立即打开
交叉熵、相对熵(KL散度)、JS散度和Wasserstein距离(推土机距离)KevinCK Python数据科学信息量:任何事件都会承载着一定的信息量,包括已经发生的事件和未发生的事件,只是它们承载的信息量会有所不同。如昨天下雨这个已知事件,因为已经发生,既定事实,那么它的信息量就为 0。如明天会下雨这个事件,因为未有发生,那么这个事件的信息量就大。从上面例子可以看出信息量是一个与事件发生概率相关的概念,而且可以得出,事件发生的概率越小,其信息量越大。这也很好理解,狗咬人不算信息,人咬狗才叫信息嘛。我们已知某个事件的信息量是与它发生的概率有关,那我们可以通过如下公式计算信息量:假设 是一个离散型随机变量,其取值集合为 χ ,概率分布函数 χ ,则定义事件 的信息量为: 熵:我们知道:当一个事件发生的概率为 ,那么它的信息量是 。那么如果我们把这个事件的所有可能性罗列出来,就可以求得该事件信息量的期望,信息量的期望就是熵,所以熵的公式为:假设 事件 共有 n 种可能,发生 的概率为 ,那么该事件的熵 为:然而有一类比较特殊的问题,比如投掷硬币只有两种可能,字朝上或花朝上。买彩票只有两种可能,中奖或不中奖。我们称之为 0-1 分布问题(二项分布的特例),对于这类问题,熵的计算方法可以简化为如下算式: 相对熵(KL 散度):相对熵又称 KL 散度,如果我们对于同一个随机变量 x 有两个单独的概率分布 P(x) 和 Q(x),我们可以使用 KL 散度(Kullback-Leibler (KL) divergence)来衡量这两个分布的差异。在机器学习中,P 往往用来表示样本的真实分布,Q 用来表示模型所预测的分布,那么 KL 散度就可以计算两个分布的差异,也就是 Loss 损失值。
从 KL 散度公式中可以看到 Q 的分布越接近 P(Q 分布越拟合 P),那么散度值越小,即损失值越小。因为对数函数是凸函数,所以 KL 散度的值为非负数。有时会将 KL 散度称为 KL 距离,但它并不满足距离的性质:- KL 散度不是对称的;
- KL 散度不满足三角不等式。
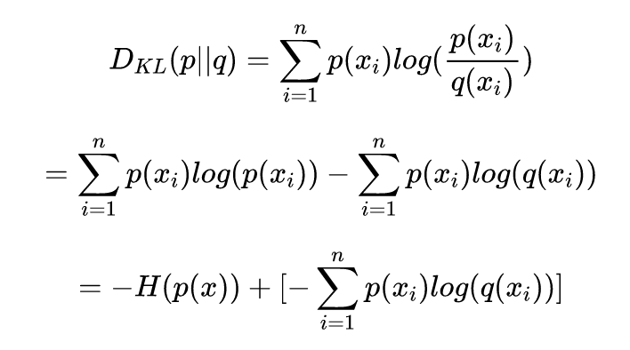
交叉熵:我们将 KL 散度公式进行变形:
等式的前一部分恰巧就是 p 的熵,等式的后一部分,就是交叉熵:在机器学习中,我们需要评估 label 和 predicts 之间的差距,使用 KL 散度刚刚好,即 ,由于 KL 散度中的前一部分 −H(y)不变,故在优化过程中,只需要关注交叉熵就可以了。所以一般在机器学习中直接用用交叉熵做 loss,评估模型。JS 散度:JS 散度度量了两个概率分布的相似度,基于 KL 散度的变体,解决了 KL 散度非对称的问题。一般地,JS 散度是对称的,其取值是 0 到 1 之间。定义如下:
Wasserstein 距离(该部分摘自KL 散度、JS 散度、Wasserstein 距离):KL 散度和 JS 散度度量的问题:如果两个分配 P,Q 离得很远,完全没有重叠的时候,那么 KL 散度值是没有意义的,而 JS 散度值是一个常数。这在学习算法中是比较致命的,这就意味这这一点的梯度为 0。梯度消失了。Wasserstein 距离度量两个概率分布之间的距离,定义如下
Π(P1,P2)是 P1 和 P2 分布组合起来的所有可能的联合分布的集合。对于每一个可能的联合分布 γ,可以从中采样(x,y)~γ 得到一个样本 x 和 y,并计算出这对样本的距离||x−y||,所以可以计算该联合分布 γ 下,样本对距离的期望值 E(x,y)~γ[||x−y||]。在所有可能的联合分布中能够对这个期望值取到的下界 infγ~Π(P1,P2)E(x,y)~γ[||x−y||]就是 Wasserstein 距离。直观上可以把 E(x,y)~γ[||x−y||]理解为在 γ 这个路径规划下把土堆 P1 挪到土堆 P2 所需要的消耗。