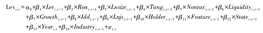
将企业杠杆率作为被解释变量,影响企业目标杠杆率的因素作为解释变量,并对所有解释变量滞后-期。其中,解释变量中包括资产负债率(Lev), 总资产净利润率(Roa) ,企业规模(Lnsize,期末总资产的自然对数),企业抵押能力(Tang, 固定资产与存货之和与总资产之比),非债务税盾(Nontax, 折旧与总资产之比),流动比率(Liquidity, 流动资产与流动负债之比),持续发展能力(Growth, 主营业务收入增长率),独立董事比例(Idd), 监事会规模(Lnjs, 监事会人数的自然对数),股权集中度(Holder, 公司前10位大股东持股比例的平方和),行业杠杆率特征( Feature,行业年度杠杆率中位数),产权性质(State) 以及年度(Year) 、行业(Industry) 虚拟变量。根据模型的回归结果,当残差大于0,即实际杠杆率大于目标杠杆率时,将其定义为过度负债企业,反之,将其定义为非过度负债企业。

参考文献
- 綦好东, 刘浩, 朱炜. 过度负债企业”去杠杆”绩效研究[J]. 会计研究, 2018(12):9.
数据说明
选取2000-2022年A股非金融类上市公司数据作为初始研究样本。
同时,本文对初始数据作出以下处理:
- 剔除ST及*ST类经营状况不佳的企业;
- 剔除缺失值;
- 对连续变量进行1%和99%的缩尾处理。
- 计算结果

数据量统计:
文件截图: