全部版块 我的主页
论坛 经济学论坛 三区 微观经济学 经济金融数学专区
2022-4-25 23:17:17
6、解
                     $\displaystyle \Omega :x^2+y^2+z^2=4,z\geq 0.$

                      $\displaystyle dS=\sqrt{z_x^2+z_y^2+1}dxdy.$

                      $\begin{align*}I&=\iint_S\frac{dS}{\sqrt{x^2+y^2+(z+2)^2}}\\&=\iint_D\frac{2dxdy}{\sqrt{2(x^2+y^2)+2\sqrt{4-x^2-y^2}+4}\sqrt{4-x^2-y^2}}\\&=\sqrt{2}\int_{0}^{\frac{\pi}{2}}d\theta \int_{0}^{2}\frac{rdr}{\sqrt{r^2+\sqrt{4-r^2}+2}\sqrt{4-r^2}}\\&=\frac{\sqrt{2}\pi}{4}\int_{0}^{2}\frac{-d\sqrt{4-r^2}}{\sqrt{-(4-r^2)+\sqrt{4-r^2}+6}\sqrt{4-r^2}}\\&=\frac{\sqrt{2}\pi}{4}\int_{0}^{2}\frac{dt}{\sqrt{6\frac{1}{4}-(t-\frac{1}{2})^2}},(t=\sqrt{4-r^2})\\&=\frac{\sqrt{2}\pi}{4}\arcsin (\frac{t-\frac{1}{2}}{\sqrt{6\frac{1}{4}}})|_0^2\\&=\frac{\sqrt{2}\pi}{4}(\arcsin \frac{3}{5}+\arcsin \frac{1}{5}).\end{align*}$


二维码

扫码加我 拉你入群

请注明:姓名-公司-职位

以便审核进群资格,未注明则拒绝

2022-4-27 12:02:11
2022年河北工业大学数学分析考研真题
1.png

证明:
                            $\displaystyle \because f(x)\in C[a,b],\\
                              \displaystyle \therefore \forall \varepsilon > 0,x_0,x\in [a,b],\exists \delta > 0,|x-x_0|< \delta ,st.\\
                                 \displaystyle |f(x)-f(x_0) |< \varepsilon .$

                  不妨取$\varepsilon=1,$则有

                                   $\displaystyle f(x_0)-1<f(x)<f(x_0)+1.$

                    由有限覆盖定理可知,对上述的$\delta$,存在有限个开区间$(x_i-\delta .x_i+\delta ),i=1,2,\cdots ,n.$可以覆盖闭区间$[a,b]$。如此,取

                                   $\displaystyle M=\max \{f(x_1),f(x_2),\cdots ,f(x_n)\},$

                                    $\displaystyle m=\min \{f(x_1),f(x_2),\cdots ,f(x_n)\}.$

                    此时有
                                    $\displaystyle \forall x\in (x_i-\delta .x_i+\delta )\subset [a,b],i=1,2,\cdots ,n.s.t.$

                                          $\displaystyle m-1< f(x)< M+1.$

                       命题成立。



二维码

扫码加我 拉你入群

请注明:姓名-公司-职位

以便审核进群资格,未注明则拒绝

2022-4-27 12:02:49
2022年河北工业大学数学分析考研真题
2.png

证明
                   由定积分定义可知,有

                          $\displaystyle \int_{a}^{b}|f(x)|dx=\int_{a}^{x_1}|f(x)|dx+\int_{x_1}^{x_2}|f(x)|dx+\cdots +\int_{x_n}^{b}|f(x)|dx=0.$

                               $\displaystyle \because |f(x)|\geq 0,\int_{x_1}^{x_2}|f(x)|dx\geq 0.$

                               $\displaystyle \therefore \int_{a}^{x_1}|f(x)|dx=0,\int_{x_1}^{x_2}|f(x)|dx=0,\cdots ,\int_{x_n}^{b}|f(x)|dx=0.$

               由积分性质,可知在各分段间的连续函数有

                               $\displaystyle |f(x)|=0.\Rightarrow f(x)=0.$

                       从而在$\displaystyle [a,b]$上$\displaystyle  f(x)=0.$


注:也可以用反证法、
二维码

扫码加我 拉你入群

请注明:姓名-公司-职位

以便审核进群资格,未注明则拒绝

2022-4-30 21:21:13
2022年河北工业大学数学分析考研真题
QQ图片20220430211938.png

3、证明
                        求驻点:
                               $\displaystyle f_x=(1+e^y)\sin x,f_y=(1+y)e^y-e^y\cos x,f_{xy}=e^y\sin x.$

