全部版块 我的主页
论坛 经济学论坛 三区 微观经济学 经济金融数学专区
2022-9-19 15:10:29
2022年京都大学基础科学考研的一道题
1.png
二维码

扫码加我 拉你入群

请注明:姓名-公司-职位

以便审核进群资格,未注明则拒绝

2022-10-9 16:47:32
杨州大学2022年数学分析试题(三、综合题 5)
5、证明均值不等式。即对任何正数$a_1,a_2,.....a_n\in R^+,n\in N$,有
                        $$\sqrt[n]{a_1a_2\cdots a_n}\leq \frac{a_1+a_2+\cdots +a_n}{n}.$$

证明:
               可以用条件极值法证明。先将问题转化为求$a_1a_2\cdots a_n$的最大值。
                   令
                               $\displaystyle f(x_1,x_2,\cdots ,x_n)=x_1x_2\cdots x_n,$
                     而
                               $\displaystyle x_1+x_2+\cdots +x_n=a.$
                      再令
                                   $\displaystyle F(x_1,x_2,\cdots ,x_n)=x_1x_2\cdots x_n+\lambda (x_1+x_2+\cdots +x_n-a).$
                      由拉格朗日条件极值法,有

                                    $\begin{cases}
F_1 &=\frac{x_1x_2\cdots x_n}{x_1} +\lambda=0 ,\\
F_2 &=\frac{x_1x_2\cdots x_n}{x_21} +\lambda=0 ,\\
\cdots ,\\
F_n &=\frac{x_1x_2\cdots x_n}{x_n} +\lambda=0 ,\\
F_\lambda &=x_1+x_2+\cdots +x_n-a=0.
\end{cases}$
                     解之得:$\displaystyle x_1=x_2=\cdots =x_n=\frac{a}{n}.$

               由条件可知,函数在有界闭区域上正值函数,必有极大值。即有

                         $$f(x_1,x_2,\cdots ,x_n)=x_1x_2\cdots x_n\leq f(\frac{a}{n},\frac{a}{n},\cdots ,\frac{a}{n})=(\frac{a}{n})^n=(\frac{x_1+x_2+\cdots +x_n}{n})^n.$$







二维码

扫码加我 拉你入群

请注明:姓名-公司-职位

以便审核进群资格,未注明则拒绝

2022-10-14 15:25:05
中国矿业大学2022年数学分析试题
QQ图片20221014152341.png

证明
               由已知条件,可知满足Rolle中值定理,
                                     $\displaystyle \exists \eta \in (0,1),s.t.f'(\eta )=0.$

                     作辅助函数
                                          $\displaystyle F(x)=f'(x)(1-x)^2.$

                            此时有
                                            $\displaystyle F(\eta )=F(1)=0,$

                             二次使用Rolle定理,得
                                                $\displaystyle \exists \xi \in(\eta ,1)\subset (0,1),s.t.F'(\xi)=0.$

                                 因此有
                                                   $\displaystyle f''(\xi)(1-\xi)^2+2f'(\xi)(1-\xi)=0,$

                              整理得
                                              $\displaystyle f''(\xi)=\frac{2f'(\xi)}{\xi-1}.$

                                  命题成立。

                                   
                            【注记】此题两次运用Rolle中值定理,最主要是辅助函数的设计,不太容易想到,只能凑。



二维码

扫码加我 拉你入群

请注明:姓名-公司-职位

以便审核进群资格,未注明则拒绝

2022-10-24 16:10:35
2021年四川大学大学数学竞赛题(非数专业)
QQ图片20221024160957.png

解:
                 上述题 目有误,式中$\displaystyle \sum_{n=1}^{2019}\frac{1}{n!}f^{(n)}(x)x^n$应为$\displaystyle \sum_{n=1}^{2019}\frac{1}{n!}f^{(n)}(0)x^n.$

                 由条件可知,将$f(x)$在$x=0$点展开到2021项,即有
                          $\begin{align*}f(x)&=f(0)+\sum_{n=1}^{2019}\frac{1}{n!}f^{(n)}(0)x^n+\frac{1}{2020!}f^{(2020)}(\theta x)x^{2020}\\\\&=f(0)+\sum_{n=1}^{2019}\frac{1}{n!}f^{(n)}(0)x^n+\frac{1}{2020!}f^{(2020)}(0)x^{2020}+\frac{1}{2021!}f^{(2021)}(\eta )x^{2021},\eta\in(-1,1)\end{align*}$

