全部版块 我的主页
论坛 经济学论坛 三区 微观经济学 经济金融数学专区
2023-3-9 15:43:38
求三重积分【广西大学2023数学分析】
QQ图片20230309153928.png


                        $\begin{align*}I&=\iiint_V\frac{dxdydz}{(1+x+y+z)^3} \\\\&=\iint_Sdxdy\int_{0}^{1-x-y}\frac{dz}{(1+x+y+z)^3}\\\\&=\iint_Sdxdy\int_{0}^{1-x-y}\frac{d(1+x+y+z)}{(1+x+y+z)^3}\\\\&=-\frac{1}{2}\iint_S\frac{1}{(1+x+y+z)^2}|_0^{1-x-y}dxdy\\\\&=-\frac{1}{2}\iint_S(\frac{1}{4}-\frac{1}{(1+x+y)^2})dxdy\\\\&=-\frac{1}{2}\int_{0}^{1}dx\int_{0}^{1-x}(\frac{1}{4}-\frac{1}{(1+x+y)^2})dy\\\\&=-\frac{1}{8}\int_{0}^{1}dx\int_{0}^{1-x}dy-\frac{1}{2}\int_{0}^{1}dx\int_{0}^{1-x}\frac{1}{(1+x+y)^2}dy\\\\&=\cdots .\end{align*}$


二维码

扫码加我 拉你入群

请注明:姓名-公司-职位

以便审核进群资格,未注明则拒绝

2023-3-10 13:48:39
求曲面积分【广西大学2023】
QQ图片20230310134709.png


解:
                       $\Sigma_1:z=\sqrt{R^2-x^2-y^2},\Sigma_2:z=-\sqrt{R^2-x^2-y^2},$

                          $I=I_1+I_2;$
                    
                         $\begin{align*}I_1&=\iint_{\Sigma_1}\frac{dS}{\sqrt{x^2+y^2+(z-h)^2}}\\\\&=\iint_{\Sigma_1}\frac{1}{\sqrt{R^2+h^2-2h\sqrt{R^2-x^2-y^2}}}\cdot \frac{R}{\sqrt{R^2-x^2-y^2}}dxdy\\\\&=\int_{0}^{2\pi}d\theta \int_{0}^{R}\frac{1}{\sqrt{R^2+h^2-2h\sqrt{R^2-r^2}}}\cdot \frac{R}{\sqrt{R^2-r^2}}\cdot rdr\\\\&=\frac{2\pi R}{h} \sqrt{R^2+h^2-2h\sqrt{R^2-r^2}}|_0^R\\\\&=\frac{2\pi R}{h}(\sqrt{R^2+h^2}-|R-h|).
\end{align*}$

                         $\begin{align*}I_2&=\iint_{\Sigma_2}\frac{dS}{\sqrt{x^2+y^2+(z-h)^2}}\\\\&=\iint_{\Sigma_2}\frac{1}{\sqrt{R^2+h^2+2h\sqrt{R^2-x^2-y^2}}}\cdot \frac{R}{\sqrt{R^2-x^2-y^2}}dxdy\\\\&=\int_{0}^{2\pi}d\theta \int_{0}^{R}\frac{1}{\sqrt{R^2+h^2+2h\sqrt{R^2-r^2}}}\cdot \frac{R}{\sqrt{R^2-r^2}}\cdot rdr\\\\&=\frac{2\pi R}{h} \sqrt{R^2+h^2+2h\sqrt{R^2-r^2}}|_0^R\\\\&=\frac{2\pi R}{h}(R+h-\sqrt{R^2+h^2}).
\end{align*}$

                      $\therefore I=I_1+I_2=\frac{2\pi R}{h}(R+h-|R-h|).$

二维码

扫码加我 拉你入群

请注明:姓名-公司-职位

以便审核进群资格,未注明则拒绝

2023-3-11 16:18:26
计算极限【长安大学2023】
QQ图片20230311161614.png


                      $\begin{align*}I&=\lim_{x\to0}\frac{1-(\cos x)^{\sin x}}{x^3}=\lim_{x\to0}\frac{1-(\cos x)^{x}}{x^3}\\\\&=\lim_{x\to0}\frac{1-e^{x\ln\cos x}}{x^3}=\lim_{x\to0}\frac{-x\ln\cos x}{x^3}\\\\&=\lim_{x\to0}\frac{\sin x}{2x\cos x}\\\\&=\frac{1}{2}.\end{align*}$



