全部版块 我的主页
论坛 数据科学与人工智能 数据分析与数据科学 R语言论坛
3502 9
2021-12-08
【使用过程中有什么问题,请及时将测试数据发到1270950448@qq.com,方便我测试BUG】这是本人自编的一个简单的用于处理面板数据缺失值的R语言包,原理是对存在缺失值的面板数据的按顺序年份出现的第一个非缺失值,以及倒数的第一个非缺失值进行求年均增长率,然后用这个增长率与各年缺失值的前一个非缺失值进行运算得到用于填补缺失值的数值。
由于网络限制问题,暂时没法把最新版3.0.3传到Github,先传百度云盘,请各位手动安装下就行。
链接:https://pan.baidu.com/s/15A2Iuc2BzhpTaMRT4z75bg

提取码:vy7p【计算的简单原理】可用以下公式进行年均增长率的测算:


其中endvalue即末期的数值,startvalue即初期数值,中间各期均为空值,也就是只知道初期和末期数值的情况下来测算年均增长率。
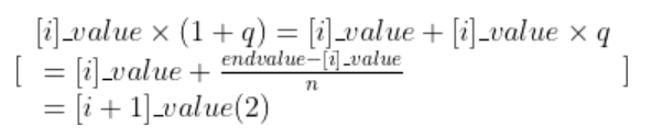
如果只根据第i年以及年均增长率来计算第i+1年的值,此时_value就是startvalue,那么就是下面的计算公式:
test.png


公式(2)即为本文的计算方法,即先基于第一个非空值的i位数,计算其顺数下一个数即第i+1位的估计值,接着调用循环代码基于第i+1位估计值,计算第i+2位估计值,以此类推。
本程序包最多可以计算中间有10个空值的情形,如需拓展功能还需要读者自行修改源代码。
下面是图示:
linput.png




下面是示例:
复制代码

原始数据如下: linput包原始数据.jpg

内插法命令的填补结果:
linput包填补结果内推法.jpg

外推法命令填补结果:
linput包填补结果外插法.jpg

假如湖北省缺了2001年,这个包会自动帮你补充上,保持每一年都有位置,然后插补缺失值:
湖北缺失.jpg 湖北填充.jpg

二维码

扫码加我 拉你入群

请注明:姓名-公司-职位

以便审核进群资格,未注明则拒绝

全部回复
2021-12-8 10:44:34
微信截图_20211208104501.jpg
二维码

扫码加我 拉你入群

请注明:姓名-公司-职位

以便审核进群资格,未注明则拒绝

2021-12-10 03:09:49
youngyaoguai 发表于 2021-12-8 09:39
这是本人自编的一个简单的用于处理面板数据缺失值的R语言包,原理是对存在缺失值的面板数据的按顺序年份出现 ...

二维码

扫码加我 拉你入群

请注明:姓名-公司-职位

以便审核进群资格,未注明则拒绝

2021-12-10 03:10:05
youngyaoguai 发表于 2021-12-8 09:39
这是本人自编的一个简单的用于处理面板数据缺失值的R语言包,原理是对存在缺失值的面板数据的按顺序年份出现 ...

二维码

扫码加我 拉你入群

请注明:姓名-公司-职位

以便审核进群资格,未注明则拒绝

2021-12-18 17:16:51
二维码

扫码加我 拉你入群

请注明:姓名-公司-职位

以便审核进群资格,未注明则拒绝

2022-4-19 21:08:07
欢迎大家继续测试
二维码

扫码加我 拉你入群

请注明:姓名-公司-职位

以便审核进群资格,未注明则拒绝

点击查看更多内容…
相关推荐
栏目导航
热门文章
推荐文章

说点什么

分享

扫码加好友,拉您进群
各岗位、行业、专业交流群