全部版块 我的主页
论坛 计量经济学与统计论坛 五区 数据交流中心
1132 1
2023-12-21
数据名称:中国防风固沙量数据

数据时间:2000年至今

数据空间位置:全国

数据格式:tiff

数据空间分辨率:250m

数据坐标系:WGS 1984


防风固沙是生态系统(如森林、草地等)通过其结构与过程减少由于风蚀所导致的土壤侵蚀的作用,是生态系统提供的重要调节服务之一。防风固沙功能主要与风速、降雨、温度、土壤、地形和植被等因素密切相关。以防风固沙量(潜在风蚀量与实际风蚀量的差值)作为生态系统防风固沙功能的评估指标。
095d50dea7f893ad7b42f9c3a29eca7.png


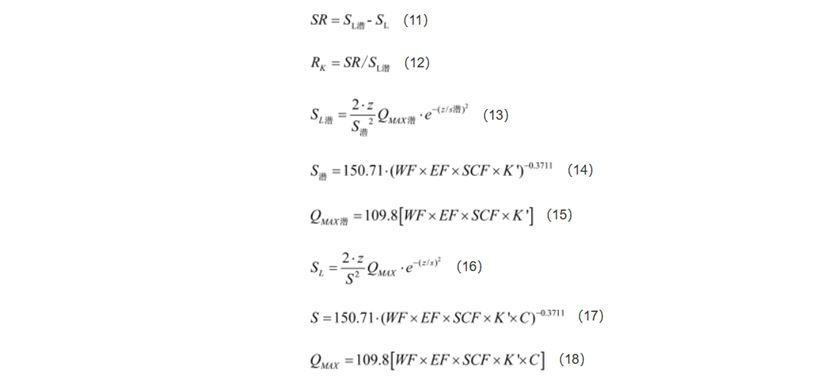
防风固沙功能通过估算潜在和实际风蚀强度模拟,计算方法如下

a70b896294431eee38fef50e9e1de62.png
其中,SR为固沙量(t. km-2 a-1);Rk 为固沙率;SL潜 为潜在风力侵蚀量(t .km-2 a-1);SL 为实际土壤侵蚀量(t. km-2 a-1);S潜 与S分别表示潜在和实际关键地块长度,单位为m;QMAX 为最大转移量(kg/m);QMAX潜 为潜在最大转移量(kg/m);z为最大风蚀出现距离(m);WF为综合气候因子(kg/m);K为地形因子;EF为土壤侵蚀因子;SCF为土壤结皮因子;C为植被覆盖因子。 数据单位t/a。

如需中国防风固沙量数据请联系地球资源数据云平台 (www.gis5g.com)  无套路获取  我会继续给大家上传好的数据~  
二维码

扫码加我 拉你入群

请注明:姓名-公司-职位

以便审核进群资格,未注明则拒绝

全部回复
2023-12-22 21:08:53
点赞分享
二维码

扫码加我 拉你入群

请注明:姓名-公司-职位

以便审核进群资格,未注明则拒绝

相关推荐
栏目导航
热门文章
推荐文章

说点什么

分享

扫码加好友,拉您进群
各岗位、行业、专业交流群