全部版块 我的主页
论坛 经济学论坛 三区 微观经济学 经济金融数学专区
2021-12-28 10:24:02
中国科学技术大学2022年考研数学分析试题
3.png


证明
                      由已知方程,有
                                     $\displaystyle \int_{0}^{x}f(t)dt=2x-1,$

                          从而有
                                       $\displaystyle 2x-1\uparrow ,\int_{0}^{x}f(t)dt\uparrow .$

                                        $\displaystyle x=\frac{1}{2},\int_{0}^{\frac{1}{2}}f(t)dt=0.$

                                       $\displaystyle \therefore x> \frac{1}{2},g(x)=2x-\int_{0}^{x}f(t)dt-1> 0,$

                                          $\displaystyle x< \frac{1}{2},g(x)=2x-\int_{0}^{x}f(t)dt-1< 0,$

                                 困此由零点定理,$\displaystyle \exists \xi=\frac{1}{2}\in(0,1),s.t.$
                                              $\displaystyle g(\xi)=0.$
                                            
                          又因为
                                       $\displaystyle 2x-1\uparrow ,\int_{0}^{x}f(t)dt\uparrow .$

                            单调。所以$g(x)$在$[0,1]$上的零点是唯一的。即原方程有唯 一解。



二维码

扫码加我 拉你入群

请注明:姓名-公司-职位

以便审核进群资格,未注明则拒绝

2021-12-28 13:58:03
中国科学技术大学2022年研究生入学考试数学分析试题
1.png


证明

                          由已知条件,得
                                              $\displaystyle \because f'(x)=\frac{1}{x^2+f^2(x)}> 0,\therefore f(x)\uparrow ,$

                                即有
                                               $\displaystyle x< 1,f(x)< f(1)=1,$

                                                $\displaystyle x> 1,f(x)> f(1)=1.$

                                   因为                                   
                      $\begin{align*}\lim_{x\to+\infty}f(x)&=\lim_{x\to+\infty}\int_{0}^{x}f'(t)dt\\\\&=\int_{0}^{+\infty}\frac{1}{x^2+f^2(x)}dx\\\\&=\int_{0}^{1}\frac{1}{x^2+f^2(x)}dx+\int_{1}^{+\infty}\frac{1}{x^2+f^2(x)}dx\\\\&=I_1+I_2.\end{align*}$

                              分别计算两个积分:
                                       $\displaystyle I_1=\int_{0}^{1}\frac{1}{x^2+f^2(x)}dx<\int_{0}^{1}\frac{1}{1+x^2}dx=\frac{\pi}{4}.$  

                                       $\displaystyle I_2=\int_{1}^{+\infty}\frac{1}{x^2+f^2(x)}dx<\int_{1}^{+\infty}\frac{1}{x^2}dx=1.$   

                                      $\displaystyle \therefore \lim_{x\to +\infty}f(x)<1+\frac{\pi}{4}.$


              
二维码

扫码加我 拉你入群

请注明:姓名-公司-职位

以便审核进群资格,未注明则拒绝

2021-12-29 15:26:43
中国科学技术大学2022年考研数学分析试题
QQ图片20211229152403.png


证明:
                 由已知条件可知,因为在$x=x_0$附近$f''(x)$异号,故$x=x_0$是函数的拐点,从而$f''(x_0)=0$.

               用反证法。假设$f'(x_0)$存在。那么由已知条件:
                                            $x<x_0,f'(x)<0,$

                                             $x>x_0,f'(x)>0,$

                     由此知,若$f'(x_0)$存在,则为驻点,即有$f'(x_0)=0.$

                     这样,即有$f'(x_0),f''(x_0)$都存在,且$x=x_0$为极值点。也即$(x_0,f(x_0))$既为极值点,又为柱点。这是不可能的。因此,$f'(x_0)$不存在。函数在$x=x_0$不可导,不可微。


二维码

扫码加我 拉你入群

请注明:姓名-公司-职位

以便审核进群资格,未注明则拒绝

2021-12-30 15:19:28
复旦大学2022年数学分析试题
1.png
二维码

扫码加我 拉你入群

请注明:姓名-公司-职位

以便审核进群资格,未注明则拒绝

2021-12-31 09:18:22
楼上第2题的解

               先进行变量代换,令$\displaystyle x/n=t,$得
                             $\displaystyle \lim_{n \to \infty }\int_{0}^{10n}(1-|\sin \frac{x}{n}|)^ndx= \lim_{n \to \infty }n\int_{0}^{10}(1-|\sin t|)^ndt=\lim_{n \to \infty }n\sum_{k=0}^{2}\int_{k\pi}^{(k+1)\pi}(1-\sin t)^ndt+ \lim_{n \to \infty }n\int_{3\pi}^{10}(1-\sin t)^ndt.$

                        此时显然有:$\displaystyle \frac{x}{n}=t\rightarrow 0,(n \to \infty )$

                   而由积分中值定理
                         $\displaystyle \because  \lim_{n \to \infty }n\int_{k\pi}^{(k+1)\pi }(1-\sin t)^ndt=\lim_{n \to \infty }n(1-\xi)^n\pi= \lim_{n \to \infty }ne^{-n\xi}\pi =0.k=0,1,2,\xi\in(0,1)$