                                 $\displaystyle f_x=0,\Rightarrow x=n\pi,n=0,\pm 1,\pm 2,\cdots .$

                                  $\displaystyle f_y=0,\Rightarrow y=\cos n\pi-1.$

                      所以所求驻点为:
                                   $\displaystyle (n\pi,\cos n\pi-1),n=0,\pm 1,\pm 2,\cdots .$

                            有无穷多个。由
                                    $\displaystyle A=f_{xx}=-(1+e^y)\cos x,B=f_{xy}=-e^y\sin x,C=f_{yy}=e^y\cos x-(2+e^y)e^y.$

                          可知
                                    $\displaystyle H=AC-B^2=\cos n\pi(1+e^y)e^y,$

                             当$n$为奇数时,$H<0$,驻点不是极值点; 当$n$为偶数时,$H>0$,且$A>0$,驻点是极小值点。

                            命题得证。

4、证明




                    
二维码

扫码加我 拉你入群

请注明:姓名-公司-职位

以便审核进群资格,未注明则拒绝

2022-5-2 21:18:55
1.png
2.png
3.png
4.png
----------------------------
             $\begin{align*}\int e^\sqrt[3]{x}dx&=\int e^t\cdot 3t^2dt=3t^2e^t-6\int te^tdt\\&=3t^2e^t-6te^t+6\int e^tdt\\&=3t^2e^t-6te^t+6e^t+C\\&=3x^{\frac{2}{3}}e^\sqrt[3]{x}-6\sqrt[3]{x}e^\sqrt[3]{x}+6e^\sqrt[3]{x}+C.\end{align*}$

-------------------------
              $\begin{align*}\int \frac{\sqrt{x-1}\arctan \sqrt{x-1}}{x}dx&=\int \frac{2t^2\arctan t}{t^2+1}dt\\&=2\int \arctan tdt-2\int \frac{\arctan t}{t^2+1}dt\\&=2t\arctan t-2\int \frac{t}{t^2+1}dt-\arctan ^2t\\&=2t\arctan t-\ln (t^2+1)-\arctan ^2t+CC\\&=2\sqrt{x-1}\arctan\sqrt{x-1} -\ln x-\arctan ^2\sqrt{x-1}+C.\end{align*}$

-------------------------
              $\displaystyle \int \frac{\cos x-\sin x}{1-2\cos x\sin x}dx=\int \frac{d(\cos x+\sin x)}{(\cos x+\sin x)^2+2}=\frac{1}{2}\arctan \frac{\cos x+\sin x}{\sqrt{2}}+C.$

-----------------------




二维码

扫码加我 拉你入群

请注明:姓名-公司-职位

以便审核进群资格,未注明则拒绝

2022-5-3 23:08:31
微信图片_20220503230637.jpg
二维码

扫码加我 拉你入群

请注明:姓名-公司-职位

以便审核进群资格,未注明则拒绝

2022-5-5 19:02:42
1.png
2.png
二维码

扫码加我 拉你入群

请注明:姓名-公司-职位

以便审核进群资格,未注明则拒绝

2022-5-12 08:44:25
计算一道积分题
1.png
二维码

扫码加我 拉你入群

请注明:姓名-公司-职位

以便审核进群资格,未注明则拒绝

2022-5-28 01:25:42
一道数列极限问题求解答
求极限$$\underset{n\to \infty }{\mathop{\lim }}\,\frac{{{\left[ {{1}^{\alpha }}+{{3}^{\alpha }}+\cdots +{{(2n+1)}^{\alpha }} \right]}^{\beta +1}}}{{{\left[ {{2}^{\beta }}+{{4}^{\beta }}+\cdots +{{(2n)}^{\beta }} \right]}^{\alpha +1}}}.$$
-------------
$$ 2^{\beta } +4^{\beta }+ ...+\big (2n\big) ^{\beta } =2^{\beta }\times  [1^{\beta } +2^{\beta } +...+n^{\beta } ]$$
$$ \frac{1^{\beta } +2^{\beta } +...+n^{\beta }}{n^{\beta +1} } =\frac{1}{n} [\big (\frac{1}{n} \big) ^{\beta } +...\big (\frac{n}{n} \big) ^{\beta } ]$$
根据黎曼积分的定义,上式=$\int_0^1 xx^{\beta } dx=\frac{1}{\beta +1} $
所以 $$2^{\beta }\times  [1^{\beta } +2^{\beta } +...+n^{\beta } ]\sim \frac{n^{\beta +1} }{\beta +1} $$
原极限设为$z$,则$$   \frac{2^{\alpha  }\frac{n^{\alpha +1} }{\alpha+1 }}{2^{\beta }\frac{n^{\beta +1} }{\beta +1} }\leq z\leq  \frac{2^{\alpha  }\frac{\big (n+1\big) ^{\alpha +1} }{\alpha+1 }}{2^{\beta }\frac{n^{\beta +1} }{\beta +1} }.$$
$$\therefore \lim_{n \to \infty }z=\lim_{n \to \infty }\frac{\alpha +1}{\beta +1}\cdot (2n)^{\alpha -\beta }=\begin{cases}
\infty  & ,\alpha > \beta  \\
\frac{\alpha +1}{\beta +1} &, \alpha =\beta \\
0 & ,\alpha < \beta  
\end{cases}$$