                     两式相减,得
                           $\displaystyle \frac{1}{2021}f^{(2021)}(\eta )x=f^{(2020)}(\theta x)-f^{(2020)}(0)=f^{(2021)}(\xi )\theta x,\xi\in(0,\theta x)$

                   因此有
                                $\displaystyle \Rightarrow \lim_{x\to0}\theta =\frac{1}{2021}.(x\to0,\Rightarrow \eta \to0,\xi\to0)$
二维码

扫码加我 拉你入群

请注明:姓名-公司-职位

以便审核进群资格,未注明则拒绝

2022-11-8 15:18:07
2019 四川大学数学竞赛(非专业组)
1.png

解:
                   利用换无法,令:
                                         $\displaystyle 3x+4y=u,4x-3y=v.$

                                             $\displaystyle D\Rightarrow D',$

                                            $\displaystyle u^2+v^2=25(x^2+y^2)\leq 25.$

                                             $\displaystyle |J|=|\frac{\partial(x,y)}{\partial (u,v)}|^{-1}=\frac{1}{25}.$

                                          $\displaystyle I=\iint_D\sqrt{25-(3x+4y)^2}dxdy=\frac{1}{25}\iint_{D'}\sqrt{25-u^2}dudv.$

                                           $\displaystyle u=r\cos\theta ,v=r\sin\theta ,0\leq r\leq 5,0\leq \theta \leq 2\pi.$

                                            $\displaystyle \begin{align*}I&=\frac{1}{25}\int_{0}^{2\pi}d\theta \int_{0}^{5}r\sqrt{25-r^2\cos^2\theta }dr\\\\&=-\frac{1}{25}\int_{0}^{2\pi}\frac{1}{\cos^2\theta }\cdot \frac{2}{3}\cdot (25-r^2\cos^2\theta )^\frac{3}{2}|_0^5d\theta \\\\&=\frac{10}{3}\int_{0}^{2\pi}\frac{1-\sin^3\theta }{\cos^2\theta }d\theta \end{align*}$








二维码

扫码加我 拉你入群

请注明:姓名-公司-职位

以便审核进群资格,未注明则拒绝

2022-11-9 10:37:14
2019 四川大学数学竞赛(非专业组)
QQ图片20221109103551.png

解:
                    利用Stolz定理,
                              $\displaystyle I=\lim_{x\to0}\left ( \int_{0}^{1}e^{-xt^2}dt\right )^{\frac{1}{x}}=\lim_{x\to0}\exp\left ( \frac{1}{x}\ln \int_{0}^{1}e^{-xt^2}dt\right )=\lim_{x\to0}\exp\left ( \frac{\displaystyle \int_{0}^{1}-t^2e^{-xt^2}dt}{\displaystyle \int_{0}^{1}e^{-xt^2}dt}\right ).$

                   再利用含参变量连续性积分与极限可交换性定理,有
                              $\displaystyle \lim_{x\to0}\int_{0}^{1}e^{-xt^2}dt=\int_{0}^{1}\lim_{x\to0}e^{-xt^2}dt=1.$

                                $\displaystyle \lim_{x\to0}\int_{0}^{1}-t^2e^{-xt^2}dt=\int_{0}^{1}-t^2\cdot \lim_{x\to0}e^{-xt^2}dt=\int_{0}^{1}-t^2dt=-\frac{1}{3}.$

                       因此,得
                                       $\displaystyle I=e^{-\frac{1}{3}}.$






二维码

扫码加我 拉你入群

请注明:姓名-公司-职位

以便审核进群资格,未注明则拒绝

2022-11-10 09:05:18
2019 四川大学数学竞赛(非专业组)

