全部版块 我的主页
论坛 提问 悬赏 求职 新闻 读书 功能一区 经管文库(原现金交易版)
1981 5
2023-06-22

1.计算说明

每个模型均包含三个变量:DACC(不同模型的计算公式不同)、AbsDACCOpaque(每个模型的计算公式均相同)

1.1对于每个模型的DACC(操纵性应计利润)的计算说明,见下:

1.1.1应计盈余管理(基本琼斯模型)

1.png

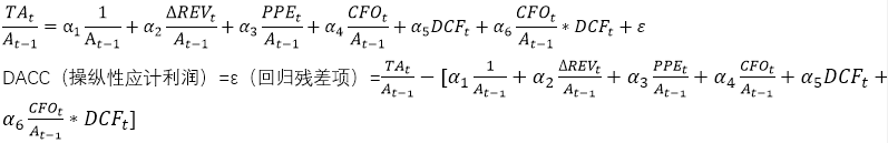
1.1.2应计盈余管理(修正的琼斯模型Dechow等,回归残差项)(常用)

2.png

1.1.3应计盈余管理(修正的琼斯模型Dechow等)(常用)

3.png

1.1.4应计盈余管理(考虑业绩影响/考虑上年业绩/业绩调整的修正的琼斯模型Kothari等)(常用)

4.png

1.1.5应计盈余管理(修正的琼斯模型陆建桥)(常用)

5.png

1.1.6应计盈余管理(修正的琼斯模型Ball和Shivakumar/非线性琼斯模型)

6.png

1.1.7应计盈余管理(修正的琼斯模型Dechow和Dichev/DD模型/双D模型)

7.png

1.1.8应计盈余管理(修正的琼斯模型McNichols)

8.png

其中:

TAt(总应计项目)=营业利润-经营活动产生的现金流量净额

At-1(总资产)=第t-1年的总资产

ΔREVt(营业收入变动额/变动值/变化)=第t年的营业收入 - 第t-1年的营业收入

ΔRECt(应收账款变动额/变动值/变化)=第t年的应收账款 - 第t-1年的应收账款

PPEt(固定资产)=第t年的固定资产原值

ROAt(资产收益率)=第t年的总资产净利润率

IAt=第t年的无形资产和其他长期资产

CFOt-1=第t-1年的经营活动产生的现金流量净额

CFOt=第t年的经营活动产生的现金流量净额

CFOt+1=第t+1年的经营活动产生的现金流量净额

DCF为虚拟变量,当CFO小于0时,取值为1,否则为0


注:有的变量有多种度量方式,本人提供了计算所需的初始数据和代码,同时将每种度量方式汇总至word文档中并附有参考文献(附在压缩包中)。
在调整变量时,仅需在代码中将变量进行简单替换,再次运行即可。购买了此项数据的用户,如在调整模型中遇到问题,均可私聊我免费答疑。

替代变量计算说明示例:
替代变量说明.png

2.数据说明

样本选择:全部A股1998-2022年数据(“经营活动产生的现金流量净额”数据是从1998年开始,所以数据起点选择为1998年)。其中,模型1.1.7和1.1.8较为特殊,计算结果均为1999-2021年。

与大多数文献相同,做了如下的处理:剔除金融行业的样本;剔除当年年末被ST、*ST或PT的上市公司;剔除公司上市之前的样本;剔除已经退市的上市公司样本;剔除有缺失值的公司样本;剔除同行业中少于10家样本的企业,数值可根据参考文献自行调整

注:提供了剔除所需数据和剔除代码,若无需做该项剔除处理,自行删除相关代码重新运行即可

行业参照证监会2012年行业分类标准,制造业用二级行业分类,其他用一级分类来计算

分年度分行业回归

并对连续型变量进行了1%和99%分位数的缩尾处理

每个压缩包都附有初始数据,计算代码,参考文献和最终数据,并附有替代变量整理说明


3.参考文献

[1]张金丹,路军,李连华.审计报告中披露关键审计事项信息有助于提高审计质量吗?——报表盈余和市场感知双维度的经验证据[J].会计研究,2019(06):85-91.(1.1.1、1.1.3)

[2]梅蓓蕾,郭雪寒,叶建芳.问询函的溢出效应——基于盈余管理视角[J].会计研究,2021(06):30-41.(1.1.1、1.1.3、1.1.4)

[3]戴泽伟,潘松剑.僵尸企业的“病毒”会传染吗?——基于财务信息透明度的证据[J].财经研究,2018,44(12):138-150.(1.1.1、1.1.2、1.1.5、1.1.71.1.8

[4]龚启辉,李辰,吴联生.投资银行-审计师业务关联与IPO盈余管理[J].会计研究,2021(09):106-119.(1.1.3、1.1.4、1.1.6、1.1.7、1.1.8)