二维码

扫码加我 拉你入群

请注明:姓名-公司-职位

以便审核进群资格,未注明则拒绝

2022-6-13 08:15:24
2022湖南大学数学竞赛
1.png

解:
                        $$\lim_{n \to \infty }\frac{\sqrt[n]{n}}{n!}=\lim_{n \to \infty }\exp\{\frac{1}{n}\sum_{k=1}^{n}\ln\frac{k}{n}\}=\exp\{\lim_{n \to \infty }\ln\frac{n}{n}\}=1.$$


二维码

扫码加我 拉你入群

请注明:姓名-公司-职位

以便审核进群资格,未注明则拒绝

2022-6-13 08:15:47
2022湖南大学数学竞赛
2.png

证明:由柯西收敛定理:
                        $$|x_{n+1}-x_n|=|f(x_n)-f(x_{n-1})|=|f(\xi )||x_n-x_{n-1}|\leq a|x_n-x_{n-1}|\leq \cdots \leq a^{n-1}|x_2-x_1|.$$

              上式中,只要
                                        $|x_2-x_1|\leq A,$

                    取有限值,即有
                                       $|x_{n+1}-x_n|\rightarrow 0.$

                       不依赖于$x_1$地取值。

                 由此得$\{x_n\}$收敛,且与$x_1$无关。


二维码

扫码加我 拉你入群

请注明:姓名-公司-职位

以便审核进群资格,未注明则拒绝

2022-6-13 08:16:09
2022湖南大学数学竞赛
3.png

解:先进行换元,再利用已知条件,并运用积分函数的奇偶性可得
                               $\begin{align*}\int_{-\frac{\pi}{2}}^{\frac{\pi}{2}}\frac{\cos x}{1+f(x)}dx&=\int_{-\frac{\pi}{2}}^{\frac{\pi}{2}}\frac{\cos x}{1+f(-x)}dx=\int_{-\frac{\pi}{2}}^{\frac{\pi}{2}}\frac{\cos x}{1+\frac{1}{f(x)}}dx\\\\&=\int_{-\frac{\pi}{2}}^{\frac{\pi}{2}}\frac{f(x)\cos x}{1+f(x)}dx=\frac{1}{2}\int_{-\frac{\pi}{2}}^{\frac{\pi}{2}}\frac{(1+f(x))\cos x}{1+f(x)}dx\\\\&=\frac{1}{2}\int_{-\frac{\pi}{2}}^{\frac{\pi}{2}}\cos xdx=\int_{0}^{\frac{\pi}{2}}\cos xdx\\\\&=1.\end{align*}$



二维码

扫码加我 拉你入群

请注明:姓名-公司-职位

以便审核进群资格,未注明则拒绝

2022-6-13 11:48:12
2022年湖南大学数学竞赛(非数学类)竞赛试题
1.png

证明:
                 由已知,不妨设:
                                $$0< \lambda_1< \lambda_2< \cdots < \lambda_n< 1,\lambda_1+\lambda_2+\cdots +\lambda_n=1,$$

                         令:
                                         $$\eta_k=\frac{\lambda_1+\lambda_2+\cdots +\lambda_k}{\lambda_1+\lambda_2+\cdots +\lambda_n}=\lambda_1+\lambda_2+\cdots +\lambda_k.k=0,1,2,\cdots ,n,\eta _0=0,\eta _n=1.\eta _k\in[0,1].$$

                由连续函数的介值定理,
                                         $$\exists c_k\in[0,1]s.t.f(c_k)=\eta _k,c_0=0,c_{n}=1.$$

