一、t检验
t 检验(独立样本t 检验),用于分析定类数据与定量数据之间的关系情况。例:检验男女雇员当前工资是否有差异。(说明:进行独立样本的t检验要求被比较的两个样本彼此独立,即没有配对关系。要求两个样本均来自正态总体,要求均值是对于检验有意义的描述统计量。两个样本方差相等与不相等时使用的t值公式不同。)
二、操作
1.SPSSAU操作如下图:

2.将数据放入分析框中,SPSSAU系统默认为独立样本t检验,会自动生成分析结果如下:


三、分析
结果解读以及计算公式:
1.从下表可以看出 F值为119.669并且P<0.05,所以两组方差显著即方差不齐;
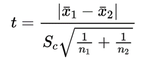
2.t值
(1)方差齐时:

其中n1、n2分别为两个样本的观测数目,
、
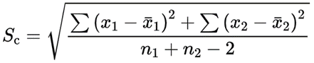
为两个样本的均值,分母是两个样本之差的标准误,其中的
是合并方差,其中为:

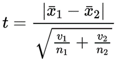
(2)方差不齐时:

V1、V2分别为样本的方差;
3.结论
从上表可以看出:不同gender样本对于salary全部均呈现出显著性(p<0.05),意味着不同gender样本对于salary均有着差异性。具体分析可知:gender对于salary呈现出0.01水平显著性(t=-11.688,p=0.000),以及具体对比差异可知, f的平均值(26031.92),会明显低于m的平均值(41441.78)。
总结可知:不同gender样本对于salary全部均呈现出显著性差异。
四、扩展
SPSSAU同时提供了深入分析:

(1) 如果t检验显示呈现出显著性差异(p<0.05),可通过平均值对比具体差异,同时还可使用效应量研究差异幅度情况;
(2) t检验时使用Cohen’s d 值表示效应量大小(差异幅度大小),该值越大说明差异越大,效应量小、中、大的区分临界点分别是:0.20,0.50和0.80;
(3) Cohen’s d 值计算公式为差值的绝对值/标准差,标准差=Sqrt(联合方差)。
PS:SPSSAU具体操作如下:
(1)点击SPSSAU通用方法里面的‘t检验’。如下图:

(2) 拖拽数据后开始分析:

五、参考文献
《SPSS统计分析(第五版)》