                     同理,有
                           $\displaystyle  \lim_{n \to \infty }n\int_{3\pi}^{10}(1-\sin t)^ndt=\lim_{n \to \infty }n(1-\xi)^n(10-3\pi) =0.\xi\in(0,1)$

                           $\displaystyle \therefore \lim_{n \to \infty }\int_{0}^{10n}(1-|\sin \frac{x}{n}|)^ndx=0.$



二维码

扫码加我 拉你入群

请注明:姓名-公司-职位

以便审核进群资格,未注明则拒绝

2022-1-4 16:35:23
中国科学技术大学2022年考研数学分析试题
1.png


            由已知曲面方程,得
                                       $\displaystyle x_3=\pm a_3\sqrt{\frac{x_1^2}{a_1^2}+\frac{x_2^2}{a_2^2}},$

                     在积分中,利用变量变换,令
                                         $\displaystyle x_1=ra_1\cos \theta ,x_2=ra_2\cos\theta ,J=a_1a_2r.$

                       则
$\displaystyle V=\iiint_{\Omega}dV=\iint_{D_{x_1x_2}}dx_1dx_2\int_{a_3\sqrt{\frac{x_1^2}{a_1^2}+\frac{x_2^2}{a_2^2}}}^{a_3}dx_3=a_3\int_{0}^{2\pi}d\theta \int_{0}^{1}(1-r)a_1a_2rdr=\frac{1}{3}a_1a_2a_3\pi.$


二维码

扫码加我 拉你入群

请注明:姓名-公司-职位

以便审核进群资格,未注明则拒绝

2022-1-7 16:23:39
2022年上海财经大学数学分析
1.png

解:
       (1)、正确。
                     因为,由已知条件,有
                                   $\displaystyle \forall \varepsilon > 0,\exists N\in \mathbb{N},n> N,s.t.|x_n-A|< \varepsilon ,$

                                    $\displaystyle \therefore |x_{n+p}-x_n|\leq |x_{n+p}-A|+|x_n-A|< \varepsilon .(p\geq 1)$

                         因此满足柯西收敛准则。数列收敛。

          (2)、
                                    $\displaystyle \because x_n=x_{n-1}+\frac{1}{x_{n-1}},$

                                     $\displaystyle \therefore x_n-x_{n-1}=\frac{1}{x_{n-1}},x_n\geq 1,x_n> x_{n-1}.$

                                     $\displaystyle \Rightarrow \sum_{k=2}^{n}(x_k-x_{k-1})=x_n-x_1=\sum_{k=2}^{n}\frac{1}{x_{k-1}},$

                        又
                                      $\displaystyle \because \frac{\frac{1}{x_{k}}}{\frac{1}{x_{k-1}}}=\frac{x_{k-1}}{x_k}< 1,(k\to\infty )$

                         由比较判别法,得
                                      $\displaystyle \therefore x_n-x_1=\sum_{k=2}^{n}\frac{1}{x_{k-1}}< \infty ,(n \to \infty )$

                              也即有$\displaystyle \{x_n\}$收敛。


二维码

扫码加我 拉你入群

请注明:姓名-公司-职位

以便审核进群资格,未注明则拒绝

2022-1-7 16:24:01
2022年上海财经大学数学分析
2.png
二维码

扫码加我 拉你入群

请注明:姓名-公司-职位

以便审核进群资格,未注明则拒绝

2022-1-7 16:24:23
2022年上海财经大学数学分析
3.png

解:用球面坐标
                          $x=r\sin \theta \cos \varphi ,y=r\sin \theta \sin \varphi ,z=r\cos \theta ,J=r^2\sin \theta .$

               代入曲面方程
                            $r=(\frac{\sin \theta \cos \varphi }{\sin ^4\theta +\cos ^4\theta })^\frac{1}{3}.$

                   则
                          $\begin{align*}V&=4\int_{0}^{\frac{\pi}{2}}d\varphi \int_{0}^{\frac{\pi}{2}}\sin \theta d\theta \int_{0}^{(\frac{\sin \theta \cos \varphi }{\sin ^4\theta +\cos ^4\theta })^\frac{1}{3}}r^2dr\\\\&=\frac{4}{3}\int_{0}^{\frac{\pi}{2}}d\varphi \int_{0}^{\frac{\pi}{2}}\sin \theta \cdot \frac{\sin \theta \cos \varphi }{\sin ^4\theta +\cos ^4\theta }d\theta \\\\&=\frac{4}{3}\int_{0}^{\frac{\pi}{2}}\cos \varphi d\varphi \int_{0}^{\frac{\pi}{2}} \frac{\sin ^2\theta  }{\sin ^4\theta +\cos ^4\theta }d\theta.\end{align*}$