                   由Lagrange中值定理,存在$\xi_{k+1}\in(c_k,c_{k+1}) ,s.t.$

                                        $$ f(c_{k+1})-f(c_k)=(c_{k+1}-c_k)f'(\xi_{k+1}).$$

                                        $\Rightarrow (c_1-0)(\lambda _1+\lambda _2+\cdots +\lambda _n)=\frac{\lambda _1}{f'(\xi_1)},$

                                                      $(c_2-c_1)(\lambda _1+\lambda _2+\cdots +\lambda _n)=\frac{\lambda _2}{f'(\xi_2)},$

                                                             $\cdots ,$

                                                        $(1-c_{n-1})(\lambda _1+\lambda _2+\cdots +\lambda _n)=\frac{\lambda _n}{f'(\xi_n)},$

                        将上述$n$个等式相加,得
                                          $$\frac{\lambda _1}{f'(\xi_1)}+\frac{\lambda _2}{f'(\xi_2)}+\cdots +\frac{\lambda _n}{f'(\xi_n)}=\lambda _1+\lambda _2+\cdots +\lambda _n=1.$$


二维码

扫码加我 拉你入群

请注明:姓名-公司-职位

以便审核进群资格,未注明则拒绝

2022-6-13 11:49:16
2022年湖南大学数学竞赛(非数学类)竞赛试题
3.png

解:
                显然,被积函数在原点没有连续偏导数,因昆,原点不可积。可作一个包围原点的枙球:
                                    $\Omega _1:x^2+y^2+4z^2=\varepsilon^2,$
                             如此,在该椭球面外与原积分面组成的积分曲面上有:
                                        $$\frac{\partial P}{\partial x}+\frac{\partial Q}{\partial y}+\frac{\partial R}{\partial z}=0,$$
                      而在此积分区域内,利用高斯公式有:
                                          $$\therefore I_1=\iint_{S-S_1}=\iiint (\frac{\partial P}{\partial x}+\frac{\partial Q}{\partial y}+\frac{\partial R}{\partial z})dxdydz=\iiint0dxdydz=0.$$
                      在$\Omega _1$内:
                                             $$I_2=\iint_{S_1}\frac{xdydz+ydzdx+zdxdy}{(x^2+y^2+4z^2)^{\frac{3}{2}}}=\iiint_{\Omega_1}\frac{3}{\varepsilon^3}dxdydz=\frac{3}{\varepsilon^3}\cdot \frac{3}{4}\pi\varepsilon\cdot \varepsilon\cdot \frac{\varepsilon}{2}=\frac{9}{8}\pi.$$
                          所以,原积分:
                                          $$I=I_1+I_2=\frac{9}{8}\pi.$$
二维码

扫码加我 拉你入群

请注明:姓名-公司-职位

以便审核进群资格,未注明则拒绝

2022-6-13 11:50:16
2022年湖南大学数学竞赛(非数学类)竞赛试题
2.png

解:先求过$A$点的切线$l$,并求$B$点坐标:
                                     $\frac{x}{4}+\frac{y}{2\sqrt{3}}=1,B(0,2\sqrt{3}),$

                由此得到$l_{AB}$的方程:
                                         $l_{AB}:y=-\frac{\sqrt{3}}{2}x+2\sqrt{3}.$

                     添加点$C(0,\frac{3\sqrt{3}}{2}),$使$ABCA$组成一个闭合环路,那么:
                                         $I=\int _{ABCA}-\int _{AC}-\int _{BC}.$

                          分别计算之。对$ABCA$可用格林公式计算。


二维码

扫码加我 拉你入群

请注明:姓名-公司-职位

以便审核进群资格,未注明则拒绝

2022-6-13 11:50:37
2022年湖南大学数学竞赛(非数学类)竞赛试题
4.png

解:
                   作坐标变换,$(x,y,z)\rightarrow (u,v,w)$,$u$为垂直于过原点的平面:
                                             $x+y+z=0,$
                                     而
                                           $u=x+y+z,x^2+y^2+z^2=u^2+v^2+w^2,J=|\frac{\partial(x,y,z)}{\partial (u,v,w)}|=1.$
                       $$\begin{align*}I&=\iiint_{x^2+y^2+z^2\leq 1}\cos(x+y+z)dxdydz\\\\&=\int_{-1}^{1}\cos udu\iint_{v^2+w^2\leq 1}dvdw\\\\&=\pi\int_{-1}^{1}\cos u\cdot (1-u^2)du\\\\&=2\pi\int_{0}^{1}\cos u\cdot (1-u^2)du\\\\&=4\pi(1+\sin1-\cos1).\end{align*}$$   
                          
