经管之家App
让优质教育人人可得
立即打开
全部版块
我的主页
›
论坛
›
计量经济学与统计论坛 五区
›
计量经济学与统计软件
›
Stata专版
请问如何采用一步法直接估计出随机前沿生产函数的系数、农业生产效率损失及其影响因素
楼主
piic
915
5
收藏
2022-08-16
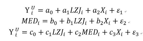
这是我的随机前沿生产函数和中介效应模型,LZJ为核心解释变量,MED为中介变量,如何采用一步法直接估计出随机前沿生产函数的系数、农业生产效率损失及其影响因素呢
扫码加我 拉你入群
请注明:姓名-公司-职位
以便审核进群资格,未注明则拒绝
全部回复
沙发
ZHC19811026
2023-9-4 09:09:31
同问。老铁。
扫码加我 拉你入群
请注明:姓名-公司-职位
以便审核进群资格,未注明则拒绝
藤椅
仔仔雄起
2024-1-28 22:36:30
您好,请问您知道具体方法了吗?
扫码加我 拉你入群
请注明:姓名-公司-职位
以便审核进群资格,未注明则拒绝
板凳
番茄炒鸡蛋dan
2024-5-31 19:48:52
你好,请问你有没有解决一步法随机前沿生产函数的问题呀,可不可以请教一下
扫码加我 拉你入群
请注明:姓名-公司-职位
以便审核进群资格,未注明则拒绝
报纸
番茄炒鸡蛋dan
2024-5-31 19:49:11
仔仔雄起 发表于 2024-1-28 22:36
您好,请问您知道具体方法了吗?
你好,请问你解决了吗?
扫码加我 拉你入群
请注明:姓名-公司-职位
以便审核进群资格,未注明则拒绝
地板
番茄炒鸡蛋dan
2024-5-31 19:49:28
仔仔雄起 发表于 2024-1-28 22:36
您好,请问您知道具体方法了吗?
你好,请问你解决了吗?
扫码加我 拉你入群
请注明:姓名-公司-职位
以便审核进群资格,未注明则拒绝
相关推荐
农业生产函数的建立方法
『讨论』关于农业生产函数中固定机械投资的建模问题
农业生产函数
农业生产水碳影响因素分析
新型农业生产经营组织发展及金融支持研究——以邵阳市为例
农业互助保险是农业生产组织方式的又一次革命
生产函数可以这么用吗?
关于生产函数中的雇工费计算
农业生产总值影响因素
随机前沿(SFA)分析影响因素
栏目导航
Stata专版
站务与外事
经管类求职与招聘
行业分析报告
SPSS论坛
经管文库(原现金交易版)
热门文章
CDA 认证考试大纲 2025 重磅更新:一二级考 ...
Gemini准确率从21%飙到97%!谷歌只用了这一 ...
CDA数据分析脱产就业班于2025年12月08日开班 ...
兴业研究-库存周期分析
《2025全球电子商务手册》中文简版
Inference and optimal censoring scheme f ...
现代数学译丛06应用偏微分方程 中译本,John ...
本周顶尖人工智能工具
2025年零售新品情报合集
中国银发经济行业报告2025
推荐文章
【必看】【本版版规,欢迎发悬赏贴求助】
26年寒假天津站|Gemini论文写作&数据分析 ...
2026JG学术冬训营:从Stata初高到Python机器 ...
关于如何利用文献的若干建议
关于学术研究和论文发表的一些建议
关于科研中如何学习基础知识的一些建议 (一 ...
一个自编的经济学建模小案例 --写给授课本科 ...
AI智能体赋能教学改革: 全国AI教育教学应用 ...
2025中国AIoT产业全景图谱报告-406页
关于文献求助的一些建议
说点什么
分享
微信
QQ空间
QQ
微博
扫码加好友,拉您进群
各岗位、行业、专业交流群