1.jpg
附件列表
1.jpg

原图尺寸 125.41 KB

阅读权限: 255

1.jpg

1.jpg

原图尺寸 125.41 KB

阅读权限: 255

1.jpg

二维码

扫码加我 拉你入群

请注明:姓名-公司-职位

以便审核进群资格,未注明则拒绝

2022-11-11 11:26:59

                               $\begin{align*}I&=\lim_{n \to \infty }\frac{(n^2+1^2)^{\frac{1}{n}}(n^2+2^2)^{\frac{1}{n}}\cdots (n^2+(2n)^2)^{\frac{1}{n}}}{n^4}\\\\&=\lim_{n \to \infty }\exp\left ( \frac{1}{n}\ln(1+(\frac{1}{n})^2)(1+(\frac{2}{n})^2)\cdots (1+(\frac{2n}{n})^2)\right )\\\\&=\exp\left ( 2\int_{0}^{1}\ln(1+x^2)dx\right )\\\\&=e^{\displaystyle 2\ln2-4+4\arctan1}.\end{align*}$



二维码

扫码加我 拉你入群

请注明:姓名-公司-职位

以便审核进群资格,未注明则拒绝

2022-11-15 15:38:40
2010浙江省高等数学竞赛试题(经管类)
QQ图片20221115153659.png


                     $\begin{align*}I&=\int \frac{e^x(1+\sin x\cos x)}{\cos ^2x}dx\\\\&=\int e^x(\frac{1}{\cos ^2x}+\tan x)dx\\\\&=e^x\tan x+e^x\tan x-\int e^x(\tan x+\frac{1}{\cos ^2x})dx\\\\&=e^x\tan x.\end{align*}$


二维码

扫码加我 拉你入群

请注明:姓名-公司-职位

以便审核进群资格,未注明则拒绝

2022-11-16 10:01:05
东北大学2022数学分析
1.png


解:
                      $\displaystyle I=\int_{-\pi}^{\pi}\frac{x(\sin x)\arctan(e^{-x})}{1+\cos^2x}dx=\int_{-\pi}^{\pi}\frac{x(\sin x)\arctan(e^{x})}{1+\cos^2x}dx,(x=-x)$

                       $\displaystyle \therefore I=\frac{1}{2}\int_{-\pi}^{\pi}\frac{x(\sin x)[\arctan(e^{-x})+\arctan(e^{x})]}{1+\cos^2x}dx,$

                     又,
                         $\displaystyle \arctan(e^{-x})+\arctan(e^{x})=\frac{\pi}{2}.$

                     故
                            $\Rightarrow \begin{align*}I&=\frac{\pi}{4}\int_{-\pi}^{\pi}\frac{x\sin x}{1+\cos^2x}dx=\frac{\pi}{2}\int_{0}^{\pi}\frac{x\sin x}{1+\cos^2x}dx\\\\&=\frac{\pi}{2}\int_{0}^{\pi}\frac{(\pi-x)\sin x}{1+\cos^2x}dx,(x=\pi-x)\\\\&=\frac{\pi^2}{2}\int_{0}^{\pi}\frac{\sin x}{1+\cos^2x}dx-\frac{\pi}{2}I.\end{align*}$

                      得
                               $\displaystyle \therefore I=\frac{\pi^3}{2\pi+4}.$




二维码

扫码加我 拉你入群

请注明:姓名-公司-职位

以便审核进群资格,未注明则拒绝

2022-11-16 13:49:43
东北大学2022数学分析
QQ图片20221116134330.png

证明:
                由已知,用泰勒展开将函数在$x=\frac{a+b}{2}$点展开
                             $\begin{align*}f(x)&=f(\frac{a+b}{2})+f'(\frac{a+b}{2})(x-\frac{a+b}{2})+\frac{1}{2!}f''(\xi)(x-\frac{a+b}{2})^2,(\xi\in(a,\frac{a+b}{2}).f''(x)\leq 0)\\\\&\leq f(\frac{a+b}{2})+f'(\frac{a+b}{2})(x-\frac{a+b}{2}).\end{align*}$

                 再求积分
                             $\begin{align*}\int_{a}^{b}f(x)dx&\leq \int_{a}^{b}f(\frac{a+b}{2})dx+f'(\frac{a+b}{2})\int_{a}^{b}(x-\frac{a+b}{2})dx\\\\&=(b-a)f(\frac{a+b}{2})+f'(\frac{a+b}{2})(\frac{1}{2}x^2-\frac{a+b}{2}x)|_a^b\\\\&=(b-a)f(\frac{a+b}{2}).\end{align*}$

     注:此题还可用凹函数性质($f''(x)<=0$)来解。

二维码

扫码加我 拉你入群

请注明:姓名-公司-职位

以便审核进群资格,未注明则拒绝

2022-11-16 14:32:56
东北大学2022数学分析试题
东北大学2022.png
二维码

扫码加我 拉你入群

请注明:姓名-公司-职位

以便审核进群资格,未注明则拒绝

2022-11-16 15:00:07
楼上第十题解:
                利用高斯公式
                          $\begin{align*}I&=\iint_S=3\iiint_\Omega (x^2+y^2+z^2)dV+6\iiint_\Omega dV\\\\&=3\iiint_\Omega (x^2+y^2+z^2)dV+8\pi\\\\&=24\int_{0}^{\frac{\pi}{2}}\sin\theta d\theta \int_{0}^{\frac{\pi}{2}}d\varphi \int_{0}^{1}r^4dr+8\pi\\\\&=\frac{12}{5}\pi\int_{0}^{\frac{\pi}{2}}\sin\theta d\theta +8\pi\\\\&=\frac{52}{5}\pi.\end{align*}$


二维码

扫码加我 拉你入群

请注明:姓名-公司-职位

以便审核进群资格,未注明则拒绝

2022-11-22 15:49:14
求由曲面$(x^2+y^2+x^2)^3=3xyz$所围成的体积。
解:
             曲面图形如下
                                        9c16fdfaaf51f3def5aaca4a9eeef01f3a297987.png


                 利用球面坐标计算并利用对称性:
                            $x=\rho \sin\varphi \cos\theta ,y=\rho \sin\varphi \sin\theta ,z=\rho \cos\varphi ,$


                               $I=4\iiint_\Omega dV=4\int_{0}^{\frac{\pi}{2}}d\theta \int_{0}^{\frac{\pi}{2}}\sin\varphi d\varphi \int_{0}^{\sqrt[3]{3\sin\varphi \cos\varphi \sin\theta \cos\theta }}\rho ^2d\rho =\frac{1}{2}.$
e61190ef76c6a7efb9418d91f8faaf51f3de6625.jpg



二维码

扫码加我 拉你入群

请注明:姓名-公司-职位

以便审核进群资格,未注明则拒绝

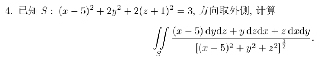
2022-11-28 16:04:31
华中科技大学2022年数学分析真题
QQ图片20221128160226.png

解:
                      令:
                                   $\displaystyle P=\frac{x-5}{r^3},Q=\frac{y}{r^3},R=\frac{z}{r^3},r=\sqrt{(x-5)^2+y^2+z^2}.$

                      由被积函数可知,在点$\displaystyle M_0(5,0,0)$处,$\displaystyle \frac{\partial P}{\partial x},\frac{\partial Q}{\partial x},\frac{\partial R}{\partial x}$不连续,为奇点。因此,要挖去$M_0$,再用高斯公式。
                     取
                                     $\displaystyle \varepsilon > 0,V_1:(x-5)^2+y^2+z^2=\varepsilon ^2.V_1\in\Omega .$
                       方向向外。这样

                                      $\displaystyle I=\iint_{S -S_1}+\iint_{S_1},$

                                       $\begin{align*}\iint_{S -S_1}&=\iiint_{\Omega -V_1}\left ( \frac{\partial P}{\partial x}+\frac{\partial Q}{\partial y}+\frac{\partial R}{\partial z}\right ) dV\\\\&=\iiint_{\Omega -V_1}\left ( \frac{r^2-3(x-5)^2}{r^5}+\frac{r^2-3y^2}{r^5}+\frac{r^2-3z^2}{r^5}\right ) dV\\\\&=0.\end{align*}$

                                       $\displaystyle \iint_{S_1}=\frac{1}{\varepsilon ^3}\iint_{S_1}(x-5)dydz+ydzdx+zdxdy=\frac{3}{\varepsilon ^3}\iiint_{V_1}dV=4\pi.$

