经管之家App
让优质教育人人可得
立即打开
全部版块
我的主页
›
论坛
›
计量经济学与统计论坛 五区
›
计量经济学与统计软件
›
Stata专版
求大家看看stata多期DID的平行趋势检验能不能说得过去啊
楼主
学术小白一坨
906
2
收藏
2024-07-10
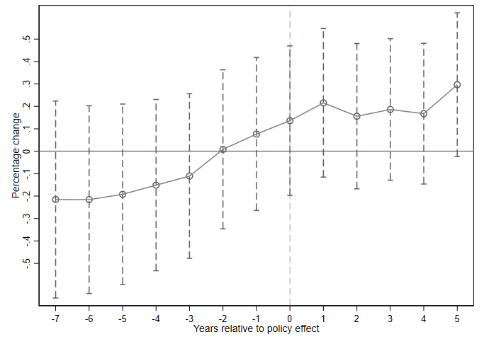
结果是这样的 计量学的不太好 也不知道能不能说得过去 大家帮帮忙看看
扫码加我 拉你入群
请注明:姓名-公司-职位
以便审核进群资格,未注明则拒绝
全部回复
沙发
学术小白一坨
2024-7-10 20:59:51
扫码加我 拉你入群
请注明:姓名-公司-职位
以便审核进群资格,未注明则拒绝
藤椅
15760043754
2024-7-12 18:02:00
第一,我似乎没看到基准期
第二,虽然这个只看pre trend,但post trend也是要看的。个人认为没有通过,政策效应不明显。
扫码加我 拉你入群
请注明:姓名-公司-职位
以便审核进群资格,未注明则拒绝
相关推荐
did倍差法stata的代码实现是什么
如何在STATA中使用倍差法DID(DD)
多期DID应该怎么做?STATA中怎么实现呢?请求大神路过给回复!!!!!!
Stata-DID 如何将同一个城市,同一个行业的企业识别出来?
有偿请教PSMDID的stata实现问题
stata中p值相关问题
有人知道stata,DID平行趋势检验出现这个问题怎么解决
【论文实证】新冠疫情对各国汇率的影响(附数据和Stata代码) PSM-DID
stata实证did机制检验求助
stata做did时如何保留在政策时点前后至少出现两期的样本
栏目导航
stata专版
经管文库
学道会
行业分析报告
文献求助专区
数据交流中心
热门文章
新宏观丨扩大内需的最大障碍是什么?
现代数学译丛14非线性最优化基础
【浙商证券】太空算力与商业航天行业专题报 ...
现代数学译丛10 调和分析基础教程
【华西证券】AI浪潮之基,电力价值与生态重 ...
物流运作基础 (英国皇家采购与供应学会(CI ...
【海通国际】如何理解“房地产高质量发展”
2026年Stata初高级寒假班—AI赋能+原理+操作 ...
一文了解11种最常见的机器学习算法应用场景
CDA数据分析师实战核心:假设检验的逻辑、方 ...
推荐文章
26年寒假天津站|Gemini论文写作&数据分析 ...
2026JG学术冬训营:从Stata初高到Python机器 ...
关于如何利用文献的若干建议
关于学术研究和论文发表的一些建议
关于科研中如何学习基础知识的一些建议 (一 ...
一个自编的经济学建模小案例 --写给授课本科 ...
AI智能体赋能教学改革: 全国AI教育教学应用 ...
2025中国AIoT产业全景图谱报告-406页
关于文献求助的一些建议
几种免费下载文献的方法----我的文献应助经
说点什么
分享
微信
QQ空间
QQ
微博
扫码加好友,拉您进群
各岗位、行业、专业交流群