全部版块 我的主页
论坛 经济学论坛 三区 微观经济学 经济金融数学专区
2023-3-31 21:28:37
【中山大学2023】
QQ图片20230331212740.png


                  此题也是出现过多次的考试题。设$\displaystyle P(x_0,y_0,z_0)$为所求满足要求的在椭圆面上的点,则过此点的切平面为
                                        $\displaystyle \frac{xx_0}{a^2}+\frac{yy_0}{b^2}+\frac{zz_0}{c^2}=1,$


                          此切平面与三坐标轴的交点为$\displaystyle \frac{a^2}{x_0},\frac{b^2}{y_0},\frac{c^2}{z_0}$.

                                 而在第一象限内该切平面与三坐标平面围成的体积为:
                                                    $\displaystyle V=\frac{1}{6}\cdot \frac{a^2b^2c^2}{x_0y_0z_0}.$

                                  要求该体积在切点为$\displaystyle P(x_0,y_0,z_0)$的条件下的最小值。为方便计算,可以用等价命题求下例函数的最大值。
                                                    $\displaystyle F(x,y,z)=xyz+\lambda (\frac{x^2}{a^2}+\frac{y^2}{b^2}+\frac{z^2}{c^2}-1),$

                                     用条件极值法求得结果。



                                             
                  
二维码

扫码加我 拉你入群

请注明:姓名-公司-职位

以便审核进群资格,未注明则拒绝

2023-4-1 07:42:50
【中山大学2023】
QQ图片20230401074057.png


                         添加一条直线使其与$L$成一个闭合区域,再利用梅林公式计算。

                                    $\displaystyle \frac{\partial P}{\partial y}=e^y\cos x,\frac{\partial Q}{\partial x}=e^{y}\cos x-2x.$

                                    $\begin{align*}I&=\int _Le^{y}\cos xdx+(e^y\sin x-x^2)dy\\\\&=\int_{0}^{a}dy\int_{0}^{\sqrt{ay-y^2}}(\frac{\partial Q}{\partial x}-\frac{\partial P}{\partial y})dx-0\\\\&=\int_{0}^{a}dy\int_{0}^{\sqrt{ay-y^2}}-2xdx\\\\&=-\int_{0}^{a}(ay-y^2)dy\\\\&=-\frac{1}{6}a^3.\end{align*}$
二维码

扫码加我 拉你入群

请注明:姓名-公司-职位

以便审核进群资格,未注明则拒绝

2023-4-1 07:43:36
【中山大学2023】
QQ图片20230401074130.png


              先用高斯公式,再移动坐标轴利用对称性计算
                            $\begin{align*}I&=\iint_\Sigma x^2dydz=\iiint_\Omega 2xdxdydz\\\\&=2\iiint_\Omega (x-1)dxdydz+2\iiint_\Omega dxdydz\\\\&=0+2\iiint_\Omega dxdydz=2\cdot \frac{4}{3}\pi\\\\&=\frac{8}{3}\pi.\end{align*}$



二维码

扫码加我 拉你入群

请注明:姓名-公司-职位

以便审核进群资格,未注明则拒绝

2023-4-1 21:06:32
【中山大学2023】
QQ图片20230401210553.png

证明
                      令
                               $\displaystyle \varphi (h,k)=f(x_0+h,y_0+k)-f(x_0+h,y_0)-f(x_0,y_0+k)+f(x_0,y_0),$

                                 $\displaystyle g(x)=f(x,y_0+k)-f(x,y_0),$

                       如此,由连续函数的中值定理,得
                                 $\begin{align*}\varphi (h,k)&=g(x_0+h)-g(x_0)=g'(x_0+\theta _1h)h\\\\&=(\frac{\partial f}{\partial x}(x_0+\theta _1h,y_0+k)-\frac{\partial f}{\partial x}(x_0+\theta _1h,y_0))h\\\\&=\frac{\partial^2f}{\partial y\partial x}(x_0+\theta _1h,y_0+\theta _2k)hk.\end{align*}$

                      由偏导数可微性可知连续,所以有
                                   $\displaystyle \underset{k\to0}{\lim_{h\to0}}\frac{\partial^2f}{\partial y\partial x}(x_0+\theta _1h,y_0+\theta _2k)hk=\frac{\partial^2f}{\partial y\partial x}(x_0,y_0).$

                      另一方面
                                   $\displaystyle \lim_{k\to0}\frac{\varphi (h,k)}{hk}=\lim_{k\to0}\frac{1}{h}(\frac{f(x_0+h,y_0+k)-f(x_0+h,y_0)}{k}-\frac{f(x_0,y_0+k)-f(x_0,y_0)}{k})=\frac{1}{h}(\frac{\partial f}{\partial y}(x_0+h,y_0)-\frac{\partial f}{\partial y}(x_0,y_0)).$

                       同样,由偏导数可微性,可知有
                                    $\displaystyle \lim_{h\to0}\frac{1}{h}(\frac{\partial f}{\partial y}(x_0+h,y_0)-\frac{\partial f}{\partial y}(x_0,y_0))=\frac{\partial^2f}{\partial y\partial x}(x_0,y_0).$

