全部版块 我的主页
论坛 提问 悬赏 求职 新闻 读书 功能一区 经管文库(原现金交易版)
727 0
2023-04-23
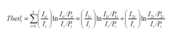
一、泰尔指数模型stata全流程代码+数据+文献二、2005-2021年城乡收入差距与泰尔指数:原始数据+测算结果 泰尔熵标准(Theil’s entropy measure)或者泰尔指数(Theil index)是衡量个人之间或者地区间收入差距(或者称不平等度)的指标。又称泰尔系数或锡尔指数,但我还是习惯叫泰尔指数。Theil指数用来表示区域经济差异状况,数值越大则差异程度越大。数据名称:城乡收入差距与泰尔指数(原始数据+测算)
数据年份:2005-2021年
指标变量:泰尔指数、城镇收入占农村收入之比、城镇居民人均可支配收入、农村居民人均可支配收入、乡村人口、全体居民人均可支配收入、城镇人口、年末常住人口

测算公式:

5.png

3.png 2.png 1.png




附件列表

泰尔指数

大小:76 Bytes

只需: RMB 15 元  马上下载

二维码

扫码加我 拉你入群

请注明:姓名-公司-职位

以便审核进群资格,未注明则拒绝

栏目导航
热门文章
推荐文章

说点什么

分享

扫码加好友,拉您进群
各岗位、行业、专业交流群