   注:这是一道被积函数为$f(ax+by+cz)$一般函数的特例。

二维码

扫码加我 拉你入群

请注明:姓名-公司-职位

以便审核进群资格,未注明则拒绝

2022-6-13 11:51:03
2022年湖南大学数学竞赛(非数学类)竞赛试题
5.png


证明:
                       先令
                                      $\displaystyle F(x)=f(x)+f(1-x)+\ln x\ln(1-x),$

                       对$x$求导,得
                                     $\begin{align*}F'(x)&=f'(x)-f'(1-x)+\frac{1}{x}\ln(1-x)-\frac{1}{1-x}\ln x\\\\&=\sum_{n=1}^{\infty }\frac{x^{n-1}}{n}-\sum_{n=1}^{\infty }\frac{(1-x)^{n-1}}{n}-\frac{1}{x}\sum_{n=1}^{\infty }\frac{x^{n}}{n}+\frac{1}{1-x}\sum_{n=1}^{\infty }\frac{(1-x)^{n}}{n}\\\\&=\sum_{n=1}^{\infty }\frac{x^{n-1}}{n}-\sum_{n=1}^{\infty }\frac{(1-x)^{n-1}}{n}-\sum_{n=1}^{\infty }\frac{x^{n-1}}{n}+\sum_{n=1}^{\infty }\frac{(1-x)^{n-1}}{n}\\\\&=0.\end{align*}$

                          从而
                                       $\displaystyle \Rightarrow F(x)=c.$   
              
                              又因为
                                          $\displaystyle \lim_{x\to0}F(x)=f(1),$

                              故而得
                                               $\displaystyle  F(x)=f(x)+f(1-x)+\ln x\ln(1-x)=f(1)=\frac{\pi^2}{6}.$




                    
二维码

扫码加我 拉你入群

请注明:姓名-公司-职位

以便审核进群资格,未注明则拒绝

2022-7-13 11:20:12
求极限:
                $$\lim_{n \to \infty }\frac{\displaystyle\sum_{k=0}^{n}\frac{n^k}{k!}}{e^n}.$$

解:
              由
                         $$n!\sim \sqrt{2\pi n}(\frac{n}{e})^n.$$

              所以
                          $$\lim_{n \to \infty }\frac{\displaystyle \sum_{k=0}^{n}\frac{n^k}{k!}}{e^n}=\lim_{n \to \infty }\frac{\frac{n^n}{n!}}{e^n-e^{n-1}}=\lim_{n \to \infty }\frac{(\frac{n}{e})^n}{n!(1-e^{-1})}=\lim_{n \to \infty }\frac{(\frac{n}{e})^n}{\sqrt{2\pi n}(\frac{n}{e})^n(1-e^{-1})}=0.$$



二维码

扫码加我 拉你入群

请注明:姓名-公司-职位

以便审核进群资格,未注明则拒绝

2022-7-13 12:29:15
求极限
                $\displaystyle \lim_{n \to \infty }(\frac{2}{3})^{\frac{1}{2^{n-1}}}(\frac{4}{7})^{\frac{1}{2^{n-2}}}\cdots (\frac{2^{n-1}}{2^n-1})^{\frac{1}{2}}.$

解:
               $\displaystyle \because \frac{1}{2}< \frac{2^n-1}{2^n-1}\cdot \frac{1}{2}< \frac{2^n}{2^n-1}\cdot \frac{1}{2}=\frac{2^{n-1}}{2^n-1}<\frac{2^n}{2^n-1}\cdot \frac{1}{2}\to \frac{1}{2}.$

                $\displaystyle \therefore \lim_{n \to \infty }(\frac{2}{3})^{\frac{1}{2^{n-1}}}(\frac{4}{7})^{\frac{1}{2^{n-2}}}\cdots (\frac{2^{n-1}}{2^n-1})^{\frac{1}{2}}=(\frac{1}{2})^{\frac{1}{2}+\frac{1}{4}+\cdots +\frac{1}{2^{n-1}}}=\frac{1}{2}.$



二维码

扫码加我 拉你入群

请注明:姓名-公司-职位

以便审核进群资格,未注明则拒绝

2022-7-13 12:37:00
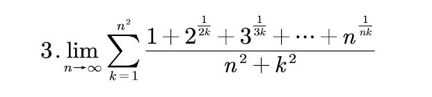
1.png


解:
                          $\displaystyle \because n< 1+2^\frac{1}{2k}+3^\frac{1}{3k}+\cdots ++n^\frac{1}{nk}< n\cdot n^\frac{1}{n},$


