全部版块 我的主页
论坛 数据科学与人工智能 数据分析与数据科学 R语言论坛
3414 0
2022-03-27
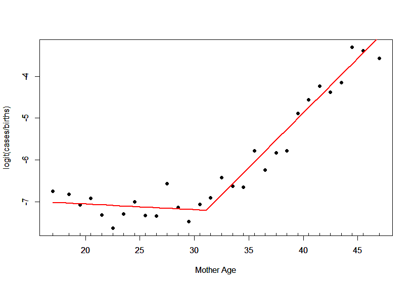
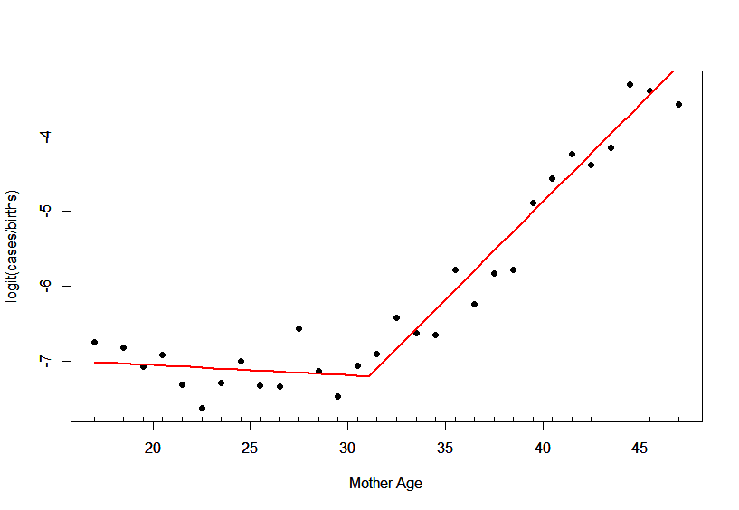
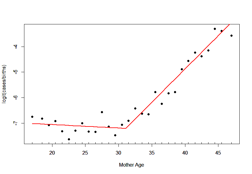
代码如下:
data("down")
fit.glm=glm(cases/births~age,weight=births,family=binomial,data=down)
fit.seg=segmented(fit.glm,seg.Z=~age,psi=25)
dev.new()
plot(down$age,log(down$cases/down$births),pch=20,cex=1.5,ylab="logit(cases/births)",xlab="Mother Age")
par(new=TRUE)
plot(fit.seg,col="red",lwd=2,ylab="",xlab="",ylim=c(min(log(down$cases/down$births)),max(log(down$cases/down$births))))

第一张图是自己画的,第二张图是示例。两张图的横坐标对比后发现,我绘制的图中横坐标上多出一组黑色的线段,每个黑色线段对应一个点,如果用:plot(fit.seg,add=TRUE,col="red",lwd=2,ylab="",xlab="") 就不会出现这些黑色线段了。所以想问一下在只绘制拟合结果(红色线)的时候怎样删掉它们?


11.png
图片2.png


附件列表
11.png

原图尺寸 5.39 KB

11.png

11.png

原图尺寸 5.39 KB

11.png

11.png

原图尺寸 5.39 KB

11.png

二维码

扫码加我 拉你入群

请注明:姓名-公司-职位

以便审核进群资格,未注明则拒绝

相关推荐
栏目导航
热门文章
推荐文章

说点什么

分享

扫码加好友,拉您进群
各岗位、行业、专业交流群