全部版块 我的主页
论坛 提问 悬赏 求职 新闻 读书 功能一区 经管百科 爱问频道
700 0
2022-06-27
悬赏 30 个论坛币 未解决
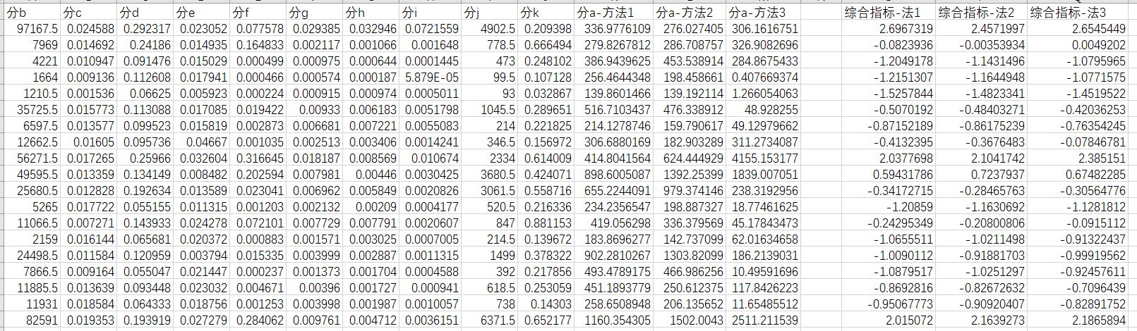
如题,本人现在在写毕业论文,核心解释变量是XX化程度这样一个综合评价指标,参考其他文献的做法,决定使用十个分项指标来合成这一个大的综合指标。这样的话就需要对数据进行降维,参考其他文献的做法,我打算使用主成分分析法,软件是stata。数据是面板数据,使用的是时序全局主成分分析。现在的问题是,我的十个分项指标中的一个(分项指标a),有三种衡量方法(方法1、方法2和方法3),且数据来源和统计口径都不同(不过都是比较权威的数据来源),一开始我是用方法1衡量分项指标a,并和其他分项指标一起进行主成分分析,得到综合指标,作为解释变量带入方程中回归,但是结果不太好。所以我就想改成使用方法2衡量分项指标a,看看结果会不会变好,但是我使用方法2衡量分项指标a,并进行主成分分析后发现主成分分析的结果并没有太大的变化,回归结果也没有太大的变化。后来我又尝试了方法3,或者直接去掉分项指标a,或者去掉其他分项指标中的1个,使用剩下的9个分项指标进行主成分分析,但是结果都没有很大的差别。请问一下这是为什么呢?
三种方法的结果附在下面。不知道是不是因为主成分分析法会对数据做标准化处理,得到的结果都比较小。
就是想请问一下大家,为什么分项指标的衡量方式改变之后,主成分分析法的结果却没有太大的变化呢?以及主成分分析法的结果都比较小,是因为标准化吗?谢谢各位!
微信图片_20220627120941.png

原图尺寸 96.69 KB

微信图片_20220627120941.png

二维码

扫码加我 拉你入群

请注明:姓名-公司-职位

以便审核进群资格,未注明则拒绝

相关推荐
栏目导航
热门文章
推荐文章

说点什么

分享

扫码加好友,拉您进群
各岗位、行业、专业交流群