                          这说明
                                      $\displaystyle \frac{\partial^2f}{\partial x\partial y}(x_0,y_0)=\frac{\partial^2f}{\partial y\partial x}(x_0,y_0).$



二维码

扫码加我 拉你入群

请注明:姓名-公司-职位

以便审核进群资格,未注明则拒绝

2023-4-12 14:46:28
上海交通大学2022-2023数学分析I期末考试A卷
1.png


解:
                    由已知可得
                                             $\displaystyle x_n=\frac{1}{3^n}+\frac{1}{5^n}.$

                        从而有
                                             $\begin{align*}\overline{\lim_{n \to \infty }}\sqrt[n]{x_n}&=\overline{\lim_{n \to \infty }}\sqrt[n]{\frac{1}{3^n}+\frac{1}{5^n}}\\\\&=\frac{1}{3}\overline{\lim_{n \to \infty }}\sqrt[n]{1+(\frac{3}{5})^n}\\\\&=\frac{1}{3}\overline{\lim_{n \to \infty}}[1+(\frac{3}{5})^n]^{(\frac{5}{3})^n\cdot (\frac{3}{5})^n\cdot \frac{1}{n}}\\\\&=\frac{1}{3}\overline{\lim_{n \to \infty}}e^{ (\frac{3}{5})^n\cdot \frac{1}{n}}\\\\&=\frac{1}{3}.\end{align*}$
                       而
                                            $\begin{align*}\overline{\lim_{n \to \infty }}\frac{x_{n+1}}{x_n}&=\overline{\lim_{n \to \infty }}\frac{\frac{1}{3^{n+1}}+\frac{1}{5^{n+1}}}{\frac{1}{3^n}+\frac{1}{5^n}}\\\\&=\frac{1}{3}\overline{\lim_{n \to \infty }}\frac{1+(\frac{3}{5})^{n+1}}{1+(\frac{3}{5})^{n}}\\\\&=\frac{1}{3}.\end{align*}$

                           同理有
                                             $\displaystyle \underset{n \to \infty}{\underline{\lim}}\frac{x_{n+1}}{x_n}=\frac{1}{3}.$

                     显然级数收敛,且值为
                                             $\displaystyle \sum_{n=1}^{\infty }x_n=\sum_{n=1}^{\infty }\frac{1}{3^n}+\sum_{n=1}^{\infty }\frac{1}{5^n}=\frac{1}{2}+\frac{1}{4}=\frac{3}{4}.$




二维码

扫码加我 拉你入群

请注明:姓名-公司-职位

以便审核进群资格,未注明则拒绝

2023-4-12 15:55:23
上海交通大学2022-2023数学分析I期末考试A卷
QQ图片20230412155357.png

解:
                           $\displaystyle \because |\sum \sin \frac{n\pi}{4}|=\lim_{n \to \infty }|\sum_{i=1}^{n}\sin \frac{i\pi}{4}|=\lim_{n \to \infty }|\frac{\cos \frac{\pi}{8}-\cos (n+\frac{1}{2})\frac{\pi}{4}}{2\sin \frac{\pi}{8}}|\leq \frac{1}{\sin \frac{\pi}{8}}.$

                     有界。而当$n\to \infty$时
                               $\displaystyle (\sqrt{n+1}-\sqrt{n})^\alpha =\frac{1}{(\sqrt{n+1}+\sqrt{n})^\alpha }\downarrow \to 0.\alpha > 0,$

                                 $\displaystyle (\sqrt{n+1}-\sqrt{n})^\alpha =\frac{1}{(\sqrt{n+1}+\sqrt{n})^\alpha }\neq 0.\alpha \leq 0,$

                        因此,由Dirichlet判别法,当$\displaystyle \alpha > 0$时,级数收敛。



二维码

扫码加我 拉你入群

请注明:姓名-公司-职位

以便审核进群资格,未注明则拒绝

2023-4-12 15:57:45
上海交通大学2022-2023数学分析I期末考试A卷
QQ图片20230412155617.png


                     由于
                                $\displaystyle \sum_{k=1}^{n}(-1)^{k+1}(\frac{1}{u_k}+\frac{1}{u_{k+1}})=\begin{cases}
\frac{1}{u_1}-\frac{1}{u_{n+1}} &,k=2,4,6,\cdots n \\
\frac{1}{u_1}+\frac{1}{u_{n+1}} &, k=1,3,5,\cdots n
\end{cases}$

                       再者
                               $\displaystyle \because \lim_{n \to \infty }\frac{n}{u_n}=1,$

                                $\displaystyle \therefore \lim_{n \to \infty }\frac{1}{u_n}=\lim_{n \to \infty }\frac{1}{n}=0.$

                                $\displaystyle \Rightarrow \sum_{k=1}^{n}(-1)^{k+1}(\frac{1}{u_k}+\frac{1}{u_{k+1}})=\frac{1}{u_1}.$

