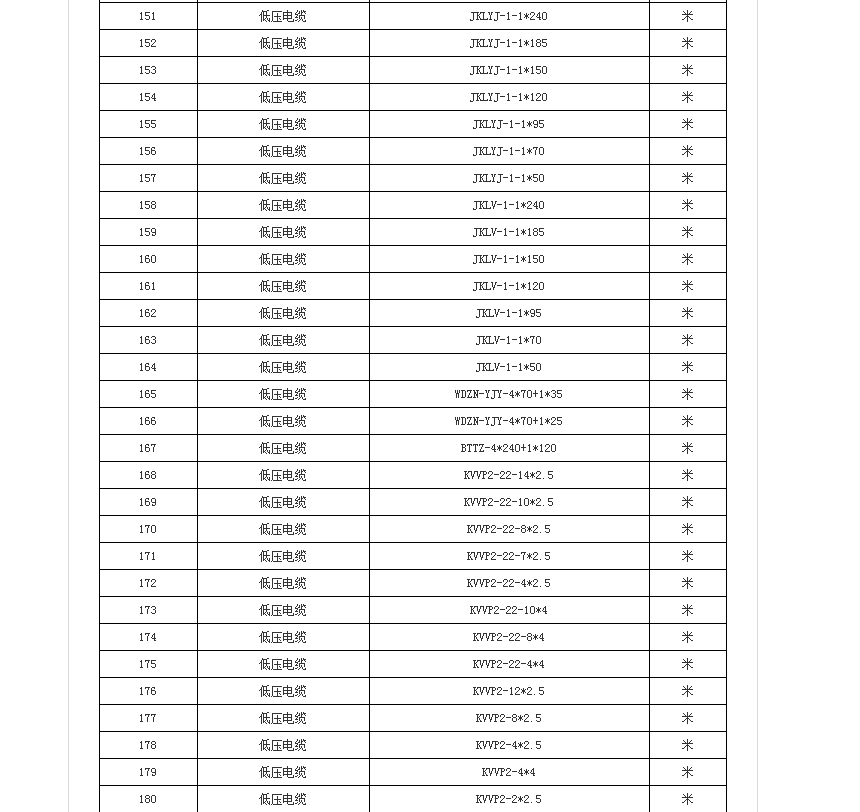
详情见下图



2021年第二批零星及在急工程低压线缆框架协议
招标公告
安徽安天利信工程管理股份有限公司受合肥庐源电力工程有限公司肥东分公司的委托,现对"2021年第二批零星及在急工程低压线缆框架协议"(招标编号∶21AT12046302079)进行公开招标,欢迎符合条件的投标人参加投标。
一、招标内容
1、招标编号∶ 21AT12046302079
2、项目名称∶2021年第二批零星及在急工程低压线缆框架协议
3、采购方式∶ 公开招标
4、包别划分∶本项目共分为1个包
5、招标货物类别
;
二、招标文件的获取
1、申请获取招标文件时间∶ 2021年4月7日至2021年4月14日17∶00时(北京时间)。
2、获取方式:线上获取(信e来招标采购电子交易平台https://www.xinesai.som/)
备注∶投标人须在招标公告规定的时间内完成线上注册---注册资料审核-申请获取招标文件资料审核---网上申请获取招标文件缴费---系统自动生成招标文件购买电子发票-完成申请获取招标文件手续---投标人下载招标文件。
(只能开具电子版增值税普通发票,发票一经开出概不退换)
三、发布公告的媒介
本次招标采取公开招标方式,招标代理机构仅在"安徽省招标投标信息网"(http∶/www.ahtba.org cn)、信e采交易平台(https∶//www.xinecai.com)上发布招标公告。
四、联系方式
招标代理机构∶ 安徽安天利信工程管理股份有限公司
地址∶合肥市祁门路1779号安微国贸大厦6楼604室
联系人∶ 刘先生、王女士、黄先生
电话/手机∶0551-63736230/18456556385、18355113103、0551-63T35901
邮箱∶ ztliu@ahbidding com
五、重要说明∶
1、最终资格审查是否合格由专家委员会根据资格审查文件或招标文件规定判定。
2、本项目采用网上招投标方式,请投标人在信e采系统中下载电子标书制作工具,具体见"具体操作步骤和程序请参见"资料下载"栏目--"信e采投标人操作手册",仔细阅读招标文件要求和相关操作手册。(如有技术问题请联系 0551-63735952/63739511)。
3、投标人须用数字证书签章和加密投标文件,建议使用企业法人主锁。如未办理数字证书请及时到安徽省电子认证管理中心(合肥市祁门路1779号安徽国贸太原东侧1楼大厅集中办理点)或网上直接办理,联系电话:0551- 63733806,CA办理须知详见信e采系统"CA办理须知要求"。
4、本项目投标人需采用最新版投标文件制作工具,具体请在"信e采招标采购电子交易平台"资料下载页面(https∶
//www.xinecai.com/dowrload)下载,软件启动加时也将进行提示(需在国际互联网络通畅状态),各投标人需注意更新(更新前务必将杀毒软件及安全卫士退出,否则会导致更新失败),以免造成标书制作错误,如因此导致无效投标,责任自负)。
来源:安徽省招标投标信息网(若有问题,请及时联系我们删除)