二维码

扫码加我 拉你入群

请注明:姓名-公司-职位

以便审核进群资格,未注明则拒绝

2023-3-11 16:19:13
计算【长安大学2023】
QQ图片20230311161640.png


                   $\displaystyle I_n=\int \frac{x^{2n-1}}{x^n+1}dx=\frac{1}{n}\int \frac{x^{n}}{x^n+1}dx^n=\frac{1}{n}\int (1-\frac{1}{x^n+1})dx^n=\frac{1}{n}x^n-\frac{1}{n}\ln(x^n+1)+C.$




二维码

扫码加我 拉你入群

请注明:姓名-公司-职位

以便审核进群资格,未注明则拒绝

2023-3-11 18:23:10
【长安大学2023】
QQ图片20230311161614.png

解:
             求出函数表达式
                       $\displaystyle y=\sum_{n=1}^{\infty }\frac{(-1)^{n+1}x^{2n}}{(2n-1)!}=-x\sum_{n=0}^{\infty }\frac{(-1)^{n}x^{2n+1}}{(2n+1)!}=-x\sin x.$

              绕x轴转一周
                          $\displaystyle \pm \sqrt{x^2+y^2}=-x\sin x.$

                      则
                              $\displaystyle y^2=x^2(\sin^2 x-1).$

                    因此
                             $\displaystyle V=\int_{0}^{\pi}\pi y^2dx=\int_{0}^{\pi}\pi x^2(\sin^2 x-1)dx=\cdots .$


二维码

扫码加我 拉你入群

请注明:姓名-公司-职位

以便审核进群资格,未注明则拒绝

2023-3-11 18:23:53
【长安大学2023】
QQ图片20230311161640.png
二维码

扫码加我 拉你入群

请注明:姓名-公司-职位

以便审核进群资格,未注明则拒绝

2023-3-12 15:39:20
【长安大学2023】
QQ图片20230312153548.png

                  
                 $\displaystyle I=\oint_L\frac{\partial f}{\partial n}ds=\iint_D(\frac{\partial^2f}{\partial x^2}+\frac{\partial^2f}{\partial y^2})dxdy=\iint_D2dxdy=2\int_{0}^{2\pi}d\theta \int_{0}^{1}\frac{1}{\sqrt{2}}rdr=\sqrt{2}\pi.$



二维码

扫码加我 拉你入群

请注明:姓名-公司-职位

以便审核进群资格,未注明则拒绝

2023-3-12 15:40:36
【长安大学2023】
QQ图片20230312153616.png


解:用极坐标。
                    $\displaystyle D:x=r\cos \theta ,y=r\sin \theta ,\varepsilon \leq r\leq R,0\leq \theta \leq 2\pi,$

             而
                     $\displaystyle \frac{\partial f}{\partial r}=\frac{\partial f}{\partial x}\cdot \frac{\partial x}{\partial r}+\frac{\partial f}{\partial y}\cdot \frac{\partial y}{\partial r}=\frac{1}{r}(xf_x+yf_y),$

            因此,有
                        $\begin{align*}\lim_{\varepsilon \to0}\frac{-1}{2\pi}\iint_{\varepsilon ^2\leq x^2+y^2\leq R^2}\frac{xf_x+yf_y}{x^2+y^2}dxdy&=\lim_{\varepsilon \to0}\frac{-1}{2\pi}\iint_D\frac{r\frac{\partial f}{\partial r}}{r^2}\cdot  rdrd\theta \\\\&=\lim_{\varepsilon \to0}\frac{-1}{2\pi}\int_{0}^{2\pi}d\theta \int_{\varepsilon }^{R}\frac{\partial f}{\partial r}dr\\\\&=\lim_{\varepsilon \to0}\frac{-1}{2\pi}\int_{0}^{2\pi}(f(R\cos \theta ,R\sin \theta )-f(\varepsilon \cos \theta ,\varepsilon \sin \theta ))d\theta \\\\&=\lim_{\varepsilon \to0}\frac{-1}{2\pi}\int_{0}^{2\pi}(0-f(\varepsilon \cos \theta ,\varepsilon \sin \theta ))d\theta \\\\&=\lim_{\varepsilon \to0}f(\varepsilon \cos \theta^\ast ,\varepsilon \sin \theta^\ast  ),\theta^\ast\in(0,2\pi)\\\\&=f(0,0)=2023.\end{align*}$
       注:最后一步利用积分中值定理。

