全部版块 我的主页
论坛 提问 悬赏 求职 新闻 读书 功能一区 经管文库(原现金交易版)
995 0
2022-10-14

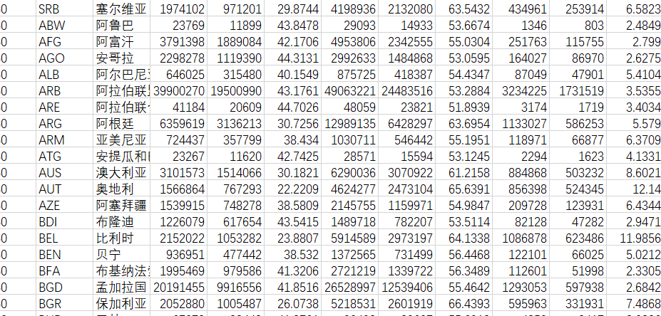
1960-2021各国家及地区人口年龄构成情况表
[统计年度]null
[国家或地区代码]null
[国家或地区名称]null
[0-14岁人口总数]null
[0-14岁女性人口总数]0-14岁女性人口总数
[0-14岁人口占比]0-14岁人口占比表示0-14岁人口占总人口的百分比
[15-64岁人口总数]15-64岁女性人口总数
[15-64岁女性人口总数]占总人口的百分比
[15-64岁人口占比]15-64岁人口占比表示15-64岁人口占总人口的百分比
[65岁及以上人口总数]
[65岁及以上女性人口总数]65岁及以上女性人口总数
[65岁及以上人口占比]65岁及以上人口占比表示65岁及以上人口占总人口的百分比
5.png

二维码

扫码加我 拉你入群

请注明:姓名-公司-职位

以便审核进群资格,未注明则拒绝

相关推荐
栏目导航
热门文章
推荐文章

说点什么

分享

扫码加好友,拉您进群
各岗位、行业、专业交流群