                          $\because \int_{0}^{\frac{\pi}{2}} \frac{\sin ^2\theta  }{\sin ^4\theta +\cos ^4\theta }d\theta=\int_{0}^{\frac{\pi}{2}} \frac{\cos ^2\theta  }{\sin ^4\theta +\cos ^4\theta }d\theta,$

                           $\begin{align*}\therefore \int_{0}^{\frac{\pi}{2}} \frac{\sin ^2\theta  }{\sin ^4\theta +\cos ^4\theta }d\theta&=\frac{1}{2}\int_{0}^{\frac{\pi}{2}} \frac{1}{\sin ^4\theta +\cos ^4\theta }d\theta\\\\&=\frac{1}{2}\int_{0}^{\frac{\pi}{2}}\frac{1}{\cos^4\varphi (\tan^4\varphi +1)}d\varphi\\\\&=\frac{1}{2}\int_{0}^{\frac{\pi}{2}}\frac{1}{\cos^2\varphi (\tan^4\varphi +1)}d\tan \varphi\\\\&=\frac{1}{2}\int_{0}^{+\infty}\frac{t^2+1}{t^4+1}dt\\\\&=\frac{\sqrt{2}}{2}\pi.\end{align*}$

                   所以
                            $V=\frac{\sqrt{2}}{3}\pi.$   


二维码

扫码加我 拉你入群

请注明:姓名-公司-职位

以便审核进群资格,未注明则拒绝

2022-1-9 18:36:29
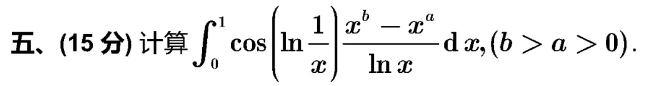
2022年上海财经大学数学分析
1.png


                       $\displaystyle \because \int_{a}^{b}x^ydy=\frac{x^b-x^a}{\ln x}.$

                       $\begin{align*}\therefore \int_{0}^{1}\cos (\ln\frac{1}{x})\frac{x^b-x^a}{\ln x}dx&=\int_{0}^{1}\cos (\ln\frac{1}{x})dx\int_{a}^{b}x^ydy\\\\&=\int_{a}^{b}dy\int_{0}^{1}\cos (\ln\frac{1}{x})x^ydx\\\\&=\int_{a}^{b}dy[\frac{1}{y+1}x^{y+1}\cos (\ln x)|_0^1+\frac{1}{y+1}\int_{0}^{1}\frac{1}{x}\sin (\ln x)x^{y+1}dx]\\\\&=\int_{a}^{b}\frac{1}{y+1}dy[1+\int_{0}^{1}\sin (\ln x)x^ydx]\\\\&=\int_{a}^{b}\frac{1}{y+1}dy+\int_{a}^{b}\frac{1}{y+1}dy\int_{0}^{1}\sin (\ln x)x^ydx\\\\&=\int_{a}^{b}\frac{1}{y+1}dy-\int_{a}^{b}\frac{1}{(y+1)^2}dy\int_{0}^{1}\cos (\ln x)x^ydx.\end{align*}$

                     比较第2步和最后一步,得
                         $\displaystyle \int_{0}^{1}cos (\ln\frac{1}{x})x^ydx=\frac{1}{y+1}\cdot \frac{1}{1+\frac{1}{(y+1)^2}}=\frac{y+1}{(y+1)^2+1}.$

                          $\displaystyle \therefore \int_{0}^{1}\cos (\ln\frac{1}{x})\frac{x^b-x^a}{\ln x}dx=\int_{a}^{b}\frac{y+1}{(y+1)^2+1}dy=\frac{1}{2}\ln[(y+1)^2+1]|_a^b=\frac{1}{2}\ln\frac{(b+1)^2+1}{(a+1)^2+1}.$
----------------------------------------------------------
另有
              $\displaystyle \int_{0}^{1}\sin (\ln\frac{1}{x})\frac{x^b-x^a}{\ln x}dx=\arctan (b+1)-\arctan (a+1).$


二维码

扫码加我 拉你入群

请注明:姓名-公司-职位

以便审核进群资格,未注明则拒绝

2022-1-10 08:46:35
上海财经大学2022年数学分析
6.png

此题与2022年中科大试题相同,见前面152#。

二维码

扫码加我 拉你入群

请注明:姓名-公司-职位

以便审核进群资格,未注明则拒绝

2022-1-10 08:48:05
上海财经大学2022年数学分析
1.png

证明:
                利用泰勒展开公式,得
                                           $\displaystyle f(x+h)=f(x)+f'(x)h+\frac{1}{2}f''(\xi)h^2,\xi\in(x,x+h),h> 0$

                        整理,得
                                            $\displaystyle f'(x)=\frac{1}{h}[f(x+h)-f(x)]-\frac{1}{2}f''(\xi)h,$

                                  又
                                            $\displaystyle \because \lim_{x\to+\infty}f(x)=A,f(x),|f''(\xi)|\leq M.$

                                           $\displaystyle \therefore |f'(x)|\leq \frac{1}{h}|f(x+h)-A|+\frac{1}{h}|f(x)-A|+\frac{1}{2}|f''(\xi)|h,$

