全部版块 我的主页
论坛 经济学论坛 三区 制度经济学
3931 1
2021-10-05

阶梯式管理模式与循环式管理模式

-

根据笔者所编写的《一般管理学原理》,人类社会从原始集体到今天,总共出现了四种集体(包括国家)管理模式,分别的简称为:“单循式”“单阶式”阶循式“和”“双阶式”,依次对应的时期为:原始部落时期、奴隶制时期、封建制时期。其中资本主义与社会主义初级阶段是同一管理模式,即“双阶式”。从表面上看,虽然资本主义与社会主义初级阶段体制上不同,各自具体的管理策略和部门结构不同,但其根本都是以“双阶式”这个管理模式引生出来的。在历史已经出现的四大管理模式及发展的一般规律的基础上,笔者提出人类未来的管理模式“复循式”。

-

其中,“单循式”与“复循式”总称为循环式管理模式,其它的总称为阶梯式管理模式。下面我就概要的讲述一下这两种管理模式在动作过程中的一般特征。

-

阶梯式管理模式——阶梯式管理的特点:其是从管理的最高级逐级而下,意见的回馈以反方向的逐级而上。这样一来就形成一个“来复式”的管理流程。而来复式管理流程,本质上就是一个暗箱操作的流程。正是在这样的管理流程里,在根本没有监督力的奴隶制时期,广大的劳动人民被沦落为奴隶。有压迫就有反抗,有反抗自然就会推动管理模式的进步与发展。这便是封制即“阶循式”管理模式的形成。“阶循式”的管理特点,就是人民可以越级告状,最高能告到黄地那些,就叫御状。人民可以越级告状的成果,让人民从奴隶生活中解放出的。但是因此却推生了官僚主义,形成官官相卫集党营私。这便“双阶式”形成的原因。就是我们今天的法制社会。而法制就是把监督从执政中分离出来,形成一个全面而完善的监督体制,就是我们今天的法制体制。随着法律面前人人平等的不断深入的建设,形成今天人们独立自由的自由世界。但同时又来来带来一个新的问题——没有钱成了犯罪,因为请不起律师就只能承受。忠厚、诚实、怕麻烦的人都是犯罪。这是其一。其次,只要是来复式的管理流程,也不管法律发展到任何的先进的地步,它都改变不了暗箱操作的这一个现实,因此也就不可能改变钱权交易贪污腐败的现象。这是不以人的意志为转移的,是受管理模式所决定的。

-

所以历史上我们出现钦差大臣,今天我们出现了中央下来的工作组。有作用吗?当然有作用。但是只能治标。为什么治不了本?因为接触面积太小了。那么中央派一千倍一万倍的工作组下来呢?这不现实,即使真的这么做了,反而又会造成另一个结果——地方官们不作为。这是摆在中央面前不仅现实而且是根本不能解决的矛盾。不抓不行抓得太狠不行。

-

能不能有一种办法,不仅让地方官们不但没有一点贪污腐败的心思(不要说行为了)同时还会积极的高度作为?

-

——这就是循环式管理模式能做到的事情。准确的说是“复循式”能做到的事情。


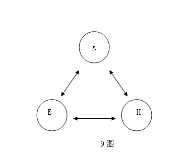
9图.png


9的大至意思是:

A——为中央级,国家的法律法规方针政策的制定机构,同时是最高的权力机构。对E有任免权。

E——在《一般管理学原理》中我设为县级,即国家法律法规、方针政策的执行机关,城市以市级为单位。

H——代表人民大众,他的任务就是向中央级反应县长执政执法中的所作所为。之后由中央裁定换人的事务。

-

“复循式”管理的特点:

其一、中央级不再参与具体的事务管理。就如毛泽东指挥打仗一样,他只是制定战略目标和战略路线,自于前线的仗怎么打,那是前线指挥官的事情,他只要结果。那么中央给县长或市长的任务是什么呢,除了维护国家的法律法规和方针政策之后,就是带领你所辖的人民在生活生产上高度自觉起来,共产是最终目标。

-

其次、县长或是市长,在他所辖的范围内,集所有管理权于一身。由于再没有上级的领导,其就是一个独立自由的执法和执政机关,对下级有直接的任免权。这和阶梯式刚好相反,阶梯式是把权力尽可能分散,这里是权力越集中越大对于管理者来说才更游刃有余。

-

其三,对于现在的人民来说,一句话:一切问题找县长。如果县长不理不采找中央。

-

《一般管理学原理》是一本十几万的册子,当然更是一部系统的理论它的又名是“新共产主义原理”。在这里我用千字文表达出来,显然这只是提供一个新的思考空间和新的思考线索。总结起来一句话——世界上,只有我们还没有认识的事物还在以它的方式发展着,一旦被认识而不能对其进行改造的事物是不存在的。


二维码

扫码加我 拉你入群

请注明:姓名-公司-职位

以便审核进群资格,未注明则拒绝

全部回复
2021-10-6 00:00:42
跟贴:
总的来说,管理的一经形成,其把集体自然分成管理者与被管理者的关系。而阶梯式的管理流程,自然而然的造成这样一个现象——维护社会的和平与稳定成为管理者对被管理者的单向关系。就是说:在阶梯式的管理体制中,管理者与被管理者之间不是平等的关系,是管理与被管理的关系。不平等这便是整个阶梯式管理时期社会一切矛盾运动的根源。也是今天社会中依然蕴藏矛盾的根本所在。
-
与之相反的是循环式管理模式,总的来说其把集体人们分这管理者与被管理者区别之后,把人民大众有机地编织到整个管理体制中来,成为管理式中不可缺少的一级。因此使AEH确确实实的各负其责而实现这三者有机的统一起来。
-
这便是阶梯式与循环式管理上的区别。即,一个是把人民大众编织有管理链条的最末级,成为整个管理式最终的目的和对像,从而造成管理者与被管理者之间的矛盾运动。而一个是把人民大众有机地编织到管理体制中来,实行有效的相互制约而实三管理者与被管理者的有机统一。
-
我们要知道,在人类的初始时期,就是人类从动物向人过渡的原始部落时期,当时的“单循式”都能让野蛮人高度的自觉起来,已经具有相当高的现代文明人,在“复循式”的管理体制下,高度的自觉起来,这只是循环式管理模式下的自然现象。
-
更是说:管理的最高境界,不在于你有多强大的管理能力,能把别人管理得有多自觉,即使是上帝都是办不到的,而是让人们自己管理好自己。循环式管理模式,正是促使每一个人不得不有效的管理好自己。
二维码

扫码加我 拉你入群

请注明:姓名-公司-职位

以便审核进群资格,未注明则拒绝

相关推荐
栏目导航
热门文章
推荐文章

说点什么

分享

扫码加好友,拉您进群
各岗位、行业、专业交流群