                         所以
                                          $\displaystyle I=4\pi.$




二维码

扫码加我 拉你入群

请注明:姓名-公司-职位

以便审核进群资格,未注明则拒绝

2022-12-13 14:59:56
中国海洋大学2021年数学分析真题
2.png


                   利用偶函数的对称性,有
                                $\displaystyle I=\iint_\Sigma |xy|dS=4\iint_{\Sigma_1} xydS=$





二维码

扫码加我 拉你入群

请注明:姓名-公司-职位

以便审核进群资格,未注明则拒绝

2022-12-13 15:00:40
中国海洋大学2021年数学分析真题
3.png

解:
                   显然积分的第一部分积分函数为偶函数,因此由每二类曲面积分性质知,其在对称区域内积分为零。

                   设
                               $\displaystyle \Sigma_1:x=\sqrt{1-y^2-z^2}.$

                    于是利用曲面积分奇函数积分的对称性质,有

                                $\begin{align*}I&=\iint_{\Sigma }=2\iint_{\Sigma_1}\frac{dydz}{x\cos^2x}\\\\&=2\iint_{D_{yz}}\frac{dydz}{\sqrt{1-y^2-z^2}\cos^2\sqrt{1-y^2-z^2}}\\\\&=2\int_{0}^{2\pi}d\theta \int_{0}^{1}\frac{rdr}{\sqrt{1-r^2}\cos^2\sqrt{1-r^2}}\\\\&=4\pi\int_{0}^{1}\frac{-d\sqrt{1-r^2}}{\cos^2\sqrt{1-r^2}}\\\\&=-4\pi\arctan\sqrt{1-r^2}|_0^1\\\\&=4\pi\arctan1.\end{align*}$

二维码

扫码加我 拉你入群

请注明:姓名-公司-职位

以便审核进群资格,未注明则拒绝

2023-1-9 17:19:42
2023年湖南大学数学分析考研题
QQ图片20230109171626.png

证明:
               用反证法。

               假设$\displaystyle \exists M> 0,s.t.|\frac{f'(x)}{f(x)}|\geq M.$

                      $\displaystyle \because f(x)> 0,\therefore -Mf(x)\leq f'(x)\leq  Mf(x).$

                 令
                             $\displaystyle F(x)=e^{-Mx}f(x),$

                  则
                               $\displaystyle F(a)=e^{-Ma}f(a)=0,$

                       而
                                 $\displaystyle F'(x)=e^{-Mx}(f'(x)-Mf(x))\leq 0.$

                                  $\displaystyle \therefore F(x)=e^{-Mx}f(x)\leq F(a)=e^{-Ma}f(a)=0,\Rightarrow f(x)\leq 0.$

                        与条件矛盾。故原命题必成立。

二维码

扫码加我 拉你入群

请注明:姓名-公司-职位

以便审核进群资格,未注明则拒绝

2023-1-16 14:26:32
点个赞感谢分享
二维码

扫码加我 拉你入群

请注明:姓名-公司-职位

以便审核进群资格,未注明则拒绝

2023-1-29 20:11:41
2023中国海洋大学三道线面积分基本计算题
1.png


                    令
                                 $\displaystyle I=\iint_S\sqrt{1+x^2+y^2}dS=\iint_S\sqrt{1+u^2}\sqrt{ED-F}dudv,$

                         其中
                                      $\displaystyle E=x_u^2+y_u^2+z_u^2=\cos ^2v+\sin ^2v+0=1,$

                                       $\displaystyle D=x_v^2+y_v^2+z_v^2=u^2+1,$

                                       $\displaystyle F=x_ux_v+y_uy_v+z_uz_v=0.$

                                  $\displaystyle \therefore I=\iint_S\sqrt{1+u^2}\sqrt{ED-F}dudv=\int_{0}^{\pi}dv\int_{0}^{1}\sqrt{1+u^2}\cdot \sqrt{1+u^2}du=\frac{4}{3}\pi.$





