经管之家App
让优质教育人人可得
立即打开
全部版块
我的主页
›
论坛
›
计量经济学与统计论坛 五区
›
计量经济学与统计软件
›
Stata专版
调节效应解释
楼主
小羊要努力发C
750
2
收藏
2023-09-27
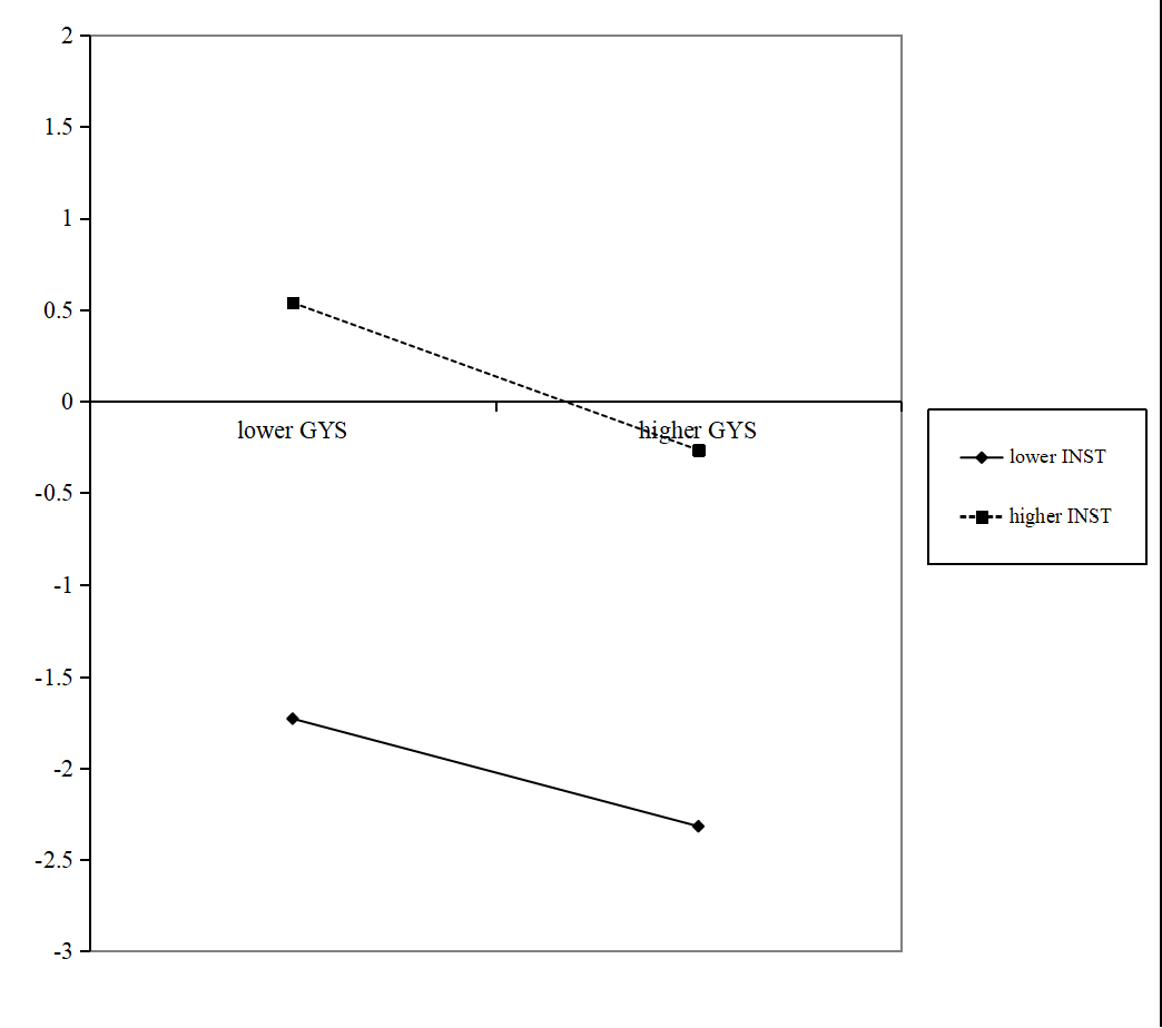
想问下大佬们,主效应是负向,这个调节效应图应该怎么解释呢?是缓解了主效应的抑制作用吗?
扫码加我 拉你入群
请注明:姓名-公司-职位
以便审核进群资格,未注明则拒绝
全部回复
沙发
小羊要努力发C
2023-9-27 16:33:48
图在这里
附件列表
屏幕截图 2023-09-27 162925.png
原图尺寸 24.72 KB
扫码加我 拉你入群
请注明:姓名-公司-职位
以便审核进群资格,未注明则拒绝
藤椅
spoonshen
2023-9-29 02:04:23
调节效应显然不显著。解释个头啊。
扫码加我 拉你入群
请注明:姓名-公司-职位
以便审核进群资格,未注明则拒绝
相关推荐
请问一个变量可不可以既有中介又有调节效应呢
调节效应采用分组回归的结果如何判定调节效应是否显著?请教高手
amos做类别变量调节效应遇到问题
数据少,如何检验调节效应(调节变量是潜变量)
求助:SAS 如何检验调节效应?
求助--调节效应的主效应问题
求问各位大佬们 调节效应
调节效应,请教
主效应为负,调节效应为负,该如何解释
调节变量判定标准
栏目导航
Stata专版
文献求助专区
宏观经济学
数据交流中心
行业分析报告
计量经济学与统计软件
热门文章
表格结构数据的核心特征及具象实例解析
2026中信里昂风水指数
2026年中国白银行业市场供需现状及发展趋势 ...
查找文献Digital mapping of soil organic ...
精准匹配,菁英相伴--经管之家单身俱乐部, ...
科研时间70%耗在“下载-复制-粘贴”?零代码 ...
我该如何记住你?智能体记忆系统的演化之路
CDA数据分析脱产就业班于2026年3月7日开班! ...
CDA 认证考试大纲 2025 重磅更新:一二级考 ...
伍德里奇计量经济学导论第六版教材PDF
推荐文章
2026JG学术冬训营:从Stata初高到Python机器 ...
【必看】【本版版规,欢迎发悬赏贴求助】
26年寒假天津站|Gemini论文写作&数据分析 ...
关于如何利用文献的若干建议
关于学术研究和论文发表的一些建议
关于科研中如何学习基础知识的一些建议 (一 ...
一个自编的经济学建模小案例 --写给授课本科 ...
AI智能体赋能教学改革: 全国AI教育教学应用 ...
2025中国AIoT产业全景图谱报告-406页
关于文献求助的一些建议
说点什么
分享
微信
QQ空间
QQ
微博
扫码加好友,拉您进群
各岗位、行业、专业交流群