二维码

扫码加我 拉你入群

请注明:姓名-公司-职位

以便审核进群资格,未注明则拒绝

2023-3-13 19:15:41
【长安大学2023】
1.png


      (1)、
                           $\displaystyle \lim_{n \to \infty }\sqrt[n]{a_1a_2\cdots a_n}=\lim_{n \to \infty }\exp(\frac{\displaystyle \sum_{i=1}^{n}\ln a_i}{n})=\exp(\lim_{n \to \infty }\ln a_n)=\lim_{n \to \infty }a_n=+\infty .$

       (2)、

             1.png
                  可令
                           $\displaystyle f(x)=\sin x,g(x)=\sqrt{x},\exists \xi \in(0,x),s.t.$

                            $\begin{align*}\lim_{x\to+\infty }\frac{1}{x}\int_{0}^{x}\sqrt{t}\sin tdt&=\lim_{x\to+\infty }\frac{1}{x}(\sqrt{0}\int_{0}^{\xi}\sin tdt+\sqrt{x}\int_{\xi}^{x}\sin tdt)\\\\&=\lim_{x\to+\infty }\frac{1}{\sqrt{x}}\int_{\xi}^{x}\sin tdt\\\\&=\lim_{x\to+\infty }\frac{M'}{\sqrt{x}}\\\\&=0.\end{align*}$

                    这是因为有
                                            $\displaystyle |\int_{\xi}^{x}\sin tdt|\leq M.M'\in[-M,M]$


二维码

扫码加我 拉你入群

请注明:姓名-公司-职位

以便审核进群资格,未注明则拒绝

2023-3-13 19:16:23
【长安大学2023】
2.png

证明
               由Taylor公式
                                     $\displaystyle f(x+h)=f(x)+f'(x)h+\frac{1}{2}f''(\xi)h^2,\xi\in(x,x+h)$

                             得,
                                     $\displaystyle f'(x)=\frac{f(x+h)-f(x)}{h}-\frac{1}{2}f''(\xi)h,$

                                 从而有
                                      $\displaystyle |f'(x)|=|\frac{f(x+h)-f(x)}{h}-\frac{1}{2}f''(\xi)h|\leq \frac{2M_0}{h}+\frac{M_2}{2}h,$

                                  又
                                              $\displaystyle \because \frac{2M_0}{h}+\frac{M_2}{2}h\geq 2\sqrt{M_0M_2},$

                                    所以可取$\displaystyle h=2\sqrt{\frac{M_0}{M_2}}$,得
                                              $\displaystyle |f'(x)|\leq \frac{2M_0}{h}+\frac{M_2}{2}h=2\sqrt{M_0M_2}.$
二维码

扫码加我 拉你入群

请注明:姓名-公司-职位

以便审核进群资格,未注明则拒绝

2023-3-13 19:16:59
【长安大学2023】
3.png

证明
                   当$\displaystyle x=0$,积分收敛;

                   对于$\displaystyle x\in(-\infty ,0)\cup (0,+\infty ),$有
                                  $\displaystyle \forall A> 0,|\int_{0}^{A}\sin xydy|=\frac{1}{|x|}|1-\cos Ax|< M.$

                     而$\displaystyle \frac{1}{1+y^2},\downarrow (y\to+\infty ),$且$\displaystyle |\frac{1}{1+y^2}|\rightarrow 0(y\to+\infty ),$

                                   $\displaystyle \therefore \forall x\in(-\infty ,0)\cup (0,+\infty ), |\frac{1}{1+y^2}|\Rightarrow 0(y\to+\infty ),$

                        由Dirichlet判别法,原积分一致收敛。



二维码

扫码加我 拉你入群

请注明:姓名-公司-职位

以便审核进群资格,未注明则拒绝

2023-3-15 08:44:16
【吉林大学2023】
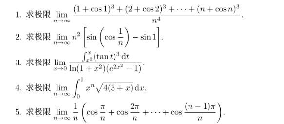
QQ图片20230315084230.png


