全部版块 我的主页
论坛 提问 悬赏 求职 新闻 读书 功能一区 经管文库(原现金交易版)
3206 3
2022-08-09
1.计算说明
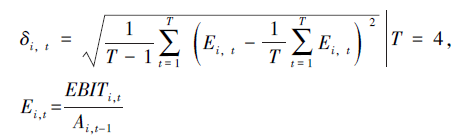
Johnet al.(2008)和Acharyaetal.(2011)均认为公司的经营风险越高,盈利波动性也越高。本文也使用企业盈利的波动程度来衡量经营风险的大小。经营风险(盈利波动程度)的计算公式为:
计算公式.png
其中,
δ:第i家公司第t年的经营风险(盈利波动程度)
EBIT:第i家公司第t年的息税折旧摊销前利润
Ai,t-1第i家公司第t-1年的总资产
如公式所示,本文利用第t-4年至t-1年(四年)的息税折旧摊销前利润率滚动取值的标准差计算经营风险(Risk1)
另外,由于按这种方法计算的经营风险不服从正态分布,所以本文计算了代表经营风险的息税折旧摊销前利润率标准差的累积分布概率,并以此衡量经营风险(Risk2)

2.数据说明

样本选择:全部A股1994-2021年数据(初始数据是从1990年开始,经过处理之后的数据起点为1994年)

与参考文献相同,做了如下的处理:剔除金融业、数据缺失和ST公司

注:提供了剔除所需数据和剔除代码,若无需做该项剔除处理,自行删除相关代码重新运行即可

行业参照证监会2012年行业分类标准

并对连续型变量进行了1%和99%分位数的缩尾处理

每个压缩包都附有初始数据,计算代码,参考文献和最终数据


3.参考文献
[1]王竹泉,王贞洁,李静.经营风险与营运资金融资决策[J].会计研究,2017(05):60-67+97.
[2]王敬勇,徐雯,薛丽达.自愿性战略合作信息披露质量与公司经营风险[J].科学决策,2022(03):32-50.
[3]张金朵,张中华.实体企业金融化的关键驱动因素:逐利还是避险?——基于多层因子交互效应面板模型的宏微观分析[J].经济与管理研究,2021,42(12):47-60.
[4]姚禄仕,林蕾.过度投资与股价崩盘风险——基于经营与财务风险的路径影响[J].华东经济管理,2021,35(10):101-109.

压缩包所含文件:
压缩包所含文件.png

数据样例:
数据样例.png

分年份数据量统计:
分年份数据量统计.png

缩尾后的描述性统计结果:
缩尾后的描述性统计结果.png

经营风险(t-4到t-1年,最终数据1995-2021年).rar
大小:(12.91 MB)

只需: RMB 34元  马上下载

本附件包括:

  • 初始数据.dta
  • 经营风险(t-4到t-1年,最终数据1995-2021年).dta
  • 初始数据.xlsx
  • 经营风险(t-4到t-1年,最终数据1995-2021年).xlsx
  • 过度投资与股价崩盘风险——...于经营与财务风险的路径影响_姚禄仕.pdf
  • 经营风险与营运资金融资决策_王竹泉.pdf
  • 实体企业金融化的关键驱动因...互效应面板模型的宏微观分析_张金朵.pdf
  • 自愿性战略合作信息披露质量与公司经营风险_王敬勇.pdf
  • 计算代码.do

(常用,与上述计算说明中的做法完全一致)


使用第t-3年至t年(四年)的息税折旧摊销前利润率滚动取值的标准差计算经营风险(Risk1)和(Risk2)
经营风险(t-3到t年,最终数据1994-2021年).rar
大小:(13.14 MB)

只需: RMB 34元  马上下载

本附件包括:

  • 自愿性战略合作信息披露质量与公司经营风险_王敬勇.pdf
  • 计算代码.do
  • 初始数据.dta
  • 经营风险(t-3到t年,最终数据1994-2021年).dta
  • 初始数据.xlsx
  • 经营风险(t-3到t年,最终数据1994-2021年).xlsx
  • 过度投资与股价崩盘风险——...于经营与财务风险的路径影响_姚禄仕.pdf
  • 经营风险与营运资金融资决策_王竹泉.pdf
  • 实体企业金融化的关键驱动因...互效应面板模型的宏微观分析_张金朵.pdf



经营风险合集,包括上述两种计算方法
经营风险合集.rar
大小:(26.03 MB)

只需: RMB 55元  马上下载

本附件包括:

  • 经营风险(t-3到t年,最终数据1994-2021年).rar
  • 经营风险(t-4到t-1年,最终数据1995-2021年).rar



二维码

扫码加我 拉你入群

请注明:姓名-公司-职位

以便审核进群资格,未注明则拒绝

全部回复
2023-4-13 16:24:16
欢迎大家购买!
二维码

扫码加我 拉你入群

请注明:姓名-公司-职位

以便审核进群资格,未注明则拒绝

2023-12-27 10:34:35
您好购买了这个数据,想问下数据来源是国泰安吗,另外想问下使用的是息税折旧摊销前收入吗,还是息税前利润,因为看到原始数据这两个都包含
二维码

扫码加我 拉你入群

请注明:姓名-公司-职位

以便审核进群资格,未注明则拒绝

2023-12-27 10:58:34
cmye123 发表于 2023-12-27 10:34
您好购买了这个数据,想问下数据来源是国泰安吗,另外想问下使用的是息税折旧摊销前收入吗,还是息税前利润 ...
您好,数据来源是国泰安。具体使用的数据,您可以在代码中看到。
二维码

扫码加我 拉你入群

请注明:姓名-公司-职位

以便审核进群资格,未注明则拒绝

相关推荐
栏目导航
热门文章
推荐文章

说点什么

分享

扫码加好友,拉您进群
各岗位、行业、专业交流群