                           $\displaystyle  \therefore \sum_{k=1}^{n^2}\frac{n}{n^2+k^2}< \sum_{k=1}^{n^2}\frac{1+2^\frac{1}{2k}+3^\frac{1}{3k}+\cdots ++n^\frac{1}{nk}}{n^2+k^2}< n^\frac{1}{n} \sum_{k=1}^{n^2}\frac{n}{n^2+k^2}.$



1.png
二维码

扫码加我 拉你入群

请注明:姓名-公司-职位

以便审核进群资格,未注明则拒绝

2022-7-13 12:37:17
2.png


2.png
二维码

扫码加我 拉你入群

请注明:姓名-公司-职位

以便审核进群资格,未注明则拒绝

2022-7-13 12:37:35
3.png

解:
                 $\displaystyle \lim_{n \to \infty }\frac{1}{n}(\frac{n}{\frac{1}{2}+\frac{2}{3}+\cdots +\frac{n}{n+1}})^n=\lim_{n \to \infty }\frac{1}{n}e^{n\ln\frac{n}{\frac{1}{2}+\frac{2}{3}+\cdots +\frac{n}{n+1}}}=\lim_{n \to \infty }\frac{1}{n}e^{n\ln\frac{1}{\ln2}}=\lim_{n \to \infty }\frac{1}{n}(\frac{1}{\ln2})^n=0.$



二维码

扫码加我 拉你入群

请注明:姓名-公司-职位

以便审核进群资格,未注明则拒绝

2022-7-14 09:55:33
求极限
                   $\displaystyle \int \frac{\ln x}{(1+x^2)^\frac{3}{2}}dx.$

解一:
                       $\displaystyle \int \frac{\ln x}{(1+x^2)^\frac{3}{2}}dx=\int \ln xd\frac{x}{\sqrt{1+x^2}}=\frac{x\ln x}{\sqrt{1+x^2}}-\int \frac{x\cdot \frac{1}{x}}{\sqrt{1+x^2}}dx=\frac{x\ln x}{\sqrt{1+x^2}}-\arcsin x+C.$

解二:
                     令:
                                 $\displaystyle x=e^t,dx=e^tdt.$

                     则有
                                 $\begin{align*}\int \frac{\ln x}{(1+x^2)^\frac{3}{2}}dx&=\int \frac{t\cdot e^t}{(1+e^{2t})^\frac{3}{2}}dt=\int \frac{te^{-2t}}{(1+e^{-2t})^\frac{3}{2}}dt\\\\&=\int \frac{td(-\frac{1}{2}(1+e^{-2t}))}{(1+e^{-2t})^\frac{3}{2}}\\\\&=\frac{t}{\sqrt{1+e^{-2t}}}-\int \frac{1}{\sqrt{1+e^{-2t}}}dt\\\\&=\frac{t}{\sqrt{1+e^{-2t}}}-\arcsin e^t+C\\\\&=\frac{\ln x}{\sqrt{1+x^{-2}}}-\arcsin x+C.\end{align*}$



二维码

扫码加我 拉你入群

请注明:姓名-公司-职位

以便审核进群资格,未注明则拒绝

2022-7-19 14:44:56
网络上讨论的一道积分题:
QQ图片20220719144308.png


解:先求得绕x轴旋转得到的曲面:
                                    $\displaystyle \Omega :\pm \sqrt{y^2+z^2}=\sqrt{x-1},y^2+z^2=x-1.(1\leq x\leq 3)$

         然后用高斯公式计算曲面积分,并用柱体变换:
                                    $\begin{align*}I&=\underset{\Sigma }{\iint} =\underset{\Omega }{\iiint }(x+2x^3y-8yz)dxdydz\\\\&=\int_{1}^{3}dx\int_{0}^{2\pi}d\theta \int_{0}^{\sqrt{x-1}}(x+2x^3r\sin\theta -8r^2\sin\theta \cos\theta )rdr\\\\&=\int_{1}^{3}xdx\int_{0}^{\sqrt{x-1}}rdr\\\\&=\frac{14}{3}.\end{align*}.$

              

二维码

扫码加我 拉你入群

请注明:姓名-公司-职位

以便审核进群资格,未注明则拒绝

2022-7-22 09:09:56
1.png

解:
                 由于$f(x)$是偶函数,因此傅里叶展开系数:$\displaystyle b_n=0,n=0,1,2,\cdots .$

