全部版块 我的主页
论坛 提问 悬赏 求职 新闻 读书 功能一区 经管文库(原现金交易版)
289 0
2024-04-17

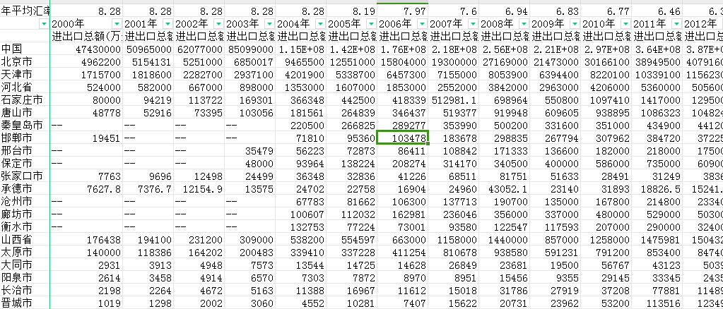
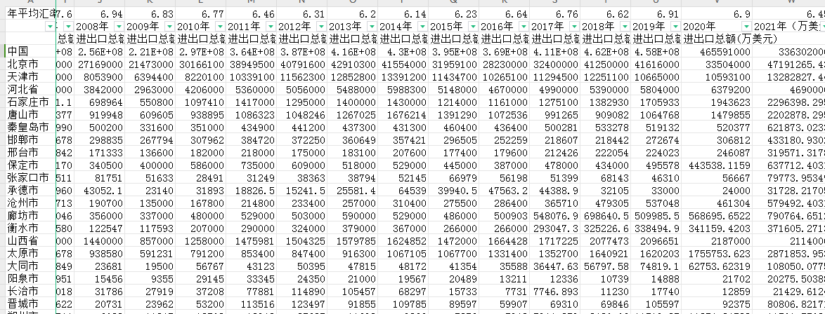
2000-2021300+地级市进出口总额/地级市对外经济贸易数据

1、时间:2000-2021年

2、指标:进出口总额

3、单位:万美元

4、来源:城市年鉴、各省年鉴、城市公报、2021年为城市统计年鉴中进口额出口额加总之后换算成万美元,已尽最大可能进行补全,具体缺失情况参看数据预览

5、范围:300+地级市

6、用途:可用于衡量地级市对外开放度数据



2000-2021年300+地级市进出口总额.xlsx
大小:(96.28 KB)

只需: RMB 40元  马上下载



1709102625339.jpg 1709102707913.jpg
二维码

扫码加我 拉你入群

请注明:姓名-公司-职位

以便审核进群资格,未注明则拒绝

相关推荐
栏目导航
热门文章
推荐文章

说点什么

分享

扫码加好友,拉您进群
各岗位、行业、专业交流群