                                    由已知,有
                                             $\displaystyle \forall \varepsilon > 0,h< \delta > 0,s.t.\frac{1}{2}|f''(\xi)|h\leq \frac{1}{2}Mh< \frac{\varepsilon}{3} ,$

                                    然后固定$h$,再令$\displaystyle x\to +\infty ,$由已知条件,$\displaystyle \lim_{x\to+\infty}f(x)=A$,则有
                                                  $\displaystyle \frac{1}{h}|f(x+h)-A|< \frac{\varepsilon }{3},\frac{1}{h}|f(x)-A|< \frac{\varepsilon }{3}.$

                                   从而
                                                  $\displaystyle \Rightarrow |f'(x)|\leq\varepsilon .$

                                       即得
                                                  $\displaystyle \lim_{x\to+\infty}f'(x)=0.$


二维码

扫码加我 拉你入群

请注明:姓名-公司-职位

以便审核进群资格,未注明则拒绝

2022-1-10 08:48:23
上海财经大学2022年数学分析
2.png


证明:
               令
                      $\displaystyle S_n=\sum_{k=1}^{n}k(a_k-a_{k-1}),A_n=\sum_{k=1}^{n}a_k,$

                   而
                          $\begin{align*}S_n&=(a_1-a_0)+2(a_2-a_1)+\cdots +n(a_n-a_{n-1})\\\\&=-a_0-a_1-\cdots -a_{n}+(n-1)a_n\\\\&=-a_0-A_n-(n-1)a_n.\end{align*}$

                            $\displaystyle \because \sum_{n=1}^{\infty }a_n< \infty ,$

                     由柯西准则
                             $\displaystyle \therefore \forall \varepsilon > 0,\exists N\in \mathbb{N},n> N,s.t.$

                                      $\displaystyle |a_{N+1}+a_{N+2}+\cdots +a_{n}|< \frac{\varepsilon }{2},$

                          又
                                      $\displaystyle a_n> a_{n+1}> 0,$

                                       $\displaystyle \Rightarrow (n-N)a_n\leq a_{N+1}+a_{N+2}+\cdots +a_{n}< \frac{\varepsilon }{2},$

                               取$\displaystyle n> 2N$,则
                                           $\displaystyle \frac{n}{2}a_n< (n-N)a_n< \frac{\varepsilon }{2},$

                                              $\displaystyle \Rightarrow na_n< \varepsilon.$

                               所以
                             $\begin{align*}\lim_{n \to \infty }S_n&=-a_0-\lim_{n \to \infty }A_n-\lim_{n \to \infty }(n-1)a_n\\\\&=-a_0-\lim_{n \to \infty }A_n-\lim_{n \to \infty }\frac{(n-1)}{n}na_n\\\\&=-a_0-\lim_{n \to \infty }A_n\\\\&< \infty .\end{align*}$

                              $\displaystyle S_n$收敛。

二维码

扫码加我 拉你入群

请注明:姓名-公司-职位

以便审核进群资格,未注明则拒绝

2022-1-10 08:48:40
上海财经大学2022年数学分析
3.png

解:
               由函数定义可知,$x\in(0,1)$时,函数连续。而在$x=0,1$时为跳跃间断点(第一类间断点)。由黎曼可积定理,函数在$[0,1]$上可积。



二维码

扫码加我 拉你入群

请注明:姓名-公司-职位

以便审核进群资格,未注明则拒绝

2022-1-10 08:48:58
上海财经大学2022年数学分析
4.png

解:
                              $\displaystyle \because \int_{1}^{+\infty }\frac{\sin x}{x}dx< \infty ,$

                               $\displaystyle \therefore p=1,I(p)=\int_{1}^{+\infty }\frac{\sin x}{x^p}dx< \infty ,$

                       而当$\displaystyle p>0,p\in [\delta ,+\infty ),\delta > 0$时,由于
                                     $\displaystyle I(p)=\int_{1}^{+\infty }\frac{\sin x}{x^p}dx=\int_{1}^{+\infty }\frac{\sin x}{x^{\delta }}\frac{1}{x^{p-\delta }}dx,$

                                $\displaystyle |\frac{\sin x}{x^{\delta }}|\leq 1,\frac{1}{x^{p-\delta }}\to 0,(n \to \infty )$

                      由判别法知,广义参数积分一致收敛。当$p=0$时,   
                                             $\begin{align*}I(0)&=\int_{1}^{+\infty}\sin x dx\\\\&=\int_{1}^{\pi}\sin xdx+\lim_{n \to \infty}\sum_{k=1}^{k=n}\int_{k\pi}^{(k+1)\pi}\sin xdx\\\\&=\int_{1}^{\pi}\sin xdx+\lim_{n \to \infty}\sum_{k=1}^{k=n}(\cos k\pi-\cos(k+1)\pi)\\\\&=\cos1-\lim_{n \to \infty}\cos (n+1)\pi< \infty .\end{align*}$


                     收敛。当$p<0$时,
                                       $\displaystyle I(p)=\int_{1}^{+\infty}\frac{\sin x}{x^p}dx\geq \int_{1}^{+\infty}\frac{\sin ^2x}{x^p}dx=\int_{1}^{+\infty}\frac{1-\cos^2 x}{x^p}dx=\infty .$

                           发散。



二维码

扫码加我 拉你入群

请注明:姓名-公司-职位

以便审核进群资格,未注明则拒绝

2022-1-10 08:49:16
上海财经大学2022年数学分析
5.png

证明:
                   由已知条件,有
                                           $\displaystyle \forall \varepsilon > 0,\exists \delta > 0,\forall x_1,x_2\in [a,b],|x_1-x_2|< \delta ,$

                           其中,设$\displaystyle x_1< x_2,$由函数列的单调性不妨设$\displaystyle f_n(x_1)\leq  f_n(x_2).$再由已知;对于上述$\varepsilon,\delta$,
                                                      $\displaystyle \exists N\in \mathbb{N},n> N,s.t.$

                                             $\displaystyle |f_n(x_1)-f(x_1)|< \frac{\varepsilon }{2},|f_n(x_1)-f(x_2)|\leq |f_n(x_2)-f(x_2)|< \frac{\varepsilon }{2},$

                                            $\begin{align*}\therefore |f(x_1)-f(x_2)|&\leq |f_n(x_1)-f(x_1)|+|f_n(x_1)-f(x_2)|\\\\&\leq|f_n(x_1)-f(x_1)|+|f_n(x_2)-f(x_2)|\\\\&< \frac{\varepsilon }{2}+\frac{\varepsilon }{2}=\varepsilon .\end{align*}$

                             命题得证。


二维码

扫码加我 拉你入群

请注明:姓名-公司-职位

以便审核进群资格,未注明则拒绝

2022-1-26 08:45:14
北京大学实验班数学分析2020-2021秋季学期数学分析一期末模拟卷
1.png

解:
          1、
                        $\displaystyle \lim_{x\to 0^+}\frac{x^{\sin x}-x^x}{(x-\tan x)\ln x}=\lim_{x\to 0^+}\frac{e^{\sin x\ln x}-e^{x\ln x}}{(x-\sin x)\ln x}=\lim_{x\to 0^+}\frac{\sin x\ln x-x\ln x}{(x-\sin x)\ln x}=-1.$


           2、                      令$\displaystyle x^{2020}=t,$则$2020x^{2019}dx=dt,$

                           $\begin{align*}\int \frac{dx}{x\sqrt{x^{4040}+x^{2020}+1}}&=\frac{1}{2020}\int \frac{dt}{t\sqrt{t^2+t+1}}\\\\&=\frac{1}{2020}\int\frac{dt}{t^2\sqrt{\frac{1}{t^2}+\frac{1}{t}+1}}\\\\&=-\frac{1}{2020}\int \frac{du}{\sqrt{u^2+u+1}}\\\\&=-\frac{1}{2020}\int \frac{d(u+\frac{1}{2})}{\sqrt{(u+\frac{1}{2})^2+\frac{3}{4}}}\\\\&=-\frac{1}{2020}\ln(u+\sqrt{u^2+\frac{3}{4}})+C\\\\&=-\frac{1}{2020}\ln(\frac{1}{x^{2020}}+\sqrt{\frac{1}{x^{4040}}+\frac{3}{4}})+C.\end{align*}$



二维码

扫码加我 拉你入群

请注明:姓名-公司-职位

以便审核进群资格,未注明则拒绝

2022-1-26 08:46:40
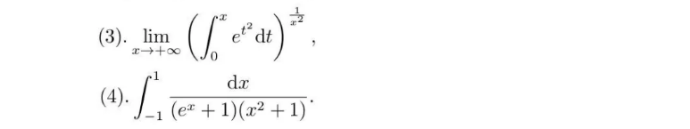
北京大学实验班数学分析2020-2021秋季学期数学分析一期末模拟卷
2.png


     (3)、
                    $\begin{align*}\lim_{x\to+\infty}(\int_{0}^{x}e^{t^2}dt)^{\frac{1}{x^2}}&=\lim_{x\to+\infty}e^{\frac{1}{x^2}\ln\int_{0}^{x}e^{t^2}dt}\\\\&=e^{\lim_{x\to+\infty}\frac{1}{x^2}\ln\int_{0}^{x}e^{t^2}dt}\\\\&=e^{\lim_{x\to+\infty}\frac{e^{x^2}}{2x\int_{0}^{x}e^{t^2}dt}}\\\\&=e^{\lim_{x\to+\infty}\frac{2xe^{x^2}}{2\int_{0}^{x}e^{t^2}dt+2xe^{x^2}}}\\\\&=1.\end{align*}$

