全部版块 我的主页
论坛 提问 悬赏 求职 新闻 读书 功能一区 经管文库(原现金交易版)
859 0
2022-02-28
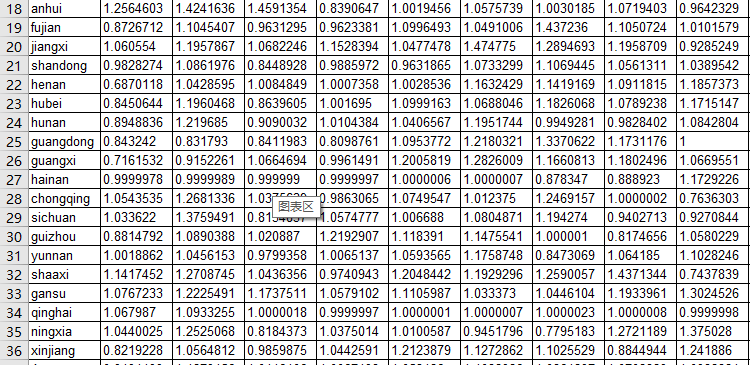
中国分省31个省、市、自治区创新效率测算数据2008-2019

数据时间:2008-2019

区域范围:中国31个省、市、自治区

数据格式:excel

数据说明:数据主要采用malmquist方法来计算各省创新效率
附件列表
二维码

扫码加我 拉你入群

请注明:姓名-公司-职位

以便审核进群资格,未注明则拒绝

相关推荐
栏目导航
热门文章
推荐文章

说点什么

分享

扫码加好友,拉您进群
各岗位、行业、专业交流群