而 Wasserstein 距离就是在最优路径规划下的最小消耗。所以 Wesserstein 距离又叫 Earth-Mover 距离。Wasserstein 距离相比 KL 散度、JS 散度的优越性在于,即便两个分布没有重叠,Wasserstein 距离仍然能够反映它们的远近;而 JS 散度在此情况下是常量,KL 散度可能无意义。WGAN 本作通过简单的例子展示了这一点。考虑如下二维空间中的两个分布 和 , 在线段 AB 上均匀分布, 在线段 CD 上均匀分布,通过控制参数 可以控制着两个分布的距离远近。
此时容易得到(读者可自行验证) (突变) (突变) (平滑)KL散度和JS散度是突变的,要么最大要么最小,Wasserstein距离却是平滑的,如果我们要用梯度下降法优化 这个参数,前两者根本提供不了梯度,Wasserstein距离却可以。类似地,在高维空间中如果两个分布不重叠或者重叠部分可忽略,则KL和JS既反映不了远近,也提供不了梯度,但是Wasserstein却可以提供有意义的梯度。WGAN中对KL散度和JS散度的描述(摘自:郑华滨:令人拍案叫绝的Wasserstein GAN)假设 表示真实样本分布, 是由生成器产生的样本分布。原始GAN中:判别器损失函数:
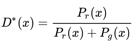
生成器损失函数:(公式)(公式)最优判别器:首先根据公式1,当生成器固定时,确定最优的判别器。对判别器进行求导,并令导数为0,则:化简得:
从上述公式也可以很容易看出最优判别器的特征:当 且 ,最优判别器可以给出概率值0,相反,最优判别器可以给出概率值1。生成器损失:普通的GAN在训练时会有一个明显问题,即如果判别器训练的太好,生成器就会完全学不动;那么当判别器为最优时,我们可以通过公式推导生成器的损失函数是怎样。生成器损失函数(1)(公式2)首先给公式2添加一个不依赖生成器的项(真实分布损失: ):
添加该项后,上式变成了公式1的反,即最小化生成器损失变为了最大化判别器损失。代入最优判别器即公式4,再进行简单的变换可以得到:
根据JS散度的公式:
于是公式5就可以继续写成:(公式7)公式7即为生产器损失函数1在判别器最优条件下的值。根据原始GAN定义的判别器loss,我们可以得到最优判别器的形式;而在最优判别器的下,我们可以把原始GAN定义的生成器loss等价变换为最小化真实分布 与生成分布 之间的JS散度。我们越训练判别器,它就越接近最优,最小化生成器的loss也就会越近似于最小化 和 之间的JS散度。问题就出在这个JS散度上。我们会希望如果两个分布之间越接近它们的JS散度越小,我们通过优化JS散度就能将 “拉向” ,最终以假乱真。这个希望在两个分布有所重叠的时候是成立的,但是如果两个分布完全没有重叠的部分,或者它们重叠的部分可忽略,那它们的JS散度就变成了 。
换句话说,无论 跟 是远在天边,还是近在眼前,只要它们俩没有一点重叠或者重叠部分可忽略,JS散度就固定是常数 ,而这对于梯度下降方法意味着——梯度为0!此时对于最优判别器来说,生成器肯定是得不到一丁点梯度信息的;即使对于接近最优的判别器来说,生成器也有很大机会面临梯度消失的问题。
生成器损失函数(2)(公式3)上文推导已经得到在最优判别器 下(公式9)我们可以把KL散度(注意下面是先g后r)变换成含 的形式:
由公式3,9,10可得最小化目标的等价变形
注意上式最后两项不依赖于生成器G,最终得到最小化公式3等价于最小化
这个等价最小化目标存在两个严重的问题。第一是它同时要最小化生成分布与真实分布的KL散度,却又要最大化两者的JS散度,一个要拉近,一个却要推远!这在直观上非常荒谬,在数值上则会导致梯度不稳定,这是后面那个JS散度项的毛病。
扫码加我 拉你入群
请注明:姓名-公司-职位
以便审核进群资格,未注明则拒绝
相关推荐
栏目导航
热门文章
推荐文章
扫码加好友,拉您进群