     1、
                     $\begin{align*}\lim_{n \to \infty }\frac{1+\cos1)^3+(2+\cos2)^3\cdots +(n+\cos n)^3}{n^4}&=\lim_{n \to \infty }\frac{(n+\cos n)^3}{n^4-(n-1)^4}\\\\&=\lim_{n \to \infty }\frac{n^3(1+\frac{\cos n}{n})^3}{n^4-n^4+4n^3-o(n^2)}\\\\&=\lim_{n \to \infty }\frac{e^{\frac{3\cos n}{n}}}{4}\\\\&=\frac{1}{4}.\end{align*}$
   2、
                     $\begin{align*}\lim_{n \to \infty }n^2[\sin (\cos \frac{1}{n})-\sin 1]&=\lim_{n \to \infty }n^2\cdot [2\cos \frac{\cos \frac{1}{n}+1}{2}\sin \frac{\cos \frac{1}{n}-1}{2}]\\\\&=\lim_{n \to \infty }n^2\cdot 2\cos 1\sin (-\frac{1}{2n^2})\\\\&=-\cos 1.\end{align*}$

     3、                       $\displaystyle x\to0,\tan x\sim x,\ln(1+x^2)\sim x^2,e^{2x^2}-1\sim 2x^2.$

                       $\displaystyle \lim_{x\to0}\frac{\int_{x^2}^{x}(\tan t)^3dt}{\ln(1+x^2)(e^{2x^2}-1)}=\lim_{x\to0}\frac{\int_{x^2}^{x}t^3dt}{x^2\cdot 2x^2}=\lim_{x\to0}\frac{\frac{1}{4}(x^4-x^8)}{2x^4}=\frac{1}{8}.$

     4、
                        $\displaystyle x\in[0,1],\sqrt{4(3+x)}\leq 4,$

                          $\displaystyle \int_{0}^{1}x^n\sqrt{x(3+x)}dx=\int_{0}^{1-\delta }x^n\sqrt{x(3+x)}dx+\int_{1-\delta }^{1}x^n\sqrt{x(3+x)}dx\leq 4(1-\delta )^n+4\delta .$

                         $\displaystyle \therefore \lim_{n \to \infty }\int_{0}^{1}x^n\sqrt{x(3+x)}dx=0.$

      5、
                         $\begin{align*}I&=\lim_{n \to \infty }\frac{1}{n}(\cos \frac{\pi}{n}+\cos \frac{2\pi}{n}+\cdots +\cos \frac{(n-1)\pi}{n})\\\\&=\lim_{n \to \infty }\frac{1}{n}(\cos \frac{\pi}{n}+\cos \frac{2\pi}{n}+\cdots +\cos \frac{(n-1)\pi}{n}+\cos \frac{n\pi}{n}+1)\\\\&=\frac{1}{\pi}\int_{0}^{\pi}\cos xdx=0.\end{align*}$




二维码

扫码加我 拉你入群

请注明:姓名-公司-职位

以便审核进群资格,未注明则拒绝

2023-3-15 16:17:01
【吉林大学2023】
1.png


             7、
                     用参数方程
                                           $\displaystyle x=a+a\cos\theta ,y=a\sin\theta ,dx=-a\sin\theta d\theta  ,0\leq \theta \leq \pi.$

                                           $\begin{align*}\int_Lxydx&=\int _{y=0}xydx+\int _{L^+}xydx\\\\&=0+\int_{0}^{\pi}(a+a\cos\theta )\cdot a\sin\theta \cdot (-a\sin\theta d\theta )\\\\&=-a^3\int_{0}^{\pi}(1+\cos\theta )\sin^2\theta d\theta \\\\&=-\frac{1}{2}\pi a^3.\end{align*}$

            8、                          令
                                        $\displaystyle t=1-x,x=1-t,dx=-dt,$

                            代入变换,计算
                                           $\begin{align*}I&=\int_{0}^{1}\frac{x}{e^x+e^{1-x}}dx=\int_{0}^{1}\frac{1-t}{e^{1-t}+e^t}dt\\\\&=\frac{1}{2}[\int_{0}^{1}(\frac{x}{e^x+e^{1-x}}+\frac{1-x}{e^x+e^{1-x}})dx]\\\\&=\frac{1}{2}\int_{0}^{1}\frac{1}{e^x+e^{1-x}}dx\\\\&=\frac{1}{2}\int_{0}^{1}\frac{1}{\frac{e^{2x}}{e}+1}d(\frac{e^x}{\sqrt{e}})\\\\&=\frac{1}{2}\arctan (\frac{e^x}{\sqrt{e}})|_0^1\\\\&=\frac{1}{2}(\arctan \sqrt{e}-\arctan\frac{1}{\sqrt{e}}).\end{align*}$