二维码

扫码加我 拉你入群

请注明:姓名-公司-职位

以便审核进群资格,未注明则拒绝

2023-1-29 20:12:18
2.png

          QQ图片20230130194631.png





   
二维码

扫码加我 拉你入群

请注明:姓名-公司-职位

以便审核进群资格,未注明则拒绝

2023-1-29 23:15:17
1.png
2.png


               对积分区域添加一个平面$z=0,$方向向上,使得其成为一个闭合区域。然后对其运用高斯定理。

                QQ图片20230130093647.png


二维码

扫码加我 拉你入群

请注明:姓名-公司-职位

以便审核进群资格,未注明则拒绝

2023-1-31 10:20:42
2023中南大学考研题
QQ图片20230131101859.png

解:

                            $\displaystyle I=\lim_{x\to0}\frac{\sqrt[m]{\cos x}-\sqrt[n]{\cos x}}{\sin^2x}=\lim_{x\to0}\frac{-\frac{1}{m}\sin x\cos^{\frac{1}{m}-1}x+\frac{1}{n}\sin x\cos^{\frac{1}{n}-1}x}{2\sin x\cos x}=\frac{m-n}{2mn}.$



二维码

扫码加我 拉你入群

请注明:姓名-公司-职位

以便审核进群资格,未注明则拒绝

2023-2-4 15:56:00
上海交通大学1999年数学分析考研题
QQ图片20230204155246.png


                     $\begin{align*}I&=\lim_{p\rightarrow +\infty }\int_{0}^{\frac{1}{2}}\frac{\sin 2px}{\sqrt{1-x^2}}dx=\frac{1}{2}\lim_{p\rightarrow +\infty }\int_{0}^{\frac{1}{2}}\frac{1-\cos 2px}{\sqrt{1-x^2}}dx\\\\&=\frac{1}{2}\lim_{p\rightarrow +\infty }\int_{0}^{\frac{1}{2}}\frac{1}{\sqrt{1-x^2}}dx-\frac{1}{2}\lim_{p\rightarrow +\infty }\int_{0}^{\frac{1}{2}}\frac{\cos 2px}{\sqrt{1-x^2}}dx,\end{align*}$

          由黎曼引理知
                          $\displaystyle \lim_{p\rightarrow +\infty }\int_{0}^{\frac{1}{2}}\frac{\cos 2px}{\sqrt{1-x^2}}dx=0,$

                         $\displaystyle \therefore I=\frac{1}{2}\lim_{p\rightarrow +\infty }\int_{0}^{\frac{1}{2}}\frac{1}{\sqrt{1-x^2}}dx=\frac{1}{2}\arcsin x|_0^{\frac{1}{2}}=\frac{\pi}{12}.$




二维码

扫码加我 拉你入群

请注明:姓名-公司-职位

以便审核进群资格,未注明则拒绝

2023-2-5 18:14:17
上海交通大学1999年数学分析考研题
QQ图片20230205181243.png
二维码

扫码加我 拉你入群

请注明:姓名-公司-职位

以便审核进群资格,未注明则拒绝

2023-2-22 08:03:37
中国科学技术大学2023年数学分析考研真题
QQ图片20230222080202.png

解:       法线方向
              $\displaystyle  \Gamma :\underset{n}{\rightarrow}=\frac{1}{\sqrt{2}}\{-1,-1,0\},$
             利用stocks公式计算
               $I=\oint _\Gamma ydx+zdy+xdz=-\frac{1}{\sqrt{2}}\iint_\Gamma \begin{vmatrix}
1 & 1 &0 \\
\frac{\partial}{\partial x} & \frac{\partial}{\partial y} & \frac{\partial}{\partial z}\\
y & z & x
\end{vmatrix}dS=\sqrt{2}\iint_\Gamma dS=2\sqrt{2}\pi.$

             其中,由
                              $\displaystyle \begin{cases}
y= 2-x  &\\
(x-1)^2+(y-1)^2+z^2=2 &  
\end{cases}$
                  得曲线方程为:
                      $\displaystyle \Gamma:(x-1)^2+\frac{z^2}{2}=1,$

                     其所围面积为
                            $\displaystyle \sigma _S=\pi ab=\sqrt{2}\pi.$
二维码

