经管之家App
让优质教育人人可得
立即打开
全部版块
我的主页
›
论坛
›
计量经济学与统计论坛 五区
›
计量经济学与统计软件
›
Stata专版
动态DID分析一定要用平衡面板数据吗?
楼主
周小悠
8736
4
收藏
2021-07-19
动态DID分析中,在进行平行qushi检验的时候,事件研究法绘制图形,本质就是将每年的被解释变量的平均值连成线,然后看改革前有没有包含0。那么如果原始数据是非平衡面板数据,一定要丢弃缺失的样本,改用平衡面板数据吗?
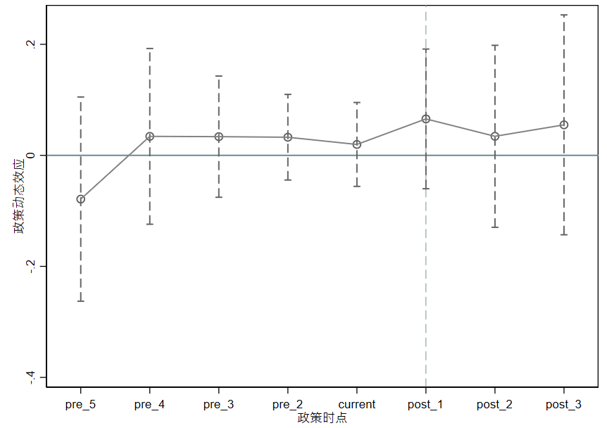
另外,平行趋势检验的时候,去掉一期数据,会导致平行趋势的结果发生很大的改变,如下所示,前面将pre_5作为基准期,后面将pre_1作为基准期。很显然前面无法通过平行趋势检验,但是后面通过平行趋势检验。
扫码加我 拉你入群
请注明:姓名-公司-职位
以便审核进群资格,未注明则拒绝
全部回复
沙发
周小悠
2021-7-19 17:14:26
是不是我对平行趋势检验的图形绘制理解错了?
扫码加我 拉你入群
请注明:姓名-公司-职位
以便审核进群资格,未注明则拒绝
藤椅
917968079
2021-7-19 19:04:14
周小悠 发表于 2021-7-19 17:14
是不是我对平行趋势检验的图形绘制理解错了?
你的理解是有问题,平行趋势检验就相当于做n个两期的DID,图中画的是系数和置信区间。政策实施前不显著就可以认为是通过了平行趋势检验。
扫码加我 拉你入群
请注明:姓名-公司-职位
以便审核进群资格,未注明则拒绝
板凳
WenchingZ
2021-9-12 11:09:53
虽然通过了平行趋势检验,但是政策实行之后的效果不显著,说明不存在政策效应
扫码加我 拉你入群
请注明:姓名-公司-职位
以便审核进群资格,未注明则拒绝
报纸
亚古兽进化
2022-5-1 09:46:17
两个疑惑哈:1)图1也不是以pre5为基准啊,以它为基准它都不应该在图里 2)你这俩图虽然pre阶段置信区间包含零,但是current后也没跳出0啊,政策效应都没有吖,你见过哪个paper画系数图处理效应在current后可以允许它的置信区间还包含零,不说每一期都跳出0,但至少current后的大部分趋势是跳出0的吧,你这样的图如果再配上结果表中DID项系数显著,我很容易质疑你的结果可信度
扫码加我 拉你入群
请注明:姓名-公司-职位
以便审核进群资格,未注明则拒绝
相关推荐
问一个比较简单的面板整理的问题
面板数据中如何确定某个个体出现了几次?
求助,当被问及为什么使用平衡面板数据时,怎么回答
需要做DID差分,但政策对个体的影响发生在不同时期,如何处理n
平衡面板数据如何随机抽取10%的样本并且不破坏平衡面板
公司-年度观测值在面板数据中是否就是以为着是平衡面板?
一个是否要求数据为平衡面板数据的问题
平衡面板数据的缺失值如何补齐?
平衡面板数据样本划分问题,求黄河泉老师翻牌赐代码,万分感谢!!
平衡面板数据求连续三个数的均值
栏目导航
Stata专版
经管文库(原现金交易版)
经管在职研
一带一路
行业分析报告
真实世界经济学(含财经时事)
热门文章
CDA数据分析脱产就业班于2026年3月7日开班! ...
癌症·真相:医生也在读(菠萝)
脑机接口行业深度报告:顶层战略支持,国产 ...
天堂的证据(〔美〕埃本·亚历山大)
半导体行业分析手册之二:混合键合设备,AI ...
芜湖造船厂为我国高端船舶制造自主创新再添 ...
表格结构数据特征与CDA数据分析师:精准适配 ...
CDA 认证考试大纲 2025 重磅更新:一二级考 ...
在概率与代码之间:Agent Skills 是 AI 的枷 ...
新宏观丨豆包,传统经济学与商学对全球性债 ...
推荐文章
2026JG学术冬训营:从Stata初高到Python机器 ...
【必看】【本版版规,欢迎发悬赏贴求助】
【新课】26年3月|Gemini辅助论文写作与数据 ...
关于如何利用文献的若干建议
关于学术研究和论文发表的一些建议
关于科研中如何学习基础知识的一些建议 (一 ...
一个自编的经济学建模小案例 --写给授课本科 ...
AI智能体赋能教学改革: 全国AI教育教学应用 ...
2025中国AIoT产业全景图谱报告-406页
关于文献求助的一些建议
说点什么
分享
微信
QQ空间
QQ
微博
扫码加好友,拉您进群
各岗位、行业、专业交流群