经管之家App
让优质教育人人可得
立即打开
全部版块
我的主页
›
论坛
›
计量经济学与统计论坛 五区
›
计量经济学与统计软件
关于总离差平方和分解的超傻问题。。。
楼主
iamssj
25817
4
收藏
2011-08-03
悬赏
5
个论坛币
已解决
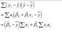
关于总离差平方和的分解,我一直没弄懂中间那个乘积部分为什么是0,所以,有木有哪位高手可以帮我证明或者推导一下?谢谢。
最佳答案
godback009
查看完整内容
两个求和符号中的式子即是回归直线出现的前提,两者都为零。希望你懂了
扫码加我 拉你入群
请注明:姓名-公司-职位
以便审核进群资格,未注明则拒绝
全部回复
沙发
godback009
2011-8-3 19:43:00
两个求和符号中的式子即是回归直线出现的前提,两者都为零。希望你懂了
附件列表
123456.jpg
原图尺寸 5.77 KB
扫码加我 拉你入群
请注明:姓名-公司-职位
以便审核进群资格,未注明则拒绝
藤椅
godback009
2011-8-3 23:06:42
LZ给分吧
扫码加我 拉你入群
请注明:姓名-公司-职位
以便审核进群资格,未注明则拒绝
板凳
fugacity
2011-8-3 23:21:21
用的是最小二乘法中的两个偏导数为零
扫码加我 拉你入群
请注明:姓名-公司-职位
以便审核进群资格,未注明则拒绝
报纸
fana番茄
2018-9-14 10:20:32
是因为所有的e加起来就是0
扫码加我 拉你入群
请注明:姓名-公司-职位
以便审核进群资格,未注明则拒绝
相关推荐
求助
问如何引用回归报告中的残差平方和
平方和自由度
偏回归平方和是不是回归平方和?
请教两道关于回归平方和的关系的选择题
怎么提取每次回归后的(残差项平方和/n-k)
求解,残差平方和与异方差之间的关系~
剩余平方和
求助,旋转平方和怎么求?
截距项为零的一元回归模型中,残差平方和、回归平方和、总离差平方和的自由度是多少?
栏目导航
计量经济学与统计软件
stata专版
基金与课题申请
文献求助专区
金融学(理论版)
行业分析报告
热门文章
CDA 认证考试大纲 2025 重磅更新:一二级考 ...
在概率与代码之间:Agent Skills 是 AI 的枷 ...
失去的三十年:平成日本经济史(【日】野口 ...
求:Multiple Time Scale Dynamics
2026 AI赋能文化产业发展报告-AI创意业态透 ...
表格结构数据特征与CDA数据分析师:精准适配 ...
问卷填写,每份50个论坛币
新宏观丨豆包,传统经济学与商学对全球性债 ...
新宏观丨豆包,谁是传统经济学的最大反对派
硅光芯片代工爆发式增长,重构全球半导体产 ...
推荐文章
2026JG学术冬训营:从Stata初高到Python机器 ...
【必看】【本版版规,欢迎发悬赏贴求助】
【新课】26年3月|Gemini辅助论文写作与数据 ...
关于如何利用文献的若干建议
关于学术研究和论文发表的一些建议
关于科研中如何学习基础知识的一些建议 (一 ...
一个自编的经济学建模小案例 --写给授课本科 ...
AI智能体赋能教学改革: 全国AI教育教学应用 ...
2025中国AIoT产业全景图谱报告-406页
关于文献求助的一些建议
说点什么
分享
微信
QQ空间
QQ
微博
扫码加好友,拉您进群
各岗位、行业、专业交流群