扫码加我 拉你入群

请注明:姓名-公司-职位

以便审核进群资格,未注明则拒绝

2023-2-26 20:20:49
【长安大学2023】 QQ图片20230226201716.png

解:
                    $\begin{align*}\because \frac{1}{(1+x^\frac{1}{2})^{n-1}}=\frac{(1-x^\frac{1}{2})^{n-1}}{(1-x)^{n-1}}&\leq \frac{(1-x^\frac{1}{2})(1-x^\frac{1}{3})\cdots (1-x^\frac{1}{n})}{(1-x)^{n-1}}\\\\&\leq \frac{(1-x^\frac{1}{n})^{n-1}}{(1-x)^{n-1}}=\frac{1}{(1+x^\frac{1}{n}+\cdots +x^\frac{n-1}{n})^{n-1}},\end{align*}$

                     $\displaystyle \therefore \lim_{x \to 1}\frac{(1-x^\frac{1}{2})(1-x^\frac{1}{3})\cdots (1-x^\frac{1}{n})}{(1-x)^{n-=1}}=0.$


二维码

扫码加我 拉你入群

请注明:姓名-公司-职位

以便审核进群资格,未注明则拒绝

2023-2-28 09:13:27
【2023云南大学数学分析考研题】
QQ图片20230228091007.png

证明:
                    由已知条件知:$f(x)$在$[a,b]$上连续,且$f(a)=f(b)=0$,由Rolle定理得:                                                                                                           $\forall \xi \in(a,b),s.t.f'(\xi)=0.$

                    由已知条件:$f'(x)$在$[a,b]$上连续,由Lagrange中值定理得
                                                   $f'(\xi)-f'(a)=f''(\eta_1)(\xi-a),\eta_1\in(a,\xi)$

                                                   $f'(b)-f'(\xi)=f''(\eta_2)(b-\xi),\eta_2\in(\xi,b)$

                        将上面二式相乘,得
                                                   $-f'(a)f'(b)=f''(\eta_1)f''(\eta_2)(\xi-a)(b-\xi),$      

                               再由已知条件:$f'(a)f'(b)> 0$,得
                                                      $\Rightarrow f''(\eta_1)f''(\eta_2)< 0.$     

                           由于$f''(x)$  在$[a,b]$上连续,则由连续函数介值定理,得
                                                      $\forall \eta\in(\eta_1,\eta_2),s.t.f''(\eta)=0.$
                                                  


二维码

扫码加我 拉你入群

请注明:姓名-公司-职位

以便审核进群资格,未注明则拒绝

2023-2-28 10:21:41
【云南大学2023数学分析题 】
QQ图片20230228102021.png

解:
                  $\begin{align*}I=\int_{0}^{n\pi}\sqrt{1+\sin 2x}dx&=\int_{0}^{n\pi}|\sin x+\cos x|dx\\\\&=2\int_{0}^{n\pi}|\sin x\cos 0|dx\\\\&=2n\int_{0}^{\pi}\sin xdx\\\\&=4n.\end{align*}$

            注:计算过程中引用了周期函数积分定理。


二维码

扫码加我 拉你入群

请注明:姓名-公司-职位

以便审核进群资格,未注明则拒绝

2023-2-28 10:42:05
【云南大学2023年数学分析题】
QQ图片20230228104034.png

解:
                        $\displaystyle \because a_n=\int_{0}^{\frac{\pi}{4}}\sin^nx\cos xdx=\sin^{n+1}|_0^\frac{\pi}{4}-\int_{0}^{\frac{\pi}{4}}\sin^nx\cos xdx,$

                        $\displaystyle \therefore a_n=\frac{1}{n+1}\cdot (\frac{1}{\sqrt{2}})^{n+1}.$
                 令
                             $\displaystyle x=\frac{1}{\sqrt{2}},$

                   则有:
                                  $\begin{align*}\Rightarrow S=\sum_{n=0}^{\infty }a_n&=\sum_{n=0}^{\infty }\frac{1}{n+1}\cdot x^{n+1}=\int_{0}^{x}\sum_{n=0}^{\infty } t^{n} dt\\\\&=\int_{0}^{x} \frac{1}{1-t}dt=-\ln(1-x)\\\\&=\ln(2+\sqrt{2}).\end{align*}$






二维码

扫码加我 拉你入群

请注明:姓名-公司-职位

以便审核进群资格,未注明则拒绝

栏目导航
热门文章
推荐文章

说点什么

分享

扫码加好友,拉您进群
各岗位、行业、专业交流群