二维码

扫码加我 拉你入群

请注明:姓名-公司-职位

以便审核进群资格,未注明则拒绝

2023-3-15 16:17:29
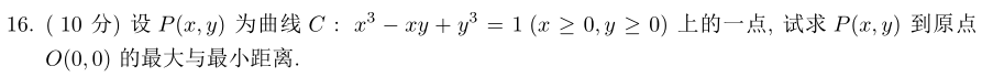
【吉林大学2023】
2.png


                  先求出奇点。在所给曲线中消去z,然后用Lanrange乘数法求出奇点,最后比较大小,确定最大值的点和最小值的点。


二维码

扫码加我 拉你入群

请注明:姓名-公司-职位

以便审核进群资格,未注明则拒绝

2023-3-15 16:17:52
【吉林大学2023】
3.png

证明
                         首先
                                    $\displaystyle \cos (\pi\sqrt{n^2+n})=(-1)^n\cos (\pi\sqrt{n^2+n}-n\pi)=(-1)^n\cos \frac{n\pi}{\sqrt{n^2+n}+n},$

                            而
                                    $\displaystyle \because n \to \infty ,\frac{n\pi}{\sqrt{n^2+n}+n}\to\frac{\pi}{2},\cos \frac{n\pi}{\sqrt{n^2+n}+n}\downarrow ,\to0.$

                                并且由
                                     $\displaystyle |\arcsin \frac{n}{n+1}|\leq \frac{\pi}{2},$

                      故交叉级数$\displaystyle \{\cos (\pi\sqrt{n^2+n})\arcsin \frac{n}{n+1}\}$收敛。

                      另,因为$\displaystyle |\cos (\pi\sqrt{n^2+n})\arcsin \frac{n}{n+1}|\neq 0,(n \to \infty )$,所以级数$\displaystyle \{\cos (\pi\sqrt{n^2+n})\arcsin \frac{n}{n+1}\}$不绝对收敛。即原级数条件收敛。

二维码

扫码加我 拉你入群

请注明:姓名-公司-职位

以便审核进群资格,未注明则拒绝

2023-3-18 16:20:23
【复旦大学数学分析2023】
1.png


                     令
                                 $\displaystyle \angle OPA=\theta ,\angle POA=\theta _1,\angle PAO=\theta _2,$

                         则有
                                  $\displaystyle \theta _1=\arctan \frac{y}{x},\theta _2=\arctan \frac{y}{1-x},$

                                   $\displaystyle \theta =\pi-\theta _1-\theta _2=\pi-\arctan \frac{y}{x}-\arctan \frac{y}{1-x}.$

                         再令
                                     $\displaystyle F(x,y,\lambda )=\pi-\arctan \frac{y}{x}-\arctan \frac{y}{1-x}+\lambda (x-y+1).$

                         那么
                                       $\displaystyle F_x=\frac{\frac{y}{x^2}}{1+(\frac{y}{x})^2}-\frac{\frac{y}{(1-x)^2}}{1+(\frac{y}{1-x})^2}+\lambda =\frac{y}{x^2+y^2}-\frac{y}{(1-x)^2+y^2}+\lambda =0,$

                                         $\displaystyle F_y=-\frac{\frac{1}{x}}{1+(\frac{y}{x})^2}-\frac{\frac{1}{1-x}}{1+(\frac{y}{1-x})^2}-\lambda =-\frac{x}{x^2+y^2}-\frac{1-x}{(1-x)^2+y^2}-\lambda =0,$

                                        $\displaystyle F_\lambda =x-y+1=0.$

                         求出奇点
                                         $(0,1)$,$(-2,-1)$舍去.

                            所以
                                          $\displaystyle P(x,y)=(0,1).$

                          而所求最大夹角为
                                            $\displaystyle \theta =\frac{\pi}{4}.$


二维码

扫码加我 拉你入群

请注明:姓名-公司-职位

以便审核进群资格,未注明则拒绝

2023-3-18 16:20:58
【复旦大学数学分析2023】
2.png


                          $\displaystyle I(t)=\int_{0}^{+\infty }\frac{e^{-x}-e^{-tx}}{x}dx,$

                              $\displaystyle I'(t)=\int_{0}^{+\infty }e^{-tx}dx=\frac{1}{t}.$

                            $\displaystyle \therefore I(t)=\int_{0}^{t}\frac{1}{u}du=\ln t.$



二维码

扫码加我 拉你入群

请注明:姓名-公司-职位

以便审核进群资格,未注明则拒绝

2023-3-18 16:21:34
【复旦大学数学分析2023】
3.png


                       $\displaystyle z=\sqrt{1-x^2-y^2},\overrightarrow{n}=\{-\frac{x}{\sqrt{1-x^2-y^2}},-\frac{y}{\sqrt{1-x^2-y^2}},\frac{1}{\sqrt{1-x^2-y^2}}\}.$

