立即打开
悬赏 1 个论坛币 未解决
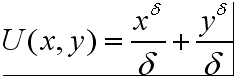
尼克尔森的微观教材,第三章偏好效用中有

,当

=0时候,可以得到柯布道格拉斯效用函数
另外,还有另一个教材一个类似的推导:

当

=1时,CES函数化为柯布道格拉斯形式
文科生,数学不太好,希望大家给予帮助!谢谢!
扫码加我 拉你入群
请注明:姓名-公司-职位
以便审核进群资格,未注明则拒绝
全部回复
扫码加我 拉你入群
请注明:姓名-公司-职位
以便审核进群资格,未注明则拒绝
扫码加我 拉你入群
请注明:姓名-公司-职位
以便审核进群资格,未注明则拒绝
见图片…………
扫码加我 拉你入群
请注明:姓名-公司-职位
以便审核进群资格,未注明则拒绝
相关推荐
栏目导航
热门文章
推荐文章
扫码加好友,拉您进群