[5]李增福,骆展聪,杜玲,汤旭东.“信息机制”还是“成本机制”?——大数据税收征管何以提高了企业盈余质量[J].会计研究,2021(07):56-68. (1.1.3、1.1.7)

[6]柳光强,王迪.政府会计监督如何影响盈余管理——基于财政部会计信息质量随机检查的准自然实验[J].管理世界,2021,37(05):157-169+12. (1.1.3、1.1.5)

[7]王亚平,刘慧龙,吴联生.信息透明度、机构投资者与股价同步性[J].金融研究,2009(12):162-174. (1.1.3)

[8]单蒙蒙,但菊香,宋运泽.员工持股计划与企业风险承担——基于公司内外部治理机制的视角[J].华东经济管理,2021,35(07):119-128. (1.1.3)

[9]吕梦,王兵,苏文兵.审计委员会与审计总监任期重叠影响公司盈余质量吗[J].会计研究,2021(01):155-166.(1.1.2、1.1.4、1.1.6、1.1.7、1.1.8)

[10]聂萍,潘再珍,肖红英.问询函监管能改善公司的内部控制质量吗?——来自沪深交易所年报问询的证据[J].会计研究,2020(12):153-170. (1.1.4)

[11]邵剑兵,陈永恒.高管股权激励、盈余管理与审计定价——基于盈余管理异质性的视角[J].审计与经济研究,2018,33(01):44-55.(1.1.1、1.1.3、1.1.5)

[12]戴志敏,楼杰云.半强制分红政策影响了再融资企业的盈余管理吗?[J].华东经济管理,2016,30(09):9-18+185.(1.1.5)

[13]孙健,王百强,曹丰,刘向强.公司战略影响盈余管理吗?[J].管理世界,2016(03):160-169.(1.1.2、1.1.5、1.1.7、1.1.8).

[14]韩丽荣,高瑜彬,胡玮佳.异常审计费用对审计质量的影响研究[J].当代经济研究,2015(01):74-80.(1.1.6)


以下仅以  1.1.2应计盈余管理(修正的琼斯模型Dechow等,回归残差项) 为例
压缩包所含文件:
压缩包所含文件.png

数据样例:
数据样例.png

分年份数据量统计:
分年份数据量统计.png

缩尾后的描述性统计结果:
缩尾后的描述性统计结果.png

2022应计盈余管理(基本琼斯模型).rar
大小:(23.11 MB)

只需: RMB 30元  马上下载

本附件包括:

  • 计算代码.do
  • 初始数据.dta
  • 应计盈余管理(基本琼斯模型).dta
  • 初始数据.xlsx
  • 应计盈余管理(基本琼斯模型).xlsx
  • 变量替换整理.docx
  • 僵尸企业的“病毒”会传染吗...—基于财务信息透明度的证据_戴泽伟(多种计量方式).pdf
  • 审计报告中披露关键审计事项...和市场感知双维度的经验证据_张金丹.pdf
  • 问询函的溢出效应——基于盈余管理视角_梅蓓蕾.pdf



2022应计盈余管理(修正的琼斯模型Dechow等,回归残差项).rar
大小:(23.72 MB)

只需: RMB 39元  马上下载

本附件包括:

  • 应计盈余管理(修正的琼斯模型Dechow等,回归残差项).dta
  • 初始数据.xlsx
  • 应计盈余管理(修正的琼斯模型Dechow等,回归残差项).xlsx
  • 变量替换整理.docx
  • 僵尸企业的“病毒”会传染吗...—基于财务信息透明度的证据_戴泽伟(多种计量方式).pdf
  • 企业寻租如何影响盈余管理_陈骏.pdf
  • 计算代码.do
  • 初始数据.dta



2022应计盈余管理(修正的琼斯模型Dechow等).rar
大小:(26.59 MB)

只需: RMB 39元  马上下载

本附件包括:

  • 计算代码.do
  • 初始数据.dta
  • 应计盈余管理(修正的琼斯模型Dechow等).dta
  • 初始数据.xlsx
  • 应计盈余管理(修正的琼斯模型Dechow等).xlsx
  • 变量替换整理.docx
  • “信息机制”还是“成本机制...征管何以提高了企业盈余质量_李增福.pdf
  • 投资银行-审计师业务关联与IPO盈余管理_龚启辉.pdf
  • 信息透明度、机构投资者与股价同步性_王亚平.pdf
  • 员工持股计划与企业风险承担...于公司内外部治理机制的视角_单蒙蒙.pdf
  • 政府会计监督如何影响盈余管...息质量随机检查的准自然实验_柳光强.pdf



2022应计盈余管理(业绩调整的修正的琼斯模型Kothari等).rar
大小:(23.36 MB)

只需: RMB 39元  马上下载

本附件包括:

  • 应计盈余管理(业绩调整的修正的琼斯模型Kothari等).xlsx
  • 变量替换整理.docx
  • 审计委员会与审计总监任期重叠影响公司盈余质量吗_吕梦.pdf
  • 问询函的溢出效应——基于盈余管理视角_梅蓓蕾.pdf
  • 问询函监管能改善公司的内部...自沪深交易所年报问询的证据_聂萍.pdf
  • 计算代码.do
  • 初始数据.dta
  • 应计盈余管理(业绩调整的修正的琼斯模型Kothari等).dta
  • 初始数据.xlsx



2022应计盈余管理(修正的琼斯模型陆建桥).rar
大小:(25.29 MB)

只需: RMB 39元  马上下载

本附件包括:

  • 初始数据.xlsx
  • 应计盈余管理(修正的琼斯模型陆建桥).xlsx
  • 变量替换整理.docx
  • 半强制分红政策影响了再融资企业的盈余管理吗__戴志敏.pdf
  • 高管股权激励、盈余管理与审...—基于盈余管理异质性的视角_邵剑兵.pdf
  • 公司战略影响盈余管理吗__孙健.pdf
  • 僵尸企业的“病毒”会传染吗...—基于财务信息透明度的证据_戴泽伟(多种计量方式).pdf
  • 计算代码.do
  • 初始数据.dta
  • 应计盈余管理(修正的琼斯模型陆建桥).dta



2022应计盈余管理(修正的琼斯模型Ball和Shivakumar).rar
大小:(22.82 MB)

只需: RMB 39元  马上下载

本附件包括:

  • 初始数据.dta
  • 应计盈余管理(修正的琼斯模型Ball和Shivakumar).dta
  • 初始数据.xlsx
  • 应计盈余管理(修正的琼斯模型Ball和Shivakumar).xlsx
  • 变量替换整理.docx
  • 审计委员会与审计总监任期重叠影响公司盈余质量吗_吕梦.pdf
  • 异常审计费用对审计质量的影响研究_韩丽荣.pdf
  • 计算代码.do



2022应计盈余管理(修正的琼斯模型Dechow和Dichev).rar
大小:(25.65 MB)

只需: RMB 24元  马上下载

本附件包括:

  • 应计盈余管理(修正的琼斯模型Dechow和Dichev).dta
  • 初始数据.xlsx
  • 应计盈余管理(修正的琼斯模型Dechow和Dichev).xlsx
  • 变量替换整理.docx
  • “信息机制”还是“成本机制...征管何以提高了企业盈余质量_李增福.pdf
  • 僵尸企业的“病毒”会传染吗...—基于财务信息透明度的证据_戴泽伟(多种计量方式).pdf
  • 审计委员会与审计总监任期重叠影响公司盈余质量吗_吕梦.pdf
  • 投资银行-审计师业务关联与IPO盈余管理_龚启辉.pdf
  • 计算代码.do
  • 初始数据.dta



2022应计盈余管理(修正的琼斯模型McNichols).rar
大小:(24.34 MB)

只需: RMB 24元  马上下载

本附件包括:

  • 应计盈余管理(修正的琼斯模型McNichols).dta
  • 初始数据.xlsx
  • 应计盈余管理(修正的琼斯模型McNichols).xlsx
  • 变量替换整理.docx
  • 僵尸企业的“病毒”会传染吗...—基于财务信息透明度的证据_戴泽伟(多种计量方式).pdf
  • 审计委员会与审计总监任期重叠影响公司盈余质量吗_吕梦.pdf
  • 投资银行-审计师业务关联与IPO盈余管理_龚启辉.pdf
  • 计算代码.do
  • 初始数据.dta






应计盈余管理合集,包括上述所有模型
2022应计盈余管理.rar
大小:(68.43 MB)

只需: RMB 108元  马上下载

本附件包括:

  • 初始数据.dta
  • 初始数据.xlsx
  • 说明.txt


二维码

扫码加我 拉你入群

请注明:姓名-公司-职位

以便审核进群资格,未注明则拒绝

全部回复
2023-7-19 22:05:50
欢迎大家购买!
二维码

扫码加我 拉你入群

请注明:姓名-公司-职位

以便审核进群资格,未注明则拒绝

2023-10-8 16:22:12
欢迎大家购买!
二维码

扫码加我 拉你入群

请注明:姓名-公司-职位

以便审核进群资格,未注明则拒绝

2023-12-30 13:14:27
欢迎大家购买!
二维码

扫码加我 拉你入群

请注明:姓名-公司-职位

以便审核进群资格,未注明则拒绝

2024-2-18 19:12:45
欢迎大家购买!保证数据质量!
二维码

扫码加我 拉你入群

请注明:姓名-公司-职位

以便审核进群资格,未注明则拒绝

2024-4-15 11:47:51
欢迎大家购买!保证数据质量!
二维码

扫码加我 拉你入群

请注明:姓名-公司-职位

以便审核进群资格,未注明则拒绝

相关推荐
栏目导航
热门文章
推荐文章

说点什么

分享

扫码加好友,拉您进群
各岗位、行业、专业交流群