                        $\displaystyle dS=\sqrt{1+\frac{x^2}{1-x^2-y^2}+\frac{y^2}{1-x^2-y^2}}dxdy=\sqrt{\frac{1}{1-x^2-y^2}}dxdy,$

                         $\begin{align*}I&=\int \overrightarrow{F}\cdot d\overrightarrow{S}=\int \overrightarrow{F}\cdot\overrightarrow{n}dS\\\\&=\iint_\Sigma [\frac{-x(xy+\cos z)-y(-xy+x^2)+(x+2z^2)}{\sqrt{1-x^2-y^2}}] dS\\\\&=\iint_{D_{xy}}[-x(xy+\cos \sqrt{1-x^2-y^2})-y(-xy+x^2)+(x+2(1-x^2-y^2))]dxdy\\\\&=2\iint_{D_{xy}}(1-x^2-y^2)dxdy\\\\&=2\int_{0}^{2\pi}d\theta \int_{0}^{\frac{\sqrt{2}}{2}}(1-r^2)rdr\\\\&=2\pi\cdot \frac{1}{4} =\frac{1}{2}\pi.\end{align*}$

二维码

扫码加我 拉你入群

请注明:姓名-公司-职位

以便审核进群资格,未注明则拒绝

2023-3-20 19:22:47
【复旦大学数学分析2023】
QQ图片20230320192131.png


                          因为极限存在,所以用罗必塔法则,可得
                                                 $a=b$,

                          而极限值为:$\frac{2}{3}a$.
二维码

扫码加我 拉你入群

请注明:姓名-公司-职位

以便审核进群资格,未注明则拒绝

2023-3-21 08:46:18
【吉林大学2023】
1.png

证明
                          由已知条件,不难得到
                                              $\displaystyle f(x)\neq 0,x\in[1,+\infty ),|f(x)|\leq M.$

                                       $\displaystyle \forall x_1,x_2\in[1,+\infty ),x_1< x_2$,有

                                           $\displaystyle \forall \varepsilon > 0,\forall x_1,x_2\in[1,+\infty ),x_1< x_2,\forall \delta > 0,|x_1-x_2|< \delta .$

                                    使得
                                            $\begin{align*}|\frac{x_1+e^{-x_1}}{f(x_1)}-\frac{x_2+e^{-x_2}}{f(x_2)}|&\leq |\frac{x_1}{f(x_1)}-\frac{x_2}{f(x_2)}|+|\frac{e^{-x_1}}{f(x_1)}-\frac{e^{-x_2}}{f(x_2)}|\\\\&\leq x_2|\frac{f(x_2)-f(x_1)}{f(x_1)f(x_2)}|+e^{-x_1}|\frac{f(x_2)-f(x_1)}{f(x_1)f(x_2)}|\\\\&\leq \frac{x_2}{|f(x_1)f(x_2)|}\cdot L|x_1-x_2|+\frac{e^{-x_1}}{|f(x_1)f(x_2)|}\cdot L|x_1-x_2|\\\\&\leq \frac{x_2L}{|f(x_1)f(x_2)|}\delta +\frac{e^{-x_1}L}{|f(x_1)f(x_2)|}\delta \\\\&< \varepsilon .\end{align*}$

                                其中:$\displaystyle \varepsilon =[\frac{x_2L}{|f(x_1)f(x_2)|} +\frac{e^{-x_1}L}{|f(x_1)f(x_2)|}]\delta .$




二维码

扫码加我 拉你入群

请注明:姓名-公司-职位

以便审核进群资格,未注明则拒绝

2023-3-21 09:10:38
【吉林大学2023】
1.png

证明
                     令
                                  $\displaystyle F(x)=(1-x)^{k}f(x),x\in[0,1]$

                          则由已知条件,$F(x)$在$[0,1]$上连续,在$(0,1)$上可导。且
                                       $\displaystyle F(0)=F(1)=0,$