                  级数收敛。


二维码

扫码加我 拉你入群

请注明:姓名-公司-职位

以便审核进群资格,未注明则拒绝

2023-4-12 15:58:31
上海交通大学2022-2023数学分析I期末考试A卷
QQ图片20230412155641.png

证明
                     函数在$x=1$点泰勒展开
                                   $\displaystyle f(x)=f(1)+f'(1)(x-1)+\frac{1}{2}f''(\xi)(x-1)^2,$

                            两边积分
                                     $\displaystyle \int_{0}^{2}f(x)dx=\int_{0}^{2}f'(1)(x-1)dx+\int_{0}^{2}\frac{1}{2}f''(\xi)(x-1)^2dx,$

                             等式两边取绝对值
                                       $\begin{align*}|\int_{0}^{2}f(x)dx|&=|\int_{0}^{2}f'(1)(x-1)dx+\int_{0}^{2}\frac{1}{2}f''(\xi)(x-1)^2dx|\\\\&\leq |\int_{0}^{2}f'(1)(x-1)dx|+|\int_{0}^{2}\frac{1}{2}f''(\xi)(x-1)^2dx|\\\\&= |\int_{0}^{2}\frac{1}{2}f''(\xi)(x-1)^2dx|\\\\&=\frac{M}{6}|(x-1)^3|_0^2|\\\\&=\frac{M}{3}.\end{align*}$




二维码

扫码加我 拉你入群

请注明:姓名-公司-职位

以便审核进群资格,未注明则拒绝

2023-4-13 06:54:29
上海交通大学2022-2023数学分析I期末考试A卷
1.png

证明
                    不妨用反证法。假设$\displaystyle f(x)\not\equiv 0.$

                             $\displaystyle \because \varphi (x)=f(x)\int_{0}^{x}f(t)dt,\downarrow $

                                $\displaystyle \therefore \varphi' (x)=f'(x)\int_{0}^{x}f(t)dt+f^2(x)\leq 0,$

                           即有
                                  $\displaystyle f'(x)\int_{0}^{x}f(t)dt\leq -f^2(x),$

                            考察上述不等式在$x=0$时的情况,
                                                 $\displaystyle f'(0)\int_{0}^{0}f(t)dt\leq -f^2(0),$

                                    由此而得到
                                                         $\displaystyle 0\leq -f^2(0)< 0.$

                                 这显然是矛盾的,所以假设不合理。命题成立。



二维码

扫码加我 拉你入群

请注明:姓名-公司-职位

以便审核进群资格,未注明则拒绝

2023-4-13 06:54:54
上海交通大学2022-2023数学分析I期末考试A卷
2.png


          1、
                          因为
                                           $\displaystyle |\frac{x^q\cos x}{1+x^p}|\leq |\frac{x^q}{1+x^p}|\sim \frac{1}{x^{p-q}},x\to+\infty .$

                                所以有当$\displaystyle p-q> 1$时,由比较判别法知原积分绝对收敛。

                           又因为
                                            $\displaystyle \frac{x^q\cos x}{1+x^p}=\frac{x^q}{1+x^p}-\frac{2x^q\sin ^2\frac{x}{2}}{1+x^p},$

                                    而
                                                $\displaystyle \frac{x^q}{1+x^p}\sim \frac{1}{x^{p-q}},x\to+\infty .$

                                     所以当$\displaystyle p-q\leq 1$时,原积分发散。


          2、                           首先有
                                                $\displaystyle \int_{a}^{a+nT}f(x)dx=\underset{n}{\underbrace{\int_{a}^{a+T}+\int_{a+T}^{a+2T}+\cdots \int_{a+(n-1)T}^{a+nT}}}f(x)dx.$

                                 由
                                                $\displaystyle \because \int_{a}^{a+T}f(x)dx=\int_{0}^{T}f(x)dx,$

                                                 $\displaystyle \therefore \int_{a}^{a+nT}f(x)dx=n\int_{0}^{T}f(x)dx,$

                             利用此结论,计算
                                                                                                       $\begin{align*}\int_{0}^{n\pi}\sqrt{1+\sin2x}dx&=n\int_{0}^{\pi}\sqrt{1+\sin2x}dx=n\int_{0}^{\pi}|\sin x+\cos x|dx\\\\&=n(\int_{0}^{\frac{3\pi}{4}}(\sin x+\cos x)dx-\int_{\frac{3\pi}{4}}^{\pi}(\sin x+\cos x)dx)\\\\&=2n\sqrt{2}.\end{align*}$


二维码

扫码加我 拉你入群

请注明:姓名-公司-职位

以便审核进群资格,未注明则拒绝

2023-4-13 06:55:19
上海交通大学2022-2023数学分析I期末考试A卷
3.png

   1、证明
                              令:$\displaystyle D:[a,b]^2,$

                              则
                                         $\displaystyle \forall x,y\in[a,b],s.t.$

                                         $\displaystyle \iint_Df(x)g(y)dxdy=\int_{a}^{b}f(x)dx\int_{a}^{b}g(x)dx=\iint_Df(y)g(x)dxdy,$

                                          $\displaystyle \iint_Df(x)g(x)dxdy=(b-a)\int_{a}^{b}f(x)g(x)dx=\iint_Df(y)g(y)dxdy,$

