全部版块 我的主页
论坛 数据科学与人工智能 数据分析与数据科学 数据分析与数据挖掘
2934 0
2022-04-19
求职面试让每个人都很紧张。但这就是他们的设计目的。它是评估候选人的精神状态以及他/她在紧张的情况下保持冷静和镇定的能力的最常见的媒介。为了在面试中取得好成绩,您需要深入了解您正在面试的角色以及预期的内容。当您准备数据科学家的面试时,思想的存在和强大的学科知识具有额外的意义,因为它肯定会测试您的能力。

在数据科学面试中,您可能会被问到各种各样的问题,以测试您对统计、数据分析、机器学习、深度学习、大数据和人工智能等众多主题的了解。


为了帮助您为面试做好准备,我们在此列出了最常见的数据科学面试问题及其答案。

所以,事不宜迟,让我们开始吧!

#1 什么是数据科学?

用最简单的形式来说,数据科学是对从不同来源收集的数据进行研究,然后对其进行存储、组织和分析以从中获取有意义的信息。

#2 从原始数据中提取预期信息需要哪些知识?

数据科学家和分析师需要对数学、统计计算机科学、机器学习、数据可视化、聚类分析和数据建模有很好的了解。

#3 结构化数据和非结构化数据有什么区别?

顾名思义,结构化数据是高度组织和格式整齐的数据,因此可以在关系数据库中轻松搜索。另一方面,非结构化数据是没有组织或格式化的数据。

#4 有监督机器学习和无监督机器学习有什么区别?

监督机器学习使用训练数据集,输入数据被标记。无监督 ML 使用输入数据集并且输入数据保持未标记。此外,监督 ML 用于预测,无监督 ML 用于分析。

#5 什么是逻辑回归?

它是一种统计技术,用于预测零或一或是或否的二元结果。

#6 为什么数据清洗在数据分析中至关重要?

数据是从各种来源积累的。确保收集的数据足以进行分析非常重要。数据清理确保数据完整、准确,并且没有冗余或不相关的组件。

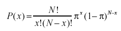
#7 什么是二项式概率公式?
3874519461-1.gif

#8 什么是线性回归?

线性回归是一种用于快速预测分析的统计工具。在线性回归中,一个变量(比如 A)的得分是根据另一个变量(比如 B)的得分来预测的。例如,房屋的价格取决于其大小或位置等因素。

#9 什么是特征向量?

特征向量是表示某个对象的数值特征的 n 维向量。

# 10 A/b 测试的目标是什么?

它是一种统计假设检验,用于检测网页的任何变化,以便采取措施最大限度地提高预期结果的可能性。

#11 什么是大数定律?

这是一个处理多次执行相同实验时产生的结果的定理。

#12 什么是抽样?  

数据抽样是一种统计分析技术,用于选择和分析具有代表性的数据子集,以确定更大集合中的模式。

#13 SQL 和 MySQL 或 SQL Server 有什么区别?

SQL 代表结构化查询语言。它是一种用于评估和操作数据库的标准语言。MySQL 是一种数据库管理系统,如 SQL Server、Oracle 等。

# 14 如何消除查询结果中的重复行?

从查询结果中消除重复行的一种方法是使用 DISTINCT 子句。

#15 采样过程中可能出现的偏差类型有哪些?

选择偏差
覆盖偏差
幸存者偏差
什么是人工神经网络
# 16 什么是人工神经网络(ANN)?

人工神经网络 (ANN) 是旨在模拟人脑的计算系统。

# 17 Python 或 R – 哪个更适合文本分析?

Python 是文本分析的更好选择,因为它的 Pandas 库包含用户友好的数据结构和可靠的数据分析工具。R 是机器学习应用程序的更好选择。

#18。您将如何定义聚类算法中的聚类数量?

聚类的主要目的是以某种方式将相似的身份组合在一起,以便组内的实体保持相同但组彼此不同。

# 19. 什么是 TF/IDF 向量化?

tf-idf 代表词频-逆文档频率。它是一种数值统计量,用于确定一个词在集合或语料库中的文档中的重要性。



编辑推荐
1、2022年300个以上最佳免费数据科学课程
2、大厂数据分析面试指南!来自亚马逊、谷歌、微软、头条、美团的面试问题!
3、机器学习模型方法总结
4、历史最全机器学习/深度学习/人工智能专业术语表中英对照表
5、机器学习如何应用于商业场景?三个真实的商业项目
6、数据工作者的自我修养 | 哪些技能是必不可少的?
7、《汗牛充栋:数据分析书籍分享》CDA网校新课上线
8、文本挖掘常用的107个语料库
9、一图读懂“东数西算”工程
10、零基础转行数据分析,看这篇文章就够了

DA内容精选
二维码

扫码加我 拉你入群

请注明:姓名-公司-职位

以便审核进群资格,未注明则拒绝

相关推荐
栏目导航
热门文章
推荐文章

说点什么

分享

扫码加好友,拉您进群
各岗位、行业、专业交流群