                               由 Rolle定理
                                                  $\displaystyle \exists \xi \in(0,1),s.t.$
                       
                                                    $\displaystyle F'(\xi)=(1-\xi)^kf'(\xi)-k(1-\xi)^{(k-1)}f(\xi)=0,$

                                                          $\displaystyle (1-\xi)f'(\xi)-kf(\xi)=0,$

                                                      $\displaystyle \therefore \xi f'(x)+kf(\xi)=f'(\xi).$

                                                   命题成立。

二维码

扫码加我 拉你入群

请注明:姓名-公司-职位

以便审核进群资格,未注明则拒绝

2023-3-22 08:30:30
【复旦大学数学分析2023】
QQ图片20230322081829.png

   

             这是李扬学长的解法。


附件列表
QQ图片20230325141306.png

原图尺寸 39.7 KB

QQ图片20230325141306.png

二维码

扫码加我 拉你入群

请注明:姓名-公司-职位

以便审核进群资格,未注明则拒绝

2023-3-25 22:06:52
【复旦大学数学分析2023】
QQ图片20230325220410.png

证明

                  首先,由已知可知
                                      $\displaystyle \exists N> 0,\forall x> N,\frac{xf'(x)}{f(x)}\leq -r,$

                                       $\displaystyle \Rightarrow \frac{f'(x)}{f(x)}\leq -\frac{r}{x},$

                        从而
                                       $\displaystyle \ln f(x)\leq \ln Cx^{-r},$

                                       $\displaystyle f(x)\leq Cx^{-r},(r> 1,f(x)> 0)$

                          因此
                                       $\displaystyle \int_{a}^{+\infty }f(x)\leq C\int_{a}^{+\infty }x^{-r}dx< \infty .$


二维码

扫码加我 拉你入群

请注明:姓名-公司-职位

以便审核进群资格,未注明则拒绝

2023-3-25 22:07:44
【复旦大学数学分析2023】
QQ图片20230325220451.png


证明
                 由积分的等价性定理,如果要使
                                           $\displaystyle (P-f)dx+(Q-g)dy+(R-h)dz$

                           为全微分。则相当于下列条件成立
                                            $\displaystyle \frac{\partial(P-f)}{\partial y}=\frac{\partial(Q-g)}{\partial x},\frac{\partial P}{\partial y}-\frac{\partial f}{\partial y}=\frac{\partial Q}{\partial x}-\frac{\partial g}{\partial x},$

                                             $\displaystyle \frac{\partial(Q-g)}{\partial z}=\frac{\partial(R-h)}{\partial y},\frac{\partial Q}{\partial z}-\frac{\partial g}{\partial z}=\frac{\partial R}{\partial y}-\frac{\partial h}{\partial y},$
                              
                                              $\displaystyle \frac{\partial(R-h)}{\partial x}=\frac{\partial(P-f)}{\partial z},\frac{\partial R}{\partial x}-\frac{\partial h}{\partial x}=\frac{\partial P}{\partial z}-\frac{\partial f}{\partial z},$

                     于是结合已知条件,只要令
                                             $\displaystyle \frac{\partial g}{\partial x}-\frac{\partial f}{\partial y}=\frac{\partial Q}{\partial x}-\frac{\partial P}{\partial y}=c,$

                                              $\displaystyle \frac{\partial h}{\partial y}-\frac{\partial g}{\partial z}=\frac{\partial R}{\partial y}-\frac{\partial Q}{\partial z}=a,$

                                              $\displaystyle \frac{\partial f}{\partial z}-\frac{\partial h}{\partial x}=\frac{\partial P}{\partial z}-\frac{\partial R}{\partial x}=b,$

                        即可使
                                      $\displaystyle (P-f)dx+(Q-g)dy+(R-h)dz$

                             为全微分。



二维码

扫码加我 拉你入群

请注明:姓名-公司-职位

以便审核进群资格,未注明则拒绝

2023-3-30 19:22:44
【中山大学2023】
1.png


                      $\begin{align*}\int \frac{1+x^4}{1+x^6}dx&=\int \frac{1-x^2+x^4+x^2}{1+x^6}dx\\\\&=\int \frac{dx}{1+x^2}+\int \frac{x^2}{1+x^6}dx\\\\&=\arctan x+\frac{1}{3}\int\frac{dx^3}{1+x^6} \\\\&=\arctan x+\frac{1}{3}\arctan x^3+C.\end{align*}$




