经管之家App
让优质教育人人可得
立即打开
全部版块
我的主页
›
论坛
›
经济学论坛 三区
›
微观经济学
›
经济金融数学专区
(转)一道关于泰勒级数的问题,求帮助!!
楼主
清水314159
1458
4
收藏
2011-05-18
(转)一道关于泰勒级数的问题,求帮助!!
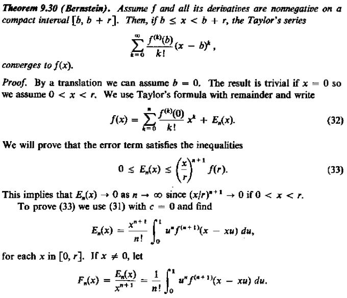
一个在[a,b]上无穷次可导的函数f,[a,b]内任意点的任意阶导数存在且非负,求证f在[a,b]内的泰勒级数收敛于它本身!
扫码加我 拉你入群
请注明:姓名-公司-职位
以便审核进群资格,未注明则拒绝
全部回复
沙发
xuruilong100
2011-5-20 13:05:07
查一查裴礼文的《数学分析中的典型问题与方法(第二版)》,好像有类似的题
扫码加我 拉你入群
请注明:姓名-公司-职位
以便审核进群资格,未注明则拒绝
藤椅
清水314159
2011-5-20 16:11:35
2#
xuruilong100
谢谢,可是苦于无书啊
扫码加我 拉你入群
请注明:姓名-公司-职位
以便审核进群资格,未注明则拒绝
板凳
清水314159
2011-5-20 16:50:36
2#
xuruilong100
你是说这题?好像相似度不高啊
扫码加我 拉你入群
请注明:姓名-公司-职位
以便审核进群资格,未注明则拒绝
报纸
清水314159
2011-5-21 11:57:26
扫码加我 拉你入群
请注明:姓名-公司-职位
以便审核进群资格,未注明则拒绝
栏目导航
经济金融数学专区
爱问频道
经管文库(原现金交易版)
金融实务版
马克思主义经济学
经管高考
热门文章
CDA 认证考试大纲 2025 重磅更新:一二级考 ...
在概率与代码之间:Agent Skills 是 AI 的枷 ...
失去的三十年:平成日本经济史(【日】野口 ...
求:Multiple Time Scale Dynamics
2026 AI赋能文化产业发展报告-AI创意业态透 ...
表格结构数据特征与CDA数据分析师:精准适配 ...
问卷填写,每份50个论坛币
新宏观丨豆包,传统经济学与商学对全球性债 ...
新宏观丨豆包,谁是传统经济学的最大反对派
硅光芯片代工爆发式增长,重构全球半导体产 ...
推荐文章
2026JG学术冬训营:从Stata初高到Python机器 ...
【必看】【本版版规,欢迎发悬赏贴求助】
【新课】26年3月|Gemini辅助论文写作与数据 ...
关于如何利用文献的若干建议
关于学术研究和论文发表的一些建议
关于科研中如何学习基础知识的一些建议 (一 ...
一个自编的经济学建模小案例 --写给授课本科 ...
AI智能体赋能教学改革: 全国AI教育教学应用 ...
2025中国AIoT产业全景图谱报告-406页
关于文献求助的一些建议
说点什么
分享
微信
QQ空间
QQ
微博
扫码加好友,拉您进群
各岗位、行业、专业交流群