全部版块 我的主页
论坛 提问 悬赏 求职 新闻 读书 功能一区 经管文库(原现金交易版)
2162 6
2022-03-19
资产误定价/股票误定价数据(2008-2019)
测度方法参考文献:
徐寿福,徐龙炳.信息披露质量与资本市场估值偏误[J].会计研究,2015(01):40-47+96.


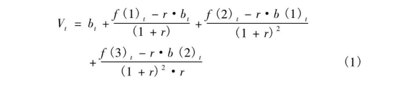
股票价格P采用当年所有交易日的日均收盘价计算
上市公司的内在价值V采用剩余收益模型 ( RIM) 计算。




附件列表
c750afcbd55775243ed0f1a403541a1.png

原图尺寸 97.55 KB

c750afcbd55775243ed0f1a403541a1.png

c750afcbd55775243ed0f1a403541a1.png

原图尺寸 97.55 KB

c750afcbd55775243ed0f1a403541a1.png

97b8e9cc919e5051cde43cb92eecd43.png

原图尺寸 85.51 KB

97b8e9cc919e5051cde43cb92eecd43.png

89b4e295ffdb9c5e6891ee5423312e6.png

原图尺寸 32.67 KB

89b4e295ffdb9c5e6891ee5423312e6.png

313ed20082cfc503fd66be990f366e1.png

原图尺寸 61.65 KB

313ed20082cfc503fd66be990f366e1.png

资产误定价.xlsx

大小:13.82 MB

只需: RMB 65535 元  马上下载

此文件已失效

资产误定价(新.xlsx

大小:13.84 MB

只需: RMB 15 元  马上下载

请买此文件

二维码

扫码加我 拉你入群

请注明:姓名-公司-职位

以便审核进群资格,未注明则拒绝

全部回复
2022-5-13 03:29:09
你好,买了数据后看不懂
二维码

扫码加我 拉你入群

请注明:姓名-公司-职位

以便审核进群资格,未注明则拒绝

2022-5-13 10:07:01
我知春风 发表于 2022-5-13 03:29
你好,买了数据后看不懂
这个数据比较复杂,你主要看误定价sheet表,里面有好几个MISP,其实这几个都可以用,都是根据V和P通过不同的运算得到的,你可以根据回归显著性做选择
二维码

扫码加我 拉你入群

请注明:姓名-公司-职位

以便审核进群资格,未注明则拒绝

2022-7-20 02:11:30
大块瓜皮猫 发表于 2022-3-19 18:06
资产误定价/股票误定价数据(2008-2019)
测度方法参考文献:
徐寿福,徐龙炳.信息披露质量与资本市场估值 ...
您好,请问数据是更新到20年吗?
二维码

扫码加我 拉你入群

请注明:姓名-公司-职位

以便审核进群资格,未注明则拒绝

2022-7-21 08:00:08
gg0107 发表于 2022-7-20 02:11
您好,请问数据是更新到20年吗?
不是的,只到2019年,不再更新了
二维码

扫码加我 拉你入群

请注明:姓名-公司-职位

以便审核进群资格,未注明则拒绝

2022-10-8 14:57:59
你好,我这边购买了您的数据,请问方便提供一下stata计算代码吗?我想根据你的代码把这个计算结果更新到2021年
二维码

扫码加我 拉你入群

请注明:姓名-公司-职位

以便审核进群资格,未注明则拒绝

点击查看更多内容…
相关推荐
栏目导航
热门文章
推荐文章

说点什么

分享

扫码加好友,拉您进群
各岗位、行业、专业交流群