经管之家App
让优质教育人人可得
立即打开
全部版块
我的主页
›
论坛
›
提问 悬赏 求职 新闻 读书 功能一区
›
经管百科
›
爱问频道
amos有一个残差一直显示unidentified
楼主
d淡定
779
0
收藏
2021-04-20
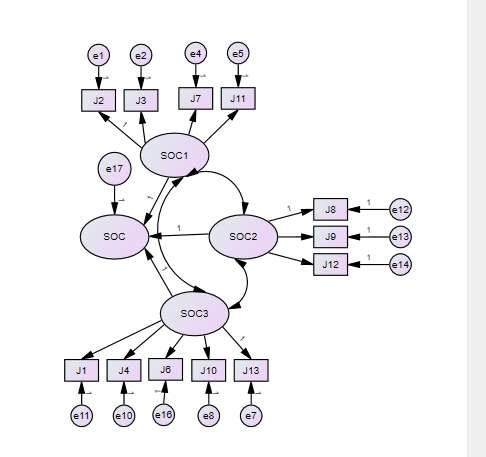
如图,可以跑,但是按钮是灰的<br>
e17一直显示unidentified
扫码加我 拉你入群
请注明:姓名-公司-职位
以便审核进群资格,未注明则拒绝
栏目导航
爱问频道
外文文献专区
计量经济学与统计软件
经管文库(原现金交易版)
创新与战略管理
外语学习
热门文章
CDA考试模拟题库:新增章节练习题(更新于1 ...
文本分析:从经管顶刊“加分项”到学术发表 ...
【AI Agent可靠性】 智能体Agent记忆系统: ...
CDA 认证考试大纲 2025 重磅更新:一二级考 ...
CAIE人工智能工程师认证
哈耶克作品集 6本 含通往奴役之路、自由宪章 ...
25秋投资学回忆
博观研究院2025年中国跨境进口保健品市场分 ...
PromptCoT-2.0-SFT-4.8M 监督微调提示 SFT ...
货币--是如何产生成长发展的和人类的四大工 ...
推荐文章
AI狂潮席卷学术圈,不会编程也能打造专属智 ...
10月重磅来袭|《打造Coze/Dify专属学术智能 ...
最快1年拿证,学费不足5W!热门美国人工智能 ...
关于如何利用文献的若干建议
关于学术研究和论文发表的一些建议
关于科研中如何学习基础知识的一些建议 (一 ...
一个自编的经济学建模小案例 --写给授课本科 ...
AI智能体赋能教学改革: 全国AI教育教学应用 ...
2025中国AIoT产业全景图谱报告-406页
关于文献求助的一些建议
说点什么
分享
微信
QQ空间
QQ
微博
扫码加好友,拉您进群
各岗位、行业、专业交流群