    (4)、
                     $\begin{align*}\int_{-1}^{1}\frac{1}{(e^x+1)(x^2+1)}dx&=\int_{-\frac{\pi}{4}}^{\frac{\pi}{4}}\frac{\sec^2x}{(e^{\tan x}+1)(\tan^2x+1)}dx\\\\&=\int_{-\frac{\pi}{4}}^{\frac{\pi}{4}}\frac{1}{e^{\tan x}+1}dx\\\\&=\int_{-\frac{\pi}{4}}^{\frac{\pi}{4}}\frac{1}{e^{-\tan x}+1}dx\\\\&=\frac{1}{2}\int_{-\frac{\pi}{4}}^{\frac{\pi}{4}}\frac{e^{\tan x}+1}{e^{\tan x}+1}dx\\\\&=\frac{\pi}{4}.\end{align*}$



二维码

扫码加我 拉你入群

请注明:姓名-公司-职位

以便审核进群资格,未注明则拒绝

2022-1-26 08:52:09
北京大学实验班数学分析2020-2021秋季学期数学分析一期末模拟卷
4.png


解:
               由泰勒公式:
                                   $\displaystyle \forall x,x_0\in(0,1],$

                                   $\displaystyle f(x)=f(x_0)+f'(x_0)(x-x_0)+f''(\xi)(x-x_0)^2,\xi\in(x_0,x)$

                令$\displaystyle x_0\to0^+,$并由已知条件,得
                                     $\displaystyle f(x)=o(1)+\lim_{x_0\to0^+}f'(x_0)x+f''(\xi)x^2,$

                  再令$\displaystyle x\to0^+,$并由题设条件,得
                                     $\displaystyle o(1)=o(1)+\lim_{x_0\to0^+}f'(x_0)\lim_{x\to0^+}x+o(1),$

                                        $\displaystyle \therefore f'(x)=o(\frac{1}{x}),x\to0^+.$


二维码

扫码加我 拉你入群

请注明:姓名-公司-职位

以便审核进群资格,未注明则拒绝

2022-1-26 08:52:29
北京大学实验班数学分析2020-2021秋季学期数学分析一期末模拟卷
5.png
二维码

扫码加我 拉你入群

请注明:姓名-公司-职位

以便审核进群资格,未注明则拒绝

2022-1-27 07:26:24
北京大学实验班数学分析2020-2021秋季学期数学分析一期末模拟卷
1.png

证明
                 由泰勒展开公式,有
                               $\displaystyle f(x)=T_{n-1}(x)+\frac{1}{n!}f^{(n)}(\xi)(x-x_0)^n,x\in\mathbb{R},x_0\in(a,b),\xi\in(x_0,x)$

                                     其中,$\displaystyle T_{n-1}(x)$为$\displaystyle n-1$阶泰勒展开式。又

                                    $\displaystyle \because f(x)\not\equiv 0,$

                                    $\displaystyle \therefore \underset{x\in\mathbb{R},n\in\mathbb{N}}{\sup}|f^{(n)}(x)|=\underset{x\in\mathbb{R},n\in\mathbb{N}}{\sup}\{\frac{n!}{(x-x_0)^n}|f(x)|\}=+\infty .$

                   其中,因为由阶乘的瓦列斯公式
                                              $\displaystyle n!\sim \sqrt{2n\pi}(\frac{n}{e})^n,$

                                   得到
                                              $\displaystyle n> e(x-x_0),\frac{n!}{(x-x_0)^n}\to +\infty.$


二维码

扫码加我 拉你入群

请注明:姓名-公司-职位

以便审核进群资格,未注明则拒绝

2022-1-28 08:19:43
北京大学实验班数学分析2020-2021秋季学期数学分析一期末模拟卷
1.png

证明
          (1)、此题为典型的分段积分法。将积分区间分为
                                          $\displaystyle [0,1]=[0,1-\delta ]\cup [1-\delta ,1],\delta > 0.$

                            将积分分为两部分
                                          $\displaystyle \lim_{n \to \infty }\int_{0}^{1}G(x^n)dx=\lim_{n \to \infty }\int_{0}^{1-\delta }G(x^n)dx+\lim_{n \to \infty }\int_{1-\delta }^{1}G(x^n)dx,$

                        由已知,有
                                           $\displaystyle n \to \infty ,x^n\to 0,x\in[0,1-\delta ],\frac{g(x)}{x}< \infty ,$

                                 又
                                            $\displaystyle \because G(x^n)=\int_{0}^{x^n}\frac{g(t)}{t}dt=\frac{g(\xi)}{\xi}\cdot x^n=0,(n \to \infty ,\xi\in(0,1-\delta ))$

                                       $\displaystyle \therefore \lim_{n \to \infty }\int_{0}^{1-\delta }G(x^n)dx=0,$

                                 同时
                                             $\displaystyle x\in[1-\delta ,1],x^n\in[1-\delta ,1],G(x^n)< \infty .$

                                      $\displaystyle \therefore \lim_{n \to \infty }\int_{1-\delta }^{1}G(x^n)dx=\lim_{n \to \infty }G(\xi^n)\int_{1-\delta }^{1}dx=0.$

                         综上结论,得
                                         $\displaystyle \lim_{n \to \infty }\int_{0}^{1}G(x^n)dx=0.$

       (2)、由已知                                        $\displaystyle \because G(x^n)=\int_{0}^{x^n}\frac{g(t)}{t}dt,$