                               又,
                                           $\displaystyle \forall x,y\in[a,b],f(x)g(x)+f(y)g(y)\geq f(y)g(x)+f(x)g(y),$

                                 两边积分,得
                                            $\displaystyle \iint_Df(x)g(x)dxdy+\iint_Df(y)g(y)dxdy\geq \iint_Df(y)g(x)dxdy+\iint_Df(x)g(y)dxdy,$
                                  即有      
                                       $\displaystyle 2\iint_Df(x)g(x)dxdy=2(b-a)\int_{a}^{b}f(x)g(x)dx\geq 2\iint_Df(y)g(x)dxdy=2\int_{a}^{b}f(x)dx\int_{a}^{b}g(x)dx.$

                                              $\displaystyle \therefore \int_{a}^{b}f(x)dx\int_{a}^{b}g(x)dx\leq (b-a)\int_{a}^{b}f(x)g(x)dx.$
  2、
             由已知,得
                                           $\displaystyle a_{n+1}=a_n^2-a_n+1,\Rightarrow a_{n+1}-1=a_n^2-a_n=a_n(a_n-1),$

                                                $\displaystyle \therefore \frac{1}{a_{n+1}-1}=\frac{1}{a_n-1}-\frac{1}{a_n},$

                            即有
                                               $\displaystyle \frac{1}{a_n}=\frac{1}{a_n-1}-\frac{1}{a_{n+1}-1},$

                            于是,得
                                                $\displaystyle \sum_{n=1}^{\infty}\frac{1}{a_n}=\lim_{n \to \infty }\sum_{k=1}^{n}\frac{1}{a_k}=\lim_{n \to \infty }\sum_{k=1}^{n}(\frac{1}{a_k-1}-\frac{1}{a_{k+1}-1})=\lim_{n \to \infty }(\frac{1}{a_1-1}-\frac{1}{a_n-1}),$

                                 又
                                             $\displaystyle \because a_{n+1}-a_n=a_n^2-2a_n+1=(a_n-1)^2> 0,$

                                                 $\displaystyle \therefore a_n\uparrow ,\to\infty(n\to\infty),$

                                    得
                                                  $\displaystyle \lim_{n \to \infty }\frac{1}{a_n-1}=0.$

                              最后,有
                                                   $\displaystyle \sum_{n=1}^{\infty}\frac{1}{a_n}=\frac{1}{a_1-1}.$



二维码

扫码加我 拉你入群

请注明:姓名-公司-职位

以便审核进群资格,未注明则拒绝

2023-4-22 15:37:18
西北大学2021数学分析
1.png

证明
           1、用归纳法即可得到证明。

           2、由1、可知数列有界。同样 由已知$x_{n+1}=x_n(2-cx_n)\leq x_n$,可知数列单调。的以数列收敛。

                       可设$\lim_{n\to\infty}x_n=l.$
                    
                        则
                                $l=l(2-cl)$

                           得
                                    $l=0,l=\frac{1}{c}.$

                                    $l=0$舍去。所以
                                                 $\lim_{n\to\infty}x_n=\frac{1}{c}.$



二维码

扫码加我 拉你入群

请注明:姓名-公司-职位

以便审核进群资格,未注明则拒绝

2023-4-22 15:37:54
西北大学2021数学分析
2.png

证明
                         由已知条件,可知
                                     $\displaystyle\because f'(x)\uparrow ,\Rightarrow f''(x)\geq 0.$

                         利用泰勒展开,有
                                    $\begin{align*}F(x)-F(0)&=\frac{f(x)}{x}-f'(0)=\frac{f(x)-xf'(0)}{x}\\\\&=\frac{f(0)+xf'(0)+\frac{1}{2}x^2f''(\xi)-xf'(0)}{x}\\\\&=\frac{1}{2}xf''(\xi)\geq 0.(\xi\in(0,x))\end{align*}$

                           因此,函数$F(x)$在$[0,+\infty)$上递增。
二维码

扫码加我 拉你入群

请注明:姓名-公司-职位

以便审核进群资格,未注明则拒绝

2023-4-22 15:38:26
西北大学2021数学分析
3.png


                      由 $\displaystyle x^3+y^3+z^3=3xyz,$

                       $\displaystyle \Rightarrow 3x^2+3z^2\frac{\partial z}{\partial x}=3yz+3xy\frac{\partial z}{\partial x},$

                          $\displaystyle \therefore \frac{\partial z}{\partial x}=\frac{x^2-yz}{xy-z^2}.$

                       由$\displaystyle u=x^3y^2z^2,$并将上述结果代入,得

                             $\displaystyle \Rightarrow \frac{\partial u}{\partial x}=3x^2y^2z^2+2x^2y^2z\frac{\partial z}{\partial x}=3x^2y^2z^2+2x^2y^2z\cdot \frac{x^2-yz}{xy-z^2}.$
二维码

