全部版块 我的主页
论坛 提问 悬赏 求职 新闻 读书 功能一区 经管文库(原现金交易版)
890 2
2021-07-30
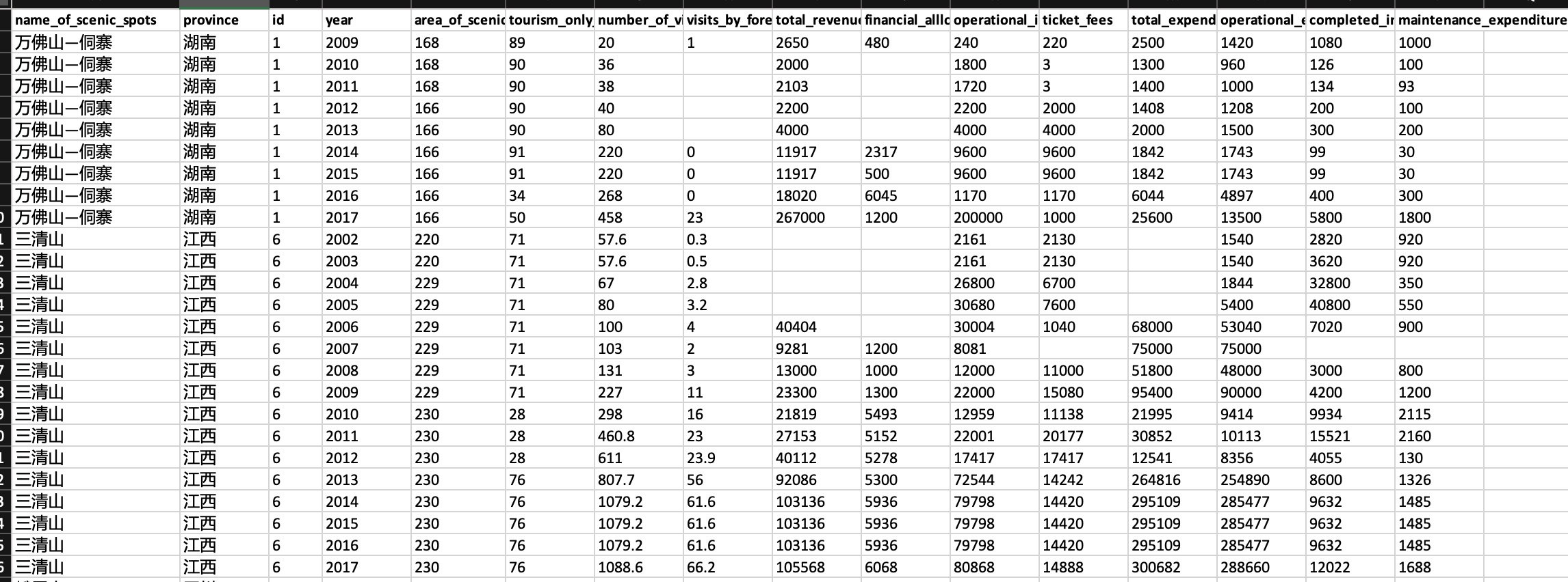
通过中国城市建设统计年鉴整理的国家级风景名胜区2002-2017年的统计数据,对省份、景点名称进行了统一清洗,用唯一的id进行标识每一个景区。整理后的面板数据是一份干净可用的研究数据,对于研究旅游经济、城市经济学的人会省掉整理和清洗数据的痛苦,节约很多无效时间。变量说明请查看"变量说明.xlsx",“sample.xlsx”提供了样本数据供参考。
national_scenic_spots_2002_2007.xlsx
大小:(304.62 KB)

只需: RMB 29元  马上下载

sample.xlsx
大小:(13.8 KB)

 马上下载

变量说明.xlsx
大小:(9.39 KB)

 马上下载


附件列表
1627612161909.jpg

原图尺寸 513.27 KB

数据截图

数据截图

二维码

扫码加我 拉你入群

请注明:姓名-公司-职位

以便审核进群资格,未注明则拒绝

全部回复
2021-7-31 10:10:36
请问这个只能用rmb下载吗?充会员可以下载吗
二维码

扫码加我 拉你入群

请注明:姓名-公司-职位

以便审核进群资格,未注明则拒绝

2021-8-1 21:26:07
亦行- 发表于 2021-7-31 10:10
请问这个只能用rmb下载吗?充会员可以下载吗
这个版块是充现金购买呢
二维码

扫码加我 拉你入群

请注明:姓名-公司-职位

以便审核进群资格,未注明则拒绝

相关推荐
栏目导航
热门文章
推荐文章

说点什么

分享

扫码加好友,拉您进群
各岗位、行业、专业交流群