经管之家App
让优质教育人人可得
立即打开
全部版块
我的主页
›
论坛
›
计量经济学与统计论坛 五区
›
计量经济学与统计软件
复杂方程组求解及求导的软件实现问题
楼主
520wujing
1162
0
收藏
2022-03-06
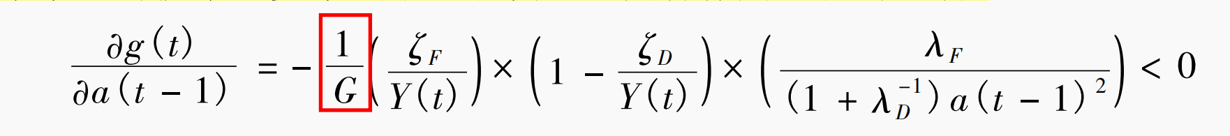
类似于这样子的求导,以及含有多个参数的方程组求解。想问一下,什么软
件可以实现么?
Mathematica可以么?
扫码加我 拉你入群
请注明:姓名-公司-职位
以便审核进群资格,未注明则拒绝
相关推荐
Mathematica软件函数及使用方法(部分)
Mathematica,希望大家能有上
用mathematica做微积分实验(国外经典教材中文版)
mathematica教程
Mathematica中文帮助文件
mathematica教程(中科大张韵华科学出版社)
求教高人Mathematica的问题
Mathematica求助,就一个小问题,对高手应该很简单。
Mathematica蒙台梭利数理:帮助孩子学好数学
【学习笔记】卸载了mathematica,安装了sagemath。终于可以用正版了,不错,心 ...
栏目导航
计量经济学与统计软件
经管在职研
stata专版
行业分析报告
经管文库
文献求助专区
热门文章
《那年2003:我双手插兜,搞钱不知什么叫对 ...
在概率与代码之间:Agent Skills 是 AI 的枷 ...
CDA数据分析脱产就业班于2026年3月7日开班! ...
参数估计:CDA数据分析师的核心推断工具,用 ...
通用指标与场景指标:CDA数据分析师的核心分 ...
GeoSaaS永久会员版
全国国土利用现状、耕地、园地、林地分布等 ...
癌症·真相:医生也在读(菠萝)
2024年合集 ESG评级数据大全(彭博 华证 Wi ...
脑机接口行业系列报告:Neuralink带来的启示 ...
推荐文章
2026JG学术冬训营:从Stata初高到Python机器 ...
【必看】【本版版规,欢迎发悬赏贴求助】
【新课】26年3月|Gemini辅助论文写作与数据 ...
关于如何利用文献的若干建议
关于学术研究和论文发表的一些建议
关于科研中如何学习基础知识的一些建议 (一 ...
一个自编的经济学建模小案例 --写给授课本科 ...
AI智能体赋能教学改革: 全国AI教育教学应用 ...
2025中国AIoT产业全景图谱报告-406页
关于文献求助的一些建议
说点什么
分享
微信
QQ空间
QQ
微博
扫码加好友,拉您进群
各岗位、行业、专业交流群