                                        $\displaystyle \therefore G'(x^n)=nx^{n-1}\frac{g(x^n)}{x^n},$

                                        $\displaystyle \Rightarrow g(x^n)=\frac{x}{n}G'(x^n).$

                         再利用(1)的结论,得
                   $\displaystyle \lim_{n \to \infty }n\int_{0}^{1}g(x^n)dx=\lim_{n \to \infty }\int_{0}^{1}xG'(x^n)dx=\lim_{n \to \infty }xG(x^n)|_0^1-\lim_{n \to \infty }\int_{0}^{1}G(x^n)dx=G(1).$



二维码

扫码加我 拉你入群

请注明:姓名-公司-职位

以便审核进群资格,未注明则拒绝

2022-1-28 08:20:58
2.png


     (1)、由已知,因为有
                               $\displaystyle \lim_{x\to+\infty }(au(x)-bv(x)+u'(x))=0,----(1)$

                               $\displaystyle \lim_{x\to+\infty }(av(x)+bu(x)+v'(x))=0,----(2)$

                   将$\displaystyle (1)\times u(x)\displaystyle +(2)\times v(x),$得
                                $\displaystyle \lim_{x\to+\infty }(a(u^2(x)+v^2(x))+u(x)u'(x)+v(x)v'(x))=0,$

                                     $\displaystyle \because a> 0,a(u^2(x)+v^2(x))\geq 0,$
     
                             所以有$\displaystyle u(x)u'(x)+v(x)v'(x)\leq 0,$

                                 即有
                                            $\displaystyle \int_{0}^{x}[u(x)u'(x)+v(x)v'(x)]dx\leq 0,$

                                   求积得
                                            $\displaystyle \lim_{x\to+\infty }(u^2(x)+v^2(x))\leq 0,$

                                              $\displaystyle \Rightarrow \lim_{x\to+\infty }u(x)=0,\lim_{x\to+\infty }v(x)=0.$

          (2)、利用上述结论,令
                                               $\displaystyle a=1> 0,b=-1,v(x)=f'(x),v'(x)=f''(x),u(x)=f(x),$

                                  代入,即知结论成立。



二维码

扫码加我 拉你入群

请注明:姓名-公司-职位

以便审核进群资格,未注明则拒绝

2022-1-28 08:21:22
北京大学实验班数学分析2020-2021秋季学期数学分析一期末模拟卷
3.png

证明:
       (1)、由已知,得
                                $\displaystyle K\cap S=\{f:f(x)$在$[a,b]$上非负,阶梯递减,且满足$\displaystyle af(a)=bf(b),\int_{a}^{b}f(x)dx=1\}.$

                          不妨设
                                  $\displaystyle \max \{f(x),g(x)\}=f(x)\in K\cap S,$
                       
                            先考察最简单的情形,即只有一个阶梯的函数。如
                                   $f(x)=\begin{cases}
f(a) &, a\leq x< c \\
f(c) &, c\leq x< b \\
f(b)&, x=b.
\end{cases}$

                            其中$\displaystyle f(b)\leq f(c)\leq f(a).$

                        则
                            $\displaystyle \int_{a}^{b}f(x)dx=\int_{a}^{c}f(a)dx+\int_{c}^{b}f(c)dx=f(a)(c-a)+f(c)(b-c)\leq f(a)(b-a),$

                           又
                                    $\displaystyle \because \int_{a}^{b}f(a)dx=1,\therefore f(a)=\frac{1}{b-a}.$

                                  $\displaystyle \Rightarrow \int_{a}^{b}f(x)dx\leq 1\leq \frac{2\sqrt{b}}{\sqrt{a}+\sqrt{b}}.$

                         对于复杂阶梯递减函数的情况,一样可以类似上述的证明。即有
                                      $\displaystyle \int_{a}^{b}f(x)dx\leq f(a)(b-a)=1\leq \frac{2\sqrt{b}}{\sqrt{a}+\sqrt{b}}.$

       (2)、不妨设
                             $\displaystyle \max \{f(x),g(x)\}=f(x)\in K,$  

                   则由已知条件,结论明显成立
                              $\displaystyle \int_{a}^{b}\max \{f(x),g(x)\}dx=\int_{a}^{b}f(x)dx=1\leq \frac{2\sqrt{b}}{\sqrt{a}+\sqrt{b}}.$

                    其中等号仅在$a=b$时成立。
二维码

扫码加我 拉你入群

请注明:姓名-公司-职位

以便审核进群资格,未注明则拒绝

2022-2-15 10:16:13

       $\displaystyle I(n)=\int_{0}^{\frac{\pi}{2}}\sin ^nxdx,$

            $\displaystyle \lim_{n \to \infty }I(n).$

解:
            由积分公式得
                                   $\displaystyle I(2n)=\frac{(2n-1)!!}{(2n)!!}\frac{\pi}{2},$

