全部版块 我的主页
论坛 提问 悬赏 求职 新闻 读书 功能一区 经管文库(原现金交易版)
698 0
2022-06-13

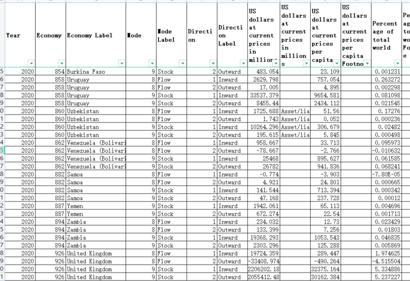
2020年--1970年全球外商直接投资和对外直接投资数据


数据格式:excel

对外直接投资可分为:(1)参加资本,只参加少量的投资,不参与经营,必要时也派遣技术人员和顾问担任指导。(2)开办合资企业。(3)收买现有企业。(4)开设子公司。


22.png



二维码

扫码加我 拉你入群

请注明:姓名-公司-职位

以便审核进群资格,未注明则拒绝

相关推荐
栏目导航
热门文章
推荐文章

说点什么

分享

扫码加好友,拉您进群
各岗位、行业、专业交流群