经管之家App
让优质教育人人可得
立即打开
全部版块
我的主页
›
论坛
›
站务区 十一区
›
新手入门区
多期DID平行趋势检验
楼主
ymptyjs
3069
6
收藏
2022-05-03
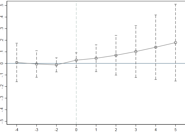
请问这个多期DID的平行趋势检验通过了吗?
置信区间的线怎么从0期左右对称,距离0期越远,置信区间越长?
附件列表
图.PNG
原图尺寸 19.81 KB
扫码加我 拉你入群
请注明:姓名-公司-职位
以便审核进群资格,未注明则拒绝
全部回复
沙发
huchangqing
2022-5-5 13:35:29
效果不理想
扫码加我 拉你入群
请注明:姓名-公司-职位
以便审核进群资格,未注明则拒绝
藤椅
auirzxp
2022-5-5 14:29:52
提示:
作者被禁止或删除 内容自动屏蔽
扫码加我 拉你入群
请注明:姓名-公司-职位
以便审核进群资格,未注明则拒绝
板凳
阿树大人
2022-5-5 14:50:59
样本量较少而已
扫码加我 拉你入群
请注明:姓名-公司-职位
以便审核进群资格,未注明则拒绝
报纸
jjzzxx
2022-5-5 17:08:48
要看回归结果的,系数只在政策后显著就满足平行趋势,图再明显也是建立再回归基础之上。
扫码加我 拉你入群
请注明:姓名-公司-职位
以便审核进群资格,未注明则拒绝
地板
bi123
2022-5-8 17:22:15
平行趋势检验通过了,就是政策效果不太好
扫码加我 拉你入群
请注明:姓名-公司-职位
以便审核进群资格,未注明则拒绝
点击查看更多内容…
7楼
长似初相识
2022-11-17 08:31:56
事件当期也没有效果
扫码加我 拉你入群
请注明:姓名-公司-职位
以便审核进群资格,未注明则拒绝
相关推荐
面板DID
psm后,回归分析的stata具体命令
DID怎么做。。
问两个did有关的问题
DID平行趋势检验
DID与面板普通回归的优劣势或区别比较
DID多个因变量平行趋势放一张图
RD 与 DID 区别
大家好,我做了多期did平行趋势检验,请问通过了吗?
为什么我的多期did通不过平行趋势检验
栏目导航
新手入门区
经管文库(原现金交易版)
教师之家与经管教育
求助成功区
学道会
Stata专版
热门文章
《那年2003:我双手插兜,搞钱不知什么叫对 ...
无限维空间上的测度和积分
在概率与代码之间:Agent Skills 是 AI 的枷 ...
CDA数据分析脱产就业班于2026年3月7日开班! ...
参数估计:CDA数据分析师的核心推断工具,用 ...
通用指标与场景指标:CDA数据分析师的核心分 ...
GeoSaaS永久会员版
全国国土利用现状、耕地、园地、林地分布等 ...
癌症·真相:医生也在读(菠萝)
2024年合集 ESG评级数据大全(彭博 华证 Wi ...
推荐文章
2026JG学术冬训营:从Stata初高到Python机器 ...
【必看】【本版版规,欢迎发悬赏贴求助】
【新课】26年3月|Gemini辅助论文写作与数据 ...
关于如何利用文献的若干建议
关于学术研究和论文发表的一些建议
关于科研中如何学习基础知识的一些建议 (一 ...
一个自编的经济学建模小案例 --写给授课本科 ...
AI智能体赋能教学改革: 全国AI教育教学应用 ...
2025中国AIoT产业全景图谱报告-406页
关于文献求助的一些建议
说点什么
分享
微信
QQ空间
QQ
微博
扫码加好友,拉您进群
各岗位、行业、专业交流群