扫码加我 拉你入群

请注明:姓名-公司-职位

以便审核进群资格,未注明则拒绝

2023-4-22 15:38:59
西北大学2021数学分析
4.png

证明
                          令
                                $\displaystyle F(x,y)=x^p+y^p-\lambda (x+y-a),$

                                  $\displaystyle F'_x=px^{p-1}-\lambda=0 ,$

                                    $\displaystyle F'_y=py^{p-1}-\lambda=0 ,$

                                    $\displaystyle F'_\lambda=x+y-a=0.$

                                       $\displaystyle \Rightarrow \lambda =p(\frac{a}{2})^{p-1}.$

                                             $\displaystyle x=y=(\frac{\lambda }{p})^{\frac{1}{p-1}}=\frac{a}{2}.$

                               则有
                                            $\displaystyle F_\min=2(\frac{a}{2})^p.$

                                          $\displaystyle \Rightarrow \frac{x^p+y^p}{2}\geq (\frac{a}{2})^p=(\frac{x+y}{2})^p.$


二维码

扫码加我 拉你入群

请注明:姓名-公司-职位

以便审核进群资格,未注明则拒绝

2023-4-22 20:30:22
西北大学2021数学分析
1.png


                   由于
                               $\displaystyle \frac{\partial Q}{\partial x}=\frac{\partial P}{\partial y}=\frac{-xy}{(x^2+y^2)^\frac{3}{2}},$

                     因此积分与路径无关。

                                $\displaystyle I=\int_{(1,0)}^{(6,8)}\frac{xdx+ydy}{\sqrt{x^2+y^2}}=(\int_{(1,0)}^{(6,0)}+\int_{(6,0)}^{(6,8)})\frac{xdx+ydy}{\sqrt{x^2+y^2}}=5+\sqrt{6+y^2}|_0^8=5+\sqrt{70}-\sqrt{6}.$



二维码

扫码加我 拉你入群

请注明:姓名-公司-职位

以便审核进群资格,未注明则拒绝

2023-4-22 20:30:56
西北大学2021数学分析
2.png


              添加一个平面$z=m$,方向向上。利用高斯公式
                         $\begin{align*}I&=\iint_\Sigma x^2dydz+y^2dzdx+z^2dxdy\\\\&=\iint_{\Sigma+z=m}x^2dydz+y^2dzdx+z^2dxdy-\iint_{z=m}m^2dxdy\\\\&=\iiint_\Omega 2(x+y+z)dxdydz-\pi m^4\\\\&=2\int_{0}^{m}dz\int_{0}^{2\pi}d\theta \int_{0}^{z}zrdr-\pi m^4\\\\&=2\pi\int_{0}^{m}z^3dz-\pi m^4\\\\&=\frac{1}{2}\pi m^4-\pi m^4\\\\&=-\frac{1}{2}\pi m^4.\end{align*}$


二维码

扫码加我 拉你入群

请注明:姓名-公司-职位

以便审核进群资格,未注明则拒绝

2023-4-22 20:31:29
西北大学2021数学分析
3.png

证明
           1、由于
                                     $\displaystyle |\frac{\cos xy}{1+x^2}|\leq \frac{1}{1+x^2},$

                              而
                                          $\displaystyle \int_{1}^{+\infty }\frac{1}{1+x^2}dx< \infty ,$

                         由Weierstrass判别法,对于$\displaystyle y\in(-\infty ,+\infty )$,积分$\displaystyle \int_{1}^{+\infty }\frac{\cos xy}{1+x^2}dx$一致收敛。

           2、由上面的结论,对于$\displaystyle y\in(-\infty ,+\infty )$,$\displaystyle f(y)$一致收敛。从而由一致收敛定理可知$f(y)$连续。再由连续函数性质,$\displaystyle f(y)$一致连续。



                                          
二维码

扫码加我 拉你入群

请注明:姓名-公司-职位

以便审核进群资格,未注明则拒绝

2023-4-22 20:32:06
西北大学2021数学分析
4.png
二维码

扫码加我 拉你入群

请注明:姓名-公司-职位

以便审核进群资格,未注明则拒绝

2023-4-25 13:35:21
浙江大学2023年数学分析考研题
1.png

解:
                          $\begin{align*}\int_{0}^{\frac{\pi}{2}}\frac{d\theta }{1+\tan ^{2023}\theta }&=\int_{0}^{\frac{\pi}{2}}\frac{\cos ^{2023}\theta d\theta }{\cos ^{2023}\theta +\sin ^{2023}\theta }\\\\&\overset{t=\frac{\pi}{2}-\theta }{=}\int_{0}^{\frac{\pi}{2}}\frac{\sin ^{2023}\theta d\theta }{\cos ^{2023}\theta +\sin ^{2023}\theta }\\\\&=\frac{1}{2}\int_{0}^{\frac{\pi}{2}}\frac{\cos ^{2023}\theta +\sin ^{2023}\theta }{\cos ^{2023}\theta +\sin ^{2023}\theta }d\theta\\\\&=\frac{\pi}{4}.\end{align*}$



二维码

扫码加我 拉你入群

请注明:姓名-公司-职位

以便审核进群资格,未注明则拒绝

2023-4-25 13:50:51
浙江大学2023年数学分析考研题
1.png


               $\displaystyle I=\lim_{x\to0}\frac{e^{\sin x}-e^{\arcsin x}}{x^3}=\lim_{x\to0}\frac{\sin x-\arcsin x}{x^3}=\lim_{x\to0}\frac{x-\frac{1}{3!}x^3-x-\frac{1}{6}x^3+o(x^3)}{x^3}=\frac{1}{3}.$



二维码

扫码加我 拉你入群

请注明:姓名-公司-职位

以便审核进群资格,未注明则拒绝

2023-4-25 14:05:04
浙江大学2023年数学分析考研题
1.png


                     由于被积函数在原点无连续偏导数,因此要挖去原点。可作包含原的充分小的圆
                                          $\displaystyle \Gamma ':x^2+y^2=\varepsilon ^2.(\varepsilon > 0)$

                          又由已知积分,可知有
                                       $\displaystyle \frac{\partial P}{\partial y}=\frac{\partial Q}{\partial x}=\frac{x^2-2xy-y^2}{(x^2+y^2)^2}.$

                           由此知积分在小圆外区域积分为零。从而
                                       $\begin{align*}I&=\oint _{\Gamma} \frac{(x+y)dx+(y-x)dy}{x^2+y^2}\\\\&=\frac{1}{\varepsilon ^2}\oint_{\Gamma '}(x+y)dx+(y-x)dy+\oint _{\Gamma/\Gamma '} \frac{(x+y)dx+(y-x)dy}{x^2+y^2}\\\\&=\frac{1}{\varepsilon ^2}\oint_{\Gamma '}(x+y)dx+(y-x)dy+0\\\\&=-\frac{2}{\varepsilon ^2}\iint_{D'} dxdy\\\\&=-\frac{2}{\varepsilon ^2}\cdot \pi \varepsilon ^2\\\\&=-2\pi.\end{align*}$


二维码

扫码加我 拉你入群

请注明:姓名-公司-职位

以便审核进群资格,未注明则拒绝

2023-4-25 14:05:30
浙江大学2023年数学分析考研题
2.png


             首先
                       $\displaystyle \sum_{n=1}^{\infty }\frac{n(n+2023)}{2^{n+2022}}=\frac{1}{2^{2022}}\sum_{n=1}^{\infty }\frac{n^2}{2^n}+\frac{2023}{2^{2022}}\sum_{n=1}^{\infty }\frac{n+1}{2^n}-\frac{2023}{2^{2022}}\sum_{n=1}^{\infty }\frac{1}{2^n}.$

                      $\displaystyle \because f(x)=\sum_{n=1}^{\infty }\frac{n^2}{x^n}=\frac{x(x+1)}{(1-x)^3},$

                           令$\displaystyle x=\frac{1}{2},$

                                 $\displaystyle \therefore \sum_{n=1}^{\infty }\frac{n^2}{2^n}=\frac{\frac{1}{2}\cdot \frac{3}{2}}{\frac{1}{2^3}}=6.$

                           又
                                 $\displaystyle \because \sum_{n=1}^{\infty }(n+1)x^n=(\sum_{n=1}^{\infty }x^{n+1})'=(\frac{x^2}{1-x})'=\frac{2x(1-x)+x^2}{(1-x)^2}=\frac{2x-x^2}{(1-x)^2}.$

                            令$\displaystyle x=\frac{1}{2},$

                                     $\displaystyle \therefore \sum_{n=1}^{\infty }\frac{n+1}{2^n}=\frac{1-\frac{1}{4}}{\frac{1}{4}}=3.$

                             而
                                      $\displaystyle \sum_{n=1}^{\infty }\frac{1}{2^n}=\frac{\frac{1}{2}}{1-\frac{1}{2}}=1.$

                            因此有
                                      $\displaystyle \sum_{n=1}^{\infty }\frac{n(n+2023)}{2^{n+2022}}=\frac{1}{2^{2022}}\cdot 6+\frac{2023}{2^{2022}}\cdot 3-\frac{2023}{2^{2022}}=\frac{4052}{2^{2022}}.$


二维码

扫码加我 拉你入群

请注明:姓名-公司-职位

以便审核进群资格,未注明则拒绝

2023-4-26 09:22:46
浙江大学2023年数学分析考研题
1.png

证明
                 函数$f(x)$在$[a,b]$上连续,所以 函数$f(x)$在$[a,b]$上一致连续,因此有
                                    $\displaystyle\forall \varepsilon > 0,\forall x,y\in[a,b],\exists \delta > 0,|x-y|< \delta ,s.t.$

                                        $\displaystyle |f(x)-f(y)|< \frac{\varepsilon }{b-a}.$

                    对积分区间作一个分割:
                                          $\displaystyle T:a=x_0< x_1< \cdots < x_n=b,$

                            计算积分的Riemann和:($\displaystyle \omega _i$为函数的振幅)                                               
                                          $\displaystyle \sum_{i=1}^{n}\omega _i(x_i-x_{i-1})\leq \frac{\varepsilon }{b-a}\sum_{i=1}^{n}(x_i-x_{i-1})=\frac{\varepsilon }{b-a}\cdot (b-a)=\varepsilon .$




二维码

扫码加我 拉你入群

请注明:姓名-公司-职位

以便审核进群资格,未注明则拒绝

2023-4-26 09:23:28
浙江大学2023年数学分析考研题
2.png

证明
              先找到这个实数列的最大项(或最小项),作为所先子列的第一项,然后在余下的实数列中再找到其最大项(或最小项)作为子列的第二项,重复以上过程,找到子列的第三项,等等,用相同的方法,一直进行下去,即一定可找到至少一个单调的降(升)子列。因此命题成立。



二维码

扫码加我 拉你入群

请注明:姓名-公司-职位

以便审核进群资格,未注明则拒绝

2023-4-26 11:45:01
浙江大学2023
1.png

证明
                 由泰勒展开公式,函数在$x=0$的展开式为
                                  $\displaystyle f(x)=f(0)+f'(0)x+\frac{1}{2!}f''(0)x^2+\frac{1}{3!}f'''(\xi)x^3.$

                         将$\displaystyle x=1,-1$分别代入上面的展开式,得

                                                $\displaystyle 1=f(0)+0+\frac{1}{2!}f''(0)+\frac{1}{3!}f'''(\xi_1),\xi_1\in(0,1)$

                                                 $\displaystyle 0=f(0)+0+\frac{1}{2!}f''(0)-\frac{1}{3!}f'''(\xi_2),\xi_2\in(-1,0)$

                        于是,两式相减,得
                                                              $\displaystyle f''(\xi_1)+f''(\xi_2)=6.$
                            由此可知,两者之中必有一个$f'''(x)\geq 3$,也必有一个$f'''(x)\leq 3$.而

                                  又因为$f'''(x)$连续,故由连续函数的介值定理[由本题条件,此处也可用导数介值定理],得

                                                $\displaystyle \exists \xi\in(\xi_1,\xi_2)\subset (-1,1),s.t.f'''(\xi)=3.$


              注:本题条件很强,根据导数介值定理(达布定理)只要函数三阶可微即可,而不必要三阶连续可微。





二维码

扫码加我 拉你入群

请注明:姓名-公司-职位

以便审核进群资格,未注明则拒绝

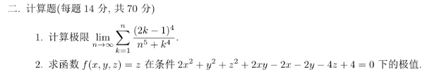
2023-4-22 08:58:12
兰州大学2022
1.png


      1、正确。因为
                    $\displaystyle\lim_{n \to \infty }\prod_{k=1}^{n}x_k^{\frac{1}{n}}=\exp (\lim_{n \to \infty }\frac{\displaystyle\sum_{k=1}^{n}\ln x_k}{n})=\exp (\lim_{n \to \infty }\ln x_n)=\lim_{n \to \infty }x_n=1.$

      2、不一定。这从左右导数的定义,有
                             $\displaystyle\lim_{x\to x_0+}f(x)-f(x_0)\to0,\lim_{x\to x_0-}f(x)-f(x_0)\to0,$

                       所以,函数左右连续,但不能确定与$f(x_0)$的关系。

       3、正确。
                         $\displaystyle\because \forall \varepsilon > 0,\exists N,n> N,a^2< \varepsilon .a^3< a^2< \varepsilon .$

                          $\displaystyle\because \sum_{n=1}^{\infty }a^3< \sum_{n=1}^{\infty }a^2< \infty .$

       4、不一定。反例:                                                        $\displaystyle f(x,y)=\begin{cases}
(x^2+y^2) \sin \frac{1}{\displaystyle x^2+y^2} ,&x^2+y^2\neq 0 \\
0 ,&x^2+y^2= 0
\end{cases}$


                   显然
                                  $\displaystyle f_x(0,0)=\lim_{x\to0}\frac{f(x,0)-f(0,0)}{x-0}=\lim_{x\to0}\frac{x^2\sin \frac{1}{x^2}-0}{x-0}=0,$
                                   $\displaystyle f_y(0,0)=\lim_{y\to0}\frac{f(0,y)-f(0,0)}{y-0}=\lim_{y\to0}\frac{y^2\sin \frac{1}{y^2}-0}{y-0}=0,$
                     则
                                     $\displaystyle df(0,0)=f_x(0,0)dx+f_y(0,0)dy=0=df(x,y)|_{(0,0)}.$
                           函数在点可微。而
                                       $\displaystyle f_x(x,y)=2x\sin \frac{1}{x^2+y^2}-\frac{2x}{x^2+y^2}\cos \frac{1}{x^2+y^2},$

                               令$y=x\to0,$此时
                                            $\displaystyle f_x(x,y)=2x\sin \frac{1}{2x^2}-\frac{2x}{2x^2}\cos \frac{1}{2x^2},$

                                      不存在;同理$f_y(x,y)$也不存在。由此,在原点偏导数不连续。



二维码

扫码加我 拉你入群

请注明:姓名-公司-职位

以便审核进群资格,未注明则拒绝

2023-4-22 08:58:44
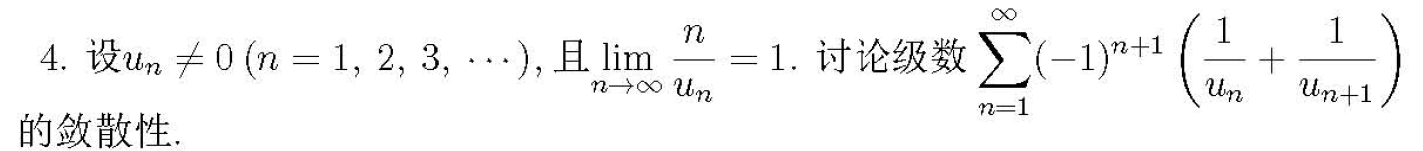
兰州大学2022
2.png

1、解
                首先
                                     $\displaystyle \because \frac{1}{n^5+n^4}< \frac{1}{n^5+k^4}< \frac{1}{n^5+1},$

                        而
                                      $\displaystyle \sum_{k=1}^{n}k^4=\frac{1}{30}n(n+1)(2n+1)(3n^2+2n-1),$

                        因此,得
                                        $\displaystyle \therefore \sum_{k=1}^{n}(2k-1)^4=\sum_{k=1}^{2n}k^4- \sum_{k=1}^{n}(2k)^4=\frac{1}{30}2n(2n+1)(4n+1)(12n^2+4n-1)-2^4\cdot \frac{1}{30}n(n+1)(2n+1)(3n^2+2n-1).$

                      由上面的不等式,可知有
                                         $\displaystyle \frac{16}{5}=\frac{\sum_{k=1}^{n}(2k-1)^4}{n^5+n^4}< \sum_{k=1}^{n}\frac{(2k-1)^4}{n^5+k^4}< \frac{\sum_{k=1}^{n}(2k-1)^4}{n^5+1}=\frac{16}{5},(n \to \infty )$
                                    $\displaystyle \therefore \lim_{n \to \infty } \sum_{k=1}^{n}\frac{(2k-1)^4}{n^5+k^4}=\frac{16}{5}.$

2、解
                  此题可以用非正常思路。首先由条件,
                               $\displaystyle (z-2)^2=-2x^2-y^2-2xy+2x+2y,$

                         设
                                   $\displaystyle f(x,y)=-2x^2-y^2-2xy+2x+2y,$

                       求奇点
                                     $\displaystyle f_x(x,y)=-4x-2y+2=0,$

                                       $\displaystyle f_y(x,y)=-2x-2y+2=0,$
                              解之得
                                           $\displaystyle x=0,y=1.$

                                可以判别此即为函数$f(x,y)$的最大值,
                                          $\displaystyle f_{\Max}=1,\Rightarrow z=3.$

                                     也是$\displaystyle f(x,y,z)=z$的最大值。




二维码

扫码加我 拉你入群

请注明:姓名-公司-职位

以便审核进群资格,未注明则拒绝

2023-4-24 15:06:07
兰州大学2022
1.png


                    $\begin{align*}I&=\iiint_\Omega x^2dxdydz=\iint_D x^2dxdy\int_{1+x^2+y^2}^{2(x^2+y^2)}dz\\\\&=\int_{0}^{2\pi}\cos^2 \theta d\theta \int_{0}^{1}r^2(r^2-1)rdr\\\\&=\int_{0}^{2\pi}\cos^2 \theta (\frac{1}{6}-\frac{1}{4})d\theta \\\\&=\frac{1}{24}\int_{0}^{2\pi}(\cos 2\theta +1) d\theta\\\\&=\frac{\pi}{12}.\end{align*}$


二维码

扫码加我 拉你入群

请注明:姓名-公司-职位

以便审核进群资格,未注明则拒绝

2023-4-24 15:06:38
兰州大学2022
2.png


                      $\begin{align*}I'(t)&=\int_{1}^{+\infty }\frac{1}{x(1+t^2x^2)\sqrt{x^2-1}}dx\\\\&\overset{x=\sec u}{=}\int_{0}^{\frac{\pi}{2} }\frac{\sec u\tan u}{\sec u(1+t^2\sec^2u)\tan u}du\\\\&\overset{y=\sec u}{=}\int_{0}^{+\infty }\frac{1}{1+t^2(1+y^2)}\cdot \frac{1}{1+y^2}dy\\\\&=\int_{0}^{+\infty }(\frac{1}{1+y^2}-\frac{t^2}{1+t^2+t^2y^2})dy\\\\&=\frac{\pi}{2}(1-\frac{|t|}{\sqrt{1+t^2}}).\end{align*}$

           所以有
                         $\displaystyle I(t)=I(0)+\int_{0}^{t}I'(x)dx=\frac{\pi}{2}(1+|t|-\sqrt{1+t^2})\sgn(t).$
二维码

扫码加我 拉你入群

请注明:姓名-公司-职位

以便审核进群资格,未注明则拒绝

栏目导航
热门文章
推荐文章

说点什么

分享

扫码加好友,拉您进群
各岗位、行业、专业交流群