                                    $\displaystyle I(2n+1)=\frac{(2n)!!}{(2n+1)!!}.$

               利用积分变换,并对分子分母分别利用stolz公式:
                                    $\begin{align*}\lim_{n \to \infty }\sqrt[n]{I(2n)}&=\lim_{n \to \infty }\frac{e^{\frac{1}{n}\ln(2n-1)!!}}{e^{\frac{1}{n}\ln(2n)!!}}\\\\&=\lim_{n \to \infty }\frac{e^{\ln(2n-1)}}{e^{\ln(2n)}}\\\\&=\lim_{n \to \infty }\frac{2n-1}{2n}\\\\&=1.\end{align*}$
                                    $\displaystyle \Rightarrow \lim_{n \to \infty }I(2n)=1.$
                  同理,可知
                                     $\displaystyle \lim_{n \to \infty }\sqrt[n]{I(2n+1)}=\lim_{n \to \infty }\frac{2n}{2n+1}=1.$
                              即
                                     $\displaystyle \lim_{n \to \infty }I(2n+1)=1.$

                             因此
                                       $\displaystyle \lim_{n \to \infty }I(n)=1.$
        
           上面的结果疑似有错。
-----------------
           以下是博士论坛上大神的解法:

令$g(x)=e^{\frac{x^2}{2}}\cos x$, 则$g'(x)=e^{\frac{x^2}{2}}(x\cos
x-\sin x)<0$,$\forall x\in (0,\frac{\pi}{2})$, 故$g(x)<g(0)=1$,
故$\cos x<e^{-\frac{x^2}{2}}$, $\forall x\in
(0,\frac{\pi}{2})$,从而
\[I_n=\int_0^{\frac{\pi}{2}}\cos^n
xdx<\int_0^{\frac{\pi}{2}}e^{-\frac{nx^2}{2}}dx<\int_0^{+\infty}e^{-\frac{nx^2}{2}}dx=\frac{\sqrt{\pi}}{\sqrt{2n}}\to
0(n\to\infty).\]

                                                               ---------Hansschwarzkopf                                                



二维码

扫码加我 拉你入群

请注明:姓名-公司-职位

以便审核进群资格,未注明则拒绝

2022-4-21 11:28:53
求极限
            $\displaystyle \lim_{n \to \infty }\frac{1+2^{\frac{1}{n}}+\cdots +n^{\frac{1}{n}}}{n}.$

解:
            $\displaystyle \lim_{n \to \infty }\frac{1+2^{\frac{1}{n}}+\cdots +n^{\frac{1}{n}}}{n}=\lim_{n \to \infty }\frac{(n+1)^{\frac{1}{n+1}}}{1}=1.$



二维码

扫码加我 拉你入群

请注明:姓名-公司-职位

以便审核进群资格,未注明则拒绝

2022-4-22 23:04:53
1.png


                   $\displaystyle S(x)=\sum_{n=1}^{\infty }(-1)^n\frac{x^{(2n+1)}}{(2n+1)!(2n+1)}.|x|\leq 1.\\
\begin{align*}S'(x)&=\sum_{n=1}^{\infty }(-1)^n\frac{x^{2n}}{(2n+1)!}\\&=\frac{1}{x}\sum_{n=1}^{\infty }(-1)^{n}\frac{x^{2n+1}}{(2n+1)!}\\&=1-\frac{1}{x}\sum_{n=1}^{\infty }(-1)^{n-1}\frac{x^{2n-1}}{(2n-1)!}\\&=1-\frac{1}{x}\sin x.\end{align*}$
二维码

扫码加我 拉你入群

请注明:姓名-公司-职位

以便审核进群资格,未注明则拒绝

2022-4-23 21:32:34
2022年河北工业大学数学分析考研真题
1.png
二维码

扫码加我 拉你入群

请注明:姓名-公司-职位

以便审核进群资格,未注明则拒绝

2022-4-23 22:15:15
楼上4、解                利用格林公式:

                      $\begin{align*}I&=\oint_L(xy^2+y^3)dx-(x^2y-x)dy\\&=\iint_D(-2xy++1-2xy-2y)dxdy\\&=4\int_{0}^{\frac{\pi}{2}}d\theta \int_{0}^{1}(-4r^2\cos\theta \sin\theta -2r\sin\theta +1)rdr\\&=4\int_{0}^{\frac{\pi}{2}}(-\cos\theta \sin\theta -\sin\theta +\frac{1}{2})d\theta=\pi-6. \end{align*}$



二维码

扫码加我 拉你入群

请注明:姓名-公司-职位

以便审核进群资格,未注明则拒绝

2022-4-24 14:59:37
前楼5、解
             利用高斯公式
                      $\begin{align*}I&=\iint_S=\iiint_{\Omega }(z+z+2z)dV\\&=4\iiint_{\Omega }zdV=4\int_{0}^{1}z\int_{0}^{1-z}dy\int_{0}^{1-y-z}dx\\&=\frac{1}{6}.\end{align*}$

二维码

扫码加我 拉你入群

请注明:姓名-公司-职位

以便审核进群资格,未注明则拒绝

栏目导航
热门文章
推荐文章

说点什么

分享

扫码加好友,拉您进群
各岗位、行业、专业交流群