经管之家App
让优质教育人人可得
立即打开
全部版块
我的主页
›
论坛
›
经济学论坛 三区
›
微观经济学
›
经济金融数学专区
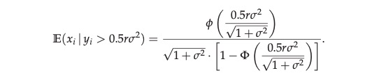
有人知道右式随sigma的单调性如何推导吗
楼主
sylviawangjing
783
0
收藏
2022-10-24
悬赏
100
个论坛币
未解决
1666621229971.jpg
原图尺寸 3.71 KB
1666621229971.jpg
原图尺寸 3.71 KB
2.jpg
原图尺寸 13.08 KB
扫码加我 拉你入群
请注明:姓名-公司-职位
以便审核进群资格,未注明则拒绝
栏目导航
经济金融数学专区
经管文库(原现金交易版)
商学院
金融实务版
学术道德监督
爱问频道
热门文章
CDA数据分析师实战:因子分析的业务应用与落 ...
CDA 认证考试大纲 2025 重磅更新:一二级考 ...
如盈财女:1.19黄金回踩顺势做多,原油高空 ...
Introductory Econometrics: A Modern Appr ...
如何应用蔡定创的《信用价值论》理论重新设 ...
AEM电解水设备行业深度分析报告:2026-2032 ...
r语言绘图
A First Course in Causal Inference code
【重磅,24顶刊方法!】2003-2024上市公司透 ...
【24重磅更新,顶刊方法!】2011-2024上市公司 ...
推荐文章
【必看】【本版版规,欢迎发悬赏贴求助】
26年寒假天津站|Gemini论文写作&数据分析 ...
2026JG学术冬训营:从Stata初高到Python机器 ...
关于如何利用文献的若干建议
关于学术研究和论文发表的一些建议
关于科研中如何学习基础知识的一些建议 (一 ...
一个自编的经济学建模小案例 --写给授课本科 ...
AI智能体赋能教学改革: 全国AI教育教学应用 ...
2025中国AIoT产业全景图谱报告-406页
关于文献求助的一些建议
说点什么
分享
微信
QQ空间
QQ
微博
扫码加好友,拉您进群
各岗位、行业、专业交流群