                  而
                                $\displaystyle a_0=\frac{2}{\pi}\int_{0}^{\pi}f(x)dx=\frac{2}{\pi}\int_{0}^{1}dx=\frac{2}{\pi}.$

                                $\displaystyle a_n=\frac{2}{\pi}\int_{0}^{\pi}f(x)\cos nxdx=\frac{2}{\pi}\int_{0}^{1}\cos nxdx=\frac{2\sin n}{n\pi},n=1,2,\cdots .$

                   傅里叶展开式为
                                  $\displaystyle f(x)=\frac{1}{\pi}+\sum_{n=1}^{\infty }\frac{2\sin n}{n\pi}\cos nx.$

                      再由函数定义式可知,在$x=0$外,函数连续,且$f(0)=1.$所以有

                                          $\displaystyle f(0)=1=\frac{1}{\pi}+\sum_{n=1}^{\infty }\frac{2\sin n}{n\pi}.$

                           由此得
                                           $\displaystyle \sum_{n=1}^{\infty }\frac{\sin n}{n}=\frac{\pi-1}{2}.$

                          由Parseval恒等式:
                                                          $\displaystyle \frac{1}{\pi}\int_{-\pi}^{\pi}|f(x)|^2dx=\frac{1}{2}a_0^2+\sum_{n=1}^{\infty }(a_n^2+b_n^2).$

                             将相关参数代入得
                                                         $\displaystyle \frac{2}{\pi}\int_{0}^{\pi}|f(x)|^2dx=\frac{2}{\pi}\int_{0}^{1}dx=\frac{2}{\pi}=\frac{2}{\pi^2}+\sum_{n=1}^{\infty }\frac{4}{\pi^2}\cdot \frac{\sin^2 n}{n^2}.$

                             从而有
                                           $\displaystyle \sum_{n=1}^{\infty }\frac{\sin^2 n}{n^2}=\frac{\pi-1}{2}.$

          注:从此题,得出一个有趣的结论
                                        $\displaystyle \sum_{n=1}^{\infty }\frac{\sin n}{n}=\sum_{n=1}^{\infty }\frac{\sin^2 n}{n^2}=\frac{\pi-1}{2}.$

二维码

扫码加我 拉你入群

请注明:姓名-公司-职位

以便审核进群资格,未注明则拒绝

2022-8-16 10:24:53
兰州大学数学竞赛试题
1.png

解:
           这道题的已知条件有些特别,想了很久,用非常规方法解之。

                        $\displaystyle \because a> 0,x_0> 0,\Rightarrow x_n> 0.$

            由已知,得:
                                 $\displaystyle 3(x_n-x_{n-1})=\frac{a}{x^2_{n-1}}-x_{n-1}=\frac{a-x^3_{n-1}}{x^2_{n-1}}.$

                 由此,分两种情况讨论:假设
                                  $\displaystyle x_n-x_{n-1}\geq 0,\Rightarrow a-x^3_{n-1}\geq  0,x_n\leq \sqrt[3]{a},x_n\uparrow .$

                         由单调有界原理,数列极限存在。而当
                                   $\displaystyle x_n-x_{n-1}< 0,\Rightarrow a-x^3_{n-1}< 0,x_n> 0,x_n\downarrow .$

                          同理,极限也存在。综合可知,原数列极限存在。令:
                                                 $\displaystyle \lim_{n \to \infty }x_n=l,$

                          将已知等式两边求极限,得:
                                                 $\displaystyle 3l=2l+\frac{a}{l^2},\Rightarrow l=\sqrt[3]{a}.$

                             即
                                           $\displaystyle \lim_{n \to \infty }x_n=\sqrt[3]{a}.$




            
二维码

扫码加我 拉你入群

请注明:姓名-公司-职位

以便审核进群资格,未注明则拒绝

2022-8-18 09:03:46
一道网络上解错的题:
QQ图片20220818072000.png
(这是云南大学2022rh数学分析考研试题,解答有误!)

