一、应用
秩和比(RSR)是指分析方法可用于评价多个指标的综合水平情况,其实质原理是利用了RSR值信息进行各项数学计算,RSR值介于0~1之间且连续,通常情况下,该值越大说明评价越‘优’。
秩和比(RSR)分析法广泛应用于医疗卫生领域的多指标综合评价,使用简单方便。比如使用RSR法综合评价10个医院的医疗水平情况并且进行医疗水平排名和分档次,也或者利用RSR法综合评价10个医生的学术能力并且进行排名和分等级档次等。
二、操作
SPSSAU操作
(1)点击SPSSAU综合评价里面的‘WRSR秩和比’按钮。如下图

(2)拖拽数据后点击开始分析

三、SPSSAU分析步骤

四、案例
当前有某省某年10个地区孕产妇保健工作的产前检查率X1(%),孕产妇死亡率X2(%),围生儿死亡率X3(%),当前希望结合此3个指标情况,针对10个地区进行综合评价,评价此10个地区的孕产妇保健工作水平情况,最终对此10个地区保健工作水平排序并且分档次。数据如下表

五、数据处理
RSR分析法在进行计算RSR秩的时候,共有两种方法,分别是整次法和非整次法;二者在于计算秩的时候公式不一样,整次法时同样的数字排名一样(高优指标数字越大越‘优’,低优指标数字越小越‘优’);非整次法的编秩方法如下
(1)对于高优指标:

(2)对于低优指标:

六、结果
SPSSAU生成的分析结果如下:
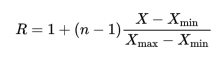
1.RSR值计算表格

(1)RSR值

式中,i是行、j是列、m、n分别是是总行数、总列数(本案例中m=10, n=3),R_{i j}为第 i行第 j列元素的秩。(10+2+6)/3×10=0.6;
(2)RSR排名
根据RSR值从大到小进行排列。
2.RSR分布表格

(1)累积频数Σ f
频数的累加;例:5+2=7;
(2)Probit值
Probit为百分率P对应的标准正态离差u(pi分位数)加5 。
例如:百分率P=0.0250对应的标准正态离差u=-1.28(查表得到),其相应的概率单位Probit为5-1.28 =3.72;百分率P=0.9对应的标准正态离差u约为1.28(查表得到),其相应的概率单位Probit为 5+1.28 =6.28。
3.回归模型表格

PS:此步骤目的在于得到每个RSR值的模型拟合值,模型的拟合效果等意义较小;
4.分档排序

上一步得到Probit值之后,将其作为自变量X,将RSR分布值作为因变量Y;进行回归模型拟合,模型公式为:RSR分布值=-0.609+0.222*Probit值。并结合此回归模型公式得到各个地区RSR值的拟合值,用于最终的分档排序等使用。
PS:此步骤目的在于得到每个RSR值的模型拟合值,模型的拟合效果等意义较小;

七、总结
上表格列出10个地区分别是的RSR值,RSR排名,以及RSR拟合值,并且结合分档排序临界值表格,得到最终10个地区的分档等级Level(注意:Level数字越大,代表等级越好)。
从上表可知:将10个地区分为3个等级,其中C,H最优;B,D,A,E,G,I,F共6个地区其次;J地区最差。并且也可以直接对10个地区进行排名,H排名最好,其次是C;J最差。