全部版块 我的主页
论坛 提问 悬赏 求职 新闻 读书 功能一区 经管文库(原现金交易版)
782 0
2023-06-05
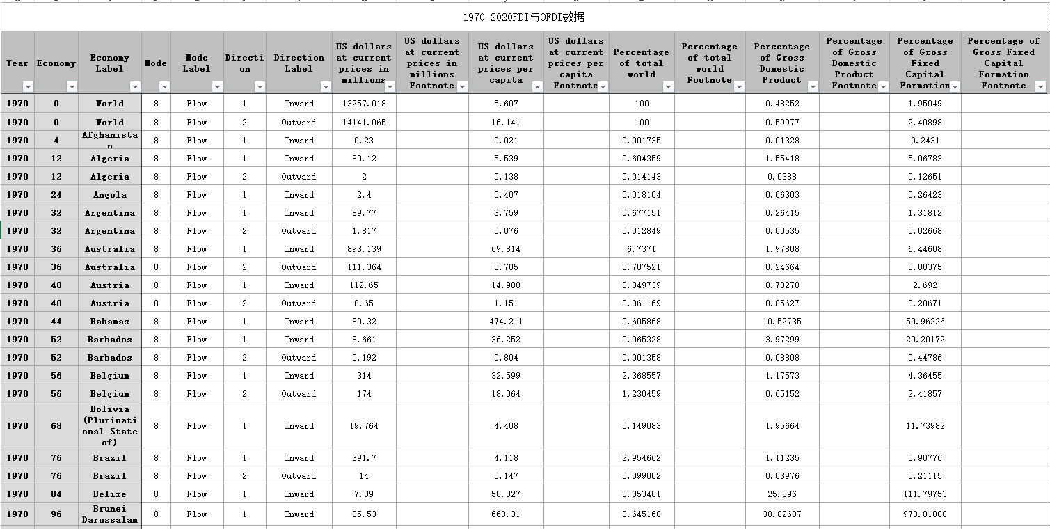
1970-2020世界各国FDIForeign Direct Investment外商直接投资与OFDI(Outward Foreign Direct Investment)对外直接投资数据


1、数据时间:1970-2020
2、数据范围:世界各国
3、主要指标:FDI流量数据、OFDI流量数据、FDI存量数据、OFDI存量数据、占GDP比重
4、数据展示:
1970-2020世界各国FDI、OFDI数据.zip
大小:(5.33 MB)

只需: RMB 19元  马上下载


主要国家名单:
数据如下:
f3f80b8b7692fae4ed44838fe77e46b.png







二维码

扫码加我 拉你入群

请注明:姓名-公司-职位

以便审核进群资格,未注明则拒绝

相关推荐
栏目导航
热门文章
推荐文章

说点什么

分享

扫码加好友,拉您进群
各岗位、行业、专业交流群