二维码

扫码加我 拉你入群

请注明:姓名-公司-职位

以便审核进群资格,未注明则拒绝

2023-3-30 19:23:22
【中山大学2023】
QQ图片20230330192039.png


         (1)、
                                        因为
                                                      $\displaystyle \sin \frac{\pi}{2023^n}\sim \frac{\pi}{2023^n},n \to +\infty ,$

                                            即有
                                                        $\displaystyle 2022^n\sin \frac{\pi}{2023^n}\sim (\frac{2022}{2023})^n\pi,n \to +\infty ,$

                                           而有
                                                         $\displaystyle a_n=(\frac{2022}{2023})^n\pi\leq \pi,\uparrow ,$

                                           由级数的单调有界原理,原级数收敛。

            (2)、                      由于
                                               $\displaystyle \lim_{n \to \infty }\frac{1}{2^n}(1+\frac{1}{n})^{n^2}=\lim_{n \to \infty }(\frac{e}{2})^n\neq 0.$

                                             所以原级数发散。
二维码

扫码加我 拉你入群

请注明:姓名-公司-职位

以便审核进群资格,未注明则拒绝

2023-3-31 08:04:57
【中山大学2023】
QQ图片20230331080343.png


                  由已知,有
                                   $\displaystyle f(x)=\frac{x^2}{(1+x^2)^2}=\frac{1}{1+x^2}-\frac{1}{(1+x^2)^2}=\frac{1}{1+u}-\frac{1}{(1+u)^2},x^2=u,$

                       而
                                    $\displaystyle \frac{1}{1+u}=1-u+u^2-u^3+\cdots +(-1)^{n+1}u^n+\cdots ,$

                                    $\displaystyle -\frac{1}{(1+u)^2}=1-2u+3u^2+\cdots +(-1)^{n+1}nu^{n}+\cdots ,$

                         所以
                                    $\displaystyle \frac{1}{1+u}-\frac{1}{(1+u)^2}=2-3u+4u^2+\cdots +(-1)^{n+1}(n+1)u^{n}+\cdots=\sum_{n=1}^{\infty }(-1)^{n+1}(n+1)u^{n} ,$

                                     $\displaystyle \Rightarrow f(x)=\sum_{n=1}^{\infty }(-1)^{n+1}(n+1)x^{2n}.|x^2|< 1$
二维码

扫码加我 拉你入群

请注明:姓名-公司-职位

以便审核进群资格,未注明则拒绝

2023-3-31 11:42:49
【中山大学2023】
1.png

                         QQ图片20230331113501.png


                                                        (数学分析解题思想与方法(第2版)杨传林 编著,2019,P165例8)

二维码

扫码加我 拉你入群

请注明:姓名-公司-职位

以便审核进群资格,未注明则拒绝

2023-3-31 11:44:57
【中山大学2023】
1.png

          QQ图片20230331105942.png
二维码

扫码加我 拉你入群

请注明:姓名-公司-职位

以便审核进群资格,未注明则拒绝

2023-3-31 20:21:37
【中山大学2023】
QQ图片20230331201925.png


                  将第Ⅰ~Ⅳ象限积分区域内的积分分别标以$I_1~I_4$.

                    那么
                                 $\displaystyle I=I_1+I_2+I_3+I_4.$

                      而
                                  $\displaystyle I_1=\int_{0}^{1}dy\int_{0}^{1-y}\cos (x+y)dx=\sin 1+\cos 1-1.$
                                  $\displaystyle I_2=\int_{0}^{1}dy\int_{0}^{-1+y}\cos (x+y)dx=\cos 1-1.$
                                  $\displaystyle I_3=\int_{-1}^{0}dy\int_{-1-y}^{0}\cos (x+y)dx=\sin 1.$

                                   $\displaystyle I_4=\int_{-1}^{0}dy\int_{0}^{1+y}\cos (x+y)dx=1-\cos 1.$

                               $\displaystyle \therefore I=I_1+I_2+I_3+I_4=\sin 1+\cos 1-1+\cos 1-1+\sin 1+1-\cos 1=2\sin 1+\cos 1-2.$
                                 

二维码

扫码加我 拉你入群

请注明:姓名-公司-职位

以便审核进群资格,未注明则拒绝

栏目导航
热门文章
推荐文章

说点什么

分享

扫码加好友,拉您进群
各岗位、行业、专业交流群