全部版块 我的主页
论坛 计量经济学与统计论坛 五区 计量经济学与统计软件 LISREL、AMOS等结构方程模型分析软件
5599 1
2021-06-21

Amos做中介效应分为“上篇:模型构建”和“下篇:模型解读”

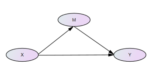
1.什么是中介效应?

中介效应,它指的是XY的影响是通过M实现的,即:MX的函数,YM的函数(Y-M-X)。考虑自变量X对因变量Y的影响,如果X通过M影响变量Y,则称M为中介变量。

2.数据关联

打开Amos数据选项菜单中选择数据集,点击按钮OK即可将数据导入Amos软件,作为本次中介效应模型的数据库。Amos使用的数据可以是Spsssav.格式数据,也可以是Excel格式的数据,小伙伴可根据需要自由选择,本文构建中介效应模型使用的是Spsssav.格式数据

图片 5.png


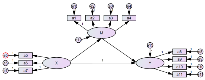
3.构建Y-M-X变量的中介效应的假设关系

图片 2.png

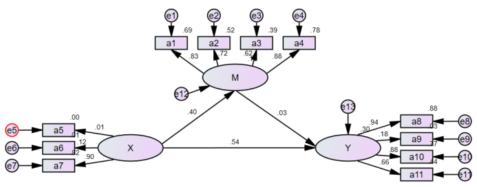
4.构建Y-M-X中介效应模型

自变量X由三个影响因素构成:a5a6a7

因变量Y由四个影响因素构成:a8a9a10a11

中介变量M由四个影响因素构成:a1a2a3a4


图片 3.png

5.Bootstrap选项设置

Amos的分析菜单对Bootstrap选项进行设定和勾选,Perform bootstrap表示规定模型的测算次数,Percentile confidence intervals表示置信区间。本文中介效应设置了500次的测算次数和95%的置信区间

图片 4.png

6.Y-M-X中介效应模型执行计算

图片 6.png


★微信搜一搜“TriHub数据社”关注公众号获得入社好礼

★欢迎大家参加本周六(20210626)的腾讯会议直播课程《使用NLPIR软件和pyecharts库绘制词云图——以《2021年政府工作报告》为例》, 会议ID:934 488 852


二维码

扫码加我 拉你入群

请注明:姓名-公司-职位

以便审核进群资格,未注明则拒绝

全部回复
2021-8-21 18:45:50
二维码

扫码加我 拉你入群

请注明:姓名-公司-职位

以便审核进群资格,未注明则拒绝

相关推荐
栏目导航
热门文章
推荐文章

说点什么

分享

扫码加好友,拉您进群
各岗位、行业、专业交流群