经管之家App
让优质教育人人可得
立即打开
全部版块
我的主页
›
论坛
›
提问 悬赏 求职 新闻 读书 功能一区
›
经管文库(原现金交易版)
1995-2020各地区人口年龄构成和抚养比情况表
楼主
走出
531
0
收藏
2022-10-14
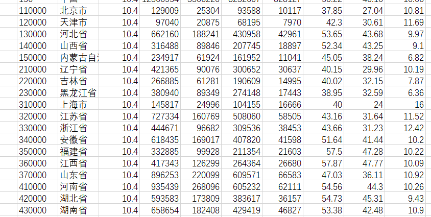
1995-2020各地区人口年龄构成和抚养比情况表
[统计年度]
null
[地区代码]
null
[地区名称]
null
[抽样比例]
null
[人口数]
null
[0-14岁人口数]
null
[15-64岁人口数]
null
[65岁及以上人口数]
null
[总抚养比]
null
[少年儿童抚养比]
null
[老年人口抚养比]
null
1995-2020各地区人口年龄构成和抚养比情况表.xlsx
大小:(63.82 KB)
只需: RMB 14元
马上下载
扫码加我 拉你入群
请注明:姓名-公司-职位
以便审核进群资格,未注明则拒绝
相关推荐
求人口年龄数据:请问一下大家,在哪里可以找到1980-1989年的各省份人口年龄构成数据
分地区人口年龄构成及抚养比数据集(2000-2019年)
1990-2020各地区儿童保健情况表
1998-2020各地区婚前检查保健情况表
1960-2021各国家及地区人口年龄构成情况表
1982-2020全国人口年龄构成和抚养比情况表
2007.12-2022.3各地区最低生活保障标准情况表
各省份分地区人口年龄构成和抚养比:总抚养比少年儿童抚养比老年人口抚养比2002-2021
全国城市城镇乡村分省份各地区人口年龄构成(2000-2010-2020)
栏目导航
经管文库(原现金交易版)
经济史与经济思想史
厦门大学经济学院
经管高考
EViews专版
宏观经济学
热门文章
当AI遇见ML:高校教师如何借助AI与机器学习 ...
AI Core产业营销思考
CDA 认证考试大纲 2025 重磅更新:一二级考 ...
Computational Complexity A Modern Approa ...
An Introduction To Recursive Function Th ...
管理者微观经济学 Microeconomics for Mana ...
《数据要素发展报告(2025年)》---来源:中 ...
CDA数据分析师:全流程拆解数据治理开展路径 ...
【多指标】2000-2024年上市公司企业债务融资 ...
CDA数据分析脱产就业班于2025年12月08日开班 ...
推荐文章
12月武汉站|Deepseek辅助论文写作与数据分 ...
2026JG学术冬训营:从Stata初高到Python机器 ...
关于如何利用文献的若干建议
关于学术研究和论文发表的一些建议
关于科研中如何学习基础知识的一些建议 (一 ...
一个自编的经济学建模小案例 --写给授课本科 ...
AI智能体赋能教学改革: 全国AI教育教学应用 ...
2025中国AIoT产业全景图谱报告-406页
关于文献求助的一些建议
几种免费下载文献的方法----我的文献应助经
说点什么
分享
微信
QQ空间
QQ
微博
扫码加好友,拉您进群
各岗位、行业、专业交流群