经管之家App
让优质教育人人可得
立即打开
全部版块
我的主页
›
论坛
›
经济学论坛 三区
›
宏观经济学
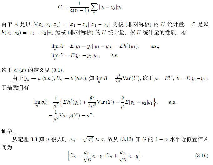
基尼系数的统计推断
楼主
xushan8
1113
1
收藏
2011-08-07
扫码加我 拉你入群
请注明:姓名-公司-职位
以便审核进群资格,未注明则拒绝
全部回复
沙发
zhaojumping
2011-8-7 08:42:30
这个要支持一下,不过能不能打个包之类的,这样看起来太累
扫码加我 拉你入群
请注明:姓名-公司-职位
以便审核进群资格,未注明则拒绝
相关推荐
[求助]关于基尼系数和泰尔指数得请教
农村基尼系数怎么算
[原创]社会保障水平.社会保险水平(医疗、养老,工伤,失业、生育)基尼系数
[转]方竹兰:通货膨胀劫贫济富 扩大基尼系数
向高手请教基尼系数与方差之间的关系
单独的一个行业能测算收入差距的基尼系数吗?
2012中国的基尼系数你更信谁?
求 北京市经济社会统计报告2012
顶级的基尼系数:98%
求2009-2018各省的基尼系数
栏目导航
宏观经济学
经管文库(原现金交易版)
金融实务版
经管在职研
数据分析与数据挖掘
SAS专版
热门文章
通用指标与场景指标:CDA数据分析师的核心分 ...
2024年合集 ESG评级数据大全(彭博 华证 Wi ...
2025年第四季度中国货币政策执行报告
复变函数专题选讲
数论II : 岩泽理论和自守形式 [日]黑川信重
CDA 认证考试大纲 2025 重磅更新:一二级考 ...
在概率与代码之间:Agent Skills 是 AI 的枷 ...
CDA数据分析脱产就业班于2026年3月7日开班! ...
参数估计:CDA数据分析师的核心推断工具,用 ...
GeoSaaS永久会员版
推荐文章
2026JG学术冬训营:从Stata初高到Python机器 ...
【必看】【本版版规,欢迎发悬赏贴求助】
【新课】26年3月|Gemini辅助论文写作与数据 ...
关于如何利用文献的若干建议
关于学术研究和论文发表的一些建议
关于科研中如何学习基础知识的一些建议 (一 ...
一个自编的经济学建模小案例 --写给授课本科 ...
AI智能体赋能教学改革: 全国AI教育教学应用 ...
2025中国AIoT产业全景图谱报告-406页
关于文献求助的一些建议
说点什么
分享
微信
QQ空间
QQ
微博
扫码加好友,拉您进群
各岗位、行业、专业交流群