分析:
             这里有:
                                  $\displaystyle 0\leq  |\arctan x|\leq \frac{\pi}{2},$

                        解题中用到了:
                                                   $\displaystyle \arctan x\sim x,[0,\infty)$

                                    显然有误。不能等同。

解:
                             $\displaystyle \because \frac{\arctan(x-1)}{(x-1)^p}< \frac{\pi}{2(x-1)^p},$

              所以,只要研究积分
                                         $\displaystyle \int_{1}^{+\infty } \frac{1}{(x-1)^p}dx,$

                      的收敛性。所以
                                       $p> 1,$原积分收敛;

                                       $p\leq 1,$原积分发散。





               
二维码

扫码加我 拉你入群

请注明:姓名-公司-职位

以便审核进群资格,未注明则拒绝

2022-9-14 07:15:06
复旦大学数学分析3期末考试的一个题
QQ图片20220914070708.png

证明:
            (1)、
                                $\displaystyle \because |\frac{\cos xt}{t(1+t^2)}|\leq \frac{1}{t^3},$

                        而
                                    $\displaystyle \int_{1}^{+\infty }\frac{1}{t^3}dt< \infty ,$

                     由M判别法知:
                                     $\displaystyle \int_{1}^{+\infty }\frac{\cos xt}{t(1+t^2)}dt$在$(-\infty,+\infty)$上一致收敛。

            (2)、
                                 $\displaystyle \because \int_{1}^{+\infty }\frac{1}{t(1+t^2)}dt< \infty ,$

                                 $\displaystyle \therefore \forall \varepsilon > 0,\exists A> 0,s.t.\int_{A}^{+\infty }\frac{1}{t(1+t^2)}dt< \varepsilon ,$

                        对于上面的$\displaystyle \varepsilon > 0,A> 0,$有
                                      $\displaystyle \lim_{x\to\infty}\int_{1}^{A}\frac{\cos xt}{t(1+t^2)}dt=0,$

                        由黎曼引理知,$\displaystyle \exists M> 0,$当$|x|\geq M$时,$\displaystyle s.t.|\int_{1}^{A}\frac{\cos xt}{t(1+t^2)}dt|< \varepsilon .$

                     于是有
                                 $\begin{align*}|\int_{1}^{+\infty}\frac{\cos xt}{t(1+t^2)}dt|&\leq |\int_{1}^{A}\frac{\cos xt}{t(1+t^2)}dt|+|\int_{A}^{+\infty}\frac{\cos xt}{t(1+t^2)}dt|\\\\&\leq |\int_{1}^{A}\frac{\cos xt}{t(1+t^2)}dt|+|\int_{A}^{+\infty}\frac{1}{t(1+t^2)}dt|\\\\&< \varepsilon .\end{align*}$

                       即
                                     $\displaystyle \lim_{x\to\infty}f(x)=0.$

           (3)、                            由(1)可知,$f(x)$在$x\in(-\infty,+\infty)$上连续,又由(2)知 $\displaystyle \lim_{x\to\infty}f(x)=0.$(有限)

                               所以$f(x)$在$x\in(-\infty,+\infty)$上连续。(参见:数学分析 第三版 上 陈纪修,于崇华,金路 编著,2019,P99,15题结论。)


二维码

扫码加我 拉你入群

请注明:姓名-公司-职位

以便审核进群资格,未注明则拒绝

2022-9-14 15:48:02
1.png
二维码

扫码加我 拉你入群

请注明:姓名-公司-职位

以便审核进群资格,未注明则拒绝

2022-9-19 08:35:38
2022年度研究生入学试题
QQ图片20220919082829.png

解:先进行坐标变换
                               $\displaystyle x=r\cos \theta ,y=r\sin\theta ,$

                                $\displaystyle D':0\leq \theta \leq \frac{\pi}{2},1\leq r\leq +\infty ,$

                     于是
                                   $\displaystyle I=\iint_D\frac{y}{(1+\sqrt{x^2+y^2}-x)^2(x^2+y^2)^a}dxdy=\int_{0}^{\frac{\pi}{2}}d\theta \int_{1}^{+\infty }\frac{r\sin\theta \cdot r}{(1+r-r\cos\theta)r^{2a} }dr.$

                         可知是一个无穷区间的广义积分。对$r$是含参变量的广义积分。由于:
                                   $\displaystyle \frac{r\sin\theta \cdot r}{(1+r-r\cos\theta)r^{2a} }\leq \frac{r^2}{r^{2a}}=\frac{1}{r^{2(a-1)}}.$

                         因此可知,当$\displaystyle a> \frac{3}{2}.$时,广义积分收敛。


二维码

扫码加我 拉你入群

请注明:姓名-公司-职位

以便审核进群资格,未注明则拒绝

栏目导航
热门文章
推荐文章

说点什么

分享

扫码加好友,拉您进群
各岗位、行业、专业交流群