一、应用
信度分析用于测量样本回答结果是否可靠,即样本有没有真实作答量表类题项。
重要提示:信度分析仅仅是针对 量表数据,非量表数据一般不进行信度分析。
二、操作
1.SPSSAU操作如下图:

SPSSAU仪表盘
2.案例背景
此案例分析心理学中研究运动员意志品质的调查问卷数据,共对312人进行了问卷调查。根据数据资料进行项目分析后,删除第7、8、14、28、29、35、36、37、38、40、43、48题,将剩余的38题根据项目分析结果分为5个维度,所包括的项目如下:

3.结果
将数据放入分析框中,SPSSAU系统对数据进行处理后,自动生成分析结果,其中5个维度的信度系数分别为0.144、0.441、0.271、0.519、0.042,总结图表如下:

中间过程部分图如下:

分析结果来源于SPSSAU

分析结果来源于SPSSAU

三、分析
结果解读以及计算公式:
1.Cronbach α系数
Cronbach α系数是目前最常用的信度系数。它表明量表中每一题项得分间的一致性。Cronbach α系数公式为

式中,k为测量的题目数;
为第_i_题得分数的方差;
为测验总分的方差。
2.结论
从上表可以看出,5个维度的信度系数都偏低,需要进行问卷的修改。此外,信度系数值为0.636,大于0.6,因而说明研究数据信度质量可以接受。但是该量表的信度一般。针对“项已删除的α系数”,任意题项被删除后,信度系数并不会有明显的上升,因此说明题项不应该被删除处理。
针对“CITC值”,x1对应的CITC值介于0.2~0.3之间,说明其与其余分析项之间的相关关系较弱,如果是预测试分析,可针对此项进行修正后再收集正式数据(如果是正式数据分析可考虑对此项进行删除处理)。
四、扩展
1.SPSSAU分析建议

分析建议来源于SPSSAU
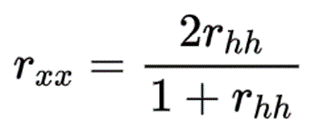
2.折半信度
在测量没有复本且只能实施一次的情况下,通常采用分半法估计信度,即将测试题目分成对等的两半,根据各人在这两半测验的分数,计算其相关系数作为信度指标。其计算公式为

式中,
为整个测验的信度估计值;
为两半测验分数的相关系数。应该注意的是,如果测量题目较少,如10题以下就不适合用这种方法来估计信度。
另外,分半法的使用基于人为分成两半的测验要等值,即两半测验的分数具有相同的平均数或标准差。当此条件不满足时,就需要采用下面两个公式来估计信度。
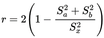
(1)弗朗那根公式

式中,r为信度值,
和
分别为两半测验分数的方差,
为测验总分的方差;
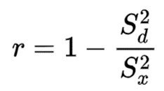
(2)卢伦公式

式中,r为信度值,
为两半测验分数之差的方差,
为测验总分数的方差;
3.McDonald’s ω信度系数
McDonald’s ω信度系数的计算原理是利用因子分析浓缩信息,然后得到loading载荷系数值,进而计算。计算公式如下:

式中,loading为载荷系数值,uniqueness为1-loading^2。从上式可知,loading值整体绝对值越大时,McDonald’s ω信度系数值也会越高。
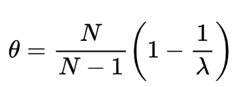
4. theta信度系数

式中,N为分析项个数
为最大特征根值。从上式可以看到,当分析项个数越多时,theta信度系数很可能会越大,而且最大特征根越大,theta信度系数值也会越大。
5.信度系数的衡量标准
通常情况下,信度系数值高于0.8,则说明信度高;信度系数介于0.7~0.8之间;则说明信度较好; 信度系数介于0.6~0.7;则说明信度可接受; 信度系数小于0.6;说明信度不佳。并且此标准通常适用于上述4个研究指标,包括Cronbach α信度系数,折半信度系数,McDonald’s ω信度系数和theta信度系数。
6.具体操作
(1)点击SPSSAU问卷调查里面的‘信度’按钮。如下图:

(2)拖拽数据后开始分析:
