全部版块 我的主页
论坛 金融投资论坛 六区 金融学(理论版) 金融工程(数量金融)与金融衍生品
1524 2
2021-07-07
最早做一元garch模型刻画风险主要做误差分布的修改,从norm-(s)t-(s)ged等,然后计算var与es。
通过回测来进行验证。
同时刻画金融时间序列的特征。报告尖峰后尾,长记忆性,杠杆差异等。
后面到多元时间序列,研究多元garch,包括bekk-garch,ccc-garch,dcc-garch,vesh-garch等。
但是多元garch有一个很大的问题,维数灾难。感觉只要是做过多元garch都有这个体会。
大多数做多元garch是2维,3维。3维以上就很少了。我个人感觉多元garch做二维就还好,超过二维
很多东西难以解释。维数过高,造成的最大问题就是估计结果不好,最后无法解释输出参数。
而后,我就一直在想一个问题。
对于一元的garch族模型,我是信服的。通过大量的实证,也可以发现其对现实世界的刻画是非常成功。
关于高维的garch,其实我是抱有一些疑问的。所以我想这就是其流行度不足的原因之一。
=============================================================
因此我想是不是可以先做一元估计,然后再联立。说来可笑,当时学识浅薄,并未真正理解dcc与copula模型。
所以说大佬就是大佬,能想到的都想到了。
dcc是在garch基础上进行的联立,估计时变的协方差矩阵。engel(2002)
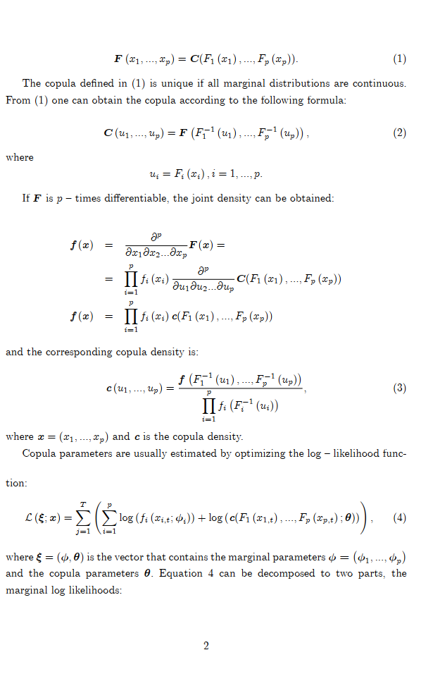
而后学习到copula,通过简单的定义,可以一个联合分布可以由边缘分布的累乘再乘一个copula函数。说实话,
当我第一次看到这个概念的时候有点懵,我以为我看错了。第一意识是,如果联合分布能够由边缘分布的累乘出发,
那么证明其是独立。后面看了几次,终于相同,c函数存在的意义就是提取边缘分布的相关性。因此copula的提出不仅
仅仅是对garch族模型的改进,其是对整个联合分布的改进,相当于个概率世界添加了一个新的工具。
=============================================================
最近很火的covar,mes等风险测度。很多都是经copula-garch进行计算。
所以我最近也简单了解了一下,大量文献是进行两步估计:
1.估计边缘分布。本质上相当于建立一元模型,实证中以garch模型为主
2.选取多种copula函数进行对比分析,进行特征研究。
那么关于联合分布有了,进行一些衍生风险值的研究就简单了。



copula 时间序列图
二维码

扫码加我 拉你入群

请注明:姓名-公司-职位

以便审核进群资格,未注明则拒绝

全部回复
2021-7-8 16:01:39
贝叶斯洛必达 发表于 2021-7-7 00:33
最早做一元garch模型刻画风险主要做误差分布的修改,从norm-(s)t-(s)ged等,然后计算var与es。
通过回测来 ...
谢谢分享学习体会。
关于Copula、CoVaR、MES等相依结构及风险溢出等问题,若需要帮助指导可以联系我,535844430
二维码

扫码加我 拉你入群

请注明:姓名-公司-职位

以便审核进群资格,未注明则拒绝

2021-7-17 12:35:51
二维码

扫码加我 拉你入群

请注明:姓名-公司-职位

以便审核进群资格,未注明则拒绝

相关推荐
栏目导航
热门文章
推荐文章

说点什么

分享

扫码加好友,拉您进群
各岗位、行业、专业交流群