全部版块 我的主页
论坛 提问 悬赏 求职 新闻 读书 功能一区 经管文库(原现金交易版)
793 4
2023-04-15
绿色全要素生产率——GTFP(运用MaxDEA软件)
2010-2021年  30省
SBM-GML模型 超效率
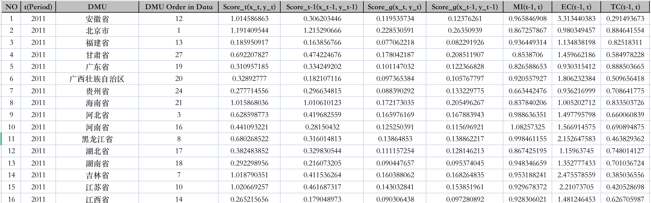
数据显示2011-2020年,2010年为1
指标构建如下:工业用水量(亿吨)、工业增加值(亿元)、PPI、大型企业年末固定资产价值(亿元)、生产部门能源总消耗量(万吨)、生产部门年末就业人数(人)、工业二氧化硫(吨)、工业废水排放量(万吨)、固体废弃物排放量(吨)
数据说明:包含原始数据、计算结果有规模报酬不变/规模报酬变化/规模效应三种测算结果以及分解项、dea教材 使用介绍 数据介绍 内容包含 数据展示 dea教材
绿色全要素生产率2010-2021.zip
大小:(348.69 KB)

只需: RMB 49元  马上下载


二维码

扫码加我 拉你入群

请注明:姓名-公司-职位

以便审核进群资格,未注明则拒绝

全部回复
2023-4-15 20:55:41
如果需要定制其他基期的gtfp也可以找我,购买数据之前或者之后有疑惑可以加qq:1911187819
二维码

扫码加我 拉你入群

请注明:姓名-公司-职位

以便审核进群资格,未注明则拒绝

2023-8-3 22:23:37
楼主测的是GTFP还是TFP?
二维码

扫码加我 拉你入群

请注明:姓名-公司-职位

以便审核进群资格,未注明则拒绝

2023-8-5 11:40:37
ceetea 发表于 2023-8-3 22:23
楼主测的是GTFP还是TFP?
测算的是GTFP
二维码

扫码加我 拉你入群

请注明:姓名-公司-职位

以便审核进群资格,未注明则拒绝

2023-12-14 16:02:52
rhent-h 发表于 2023-4-15 20:54
绿色全要素生产率——GTFP(运用MaxDEA软件)
2010-2021年  30省
SBM-GML模型 超效率
请问能通过莫兰指数吗
二维码

扫码加我 拉你入群

请注明:姓名-公司-职位

以便审核进群资格,未注明则拒绝

相关推荐
栏目导航
热门文章
推荐文章

说点什么

分享

扫码加好友,拉您进群
各岗位、行业、专业交流群