全部版块 我的主页
论坛 数据科学与人工智能 数据分析与数据科学 SAS专版
7924 3
2011-09-20
HELP!!!
请问有人知道怎么用SAS求变异系数的置信区间不?什么过程可以直接出?
二维码

扫码加我 拉你入群

请注明:姓名-公司-职位

以便审核进群资格,未注明则拒绝

全部回复
2011-9-20 13:13:53
这么简单的问题,估计SAS中没有直接可以利用的Proc步。你先求出均值的置信区间,然后做个转换就OK了!
二维码

扫码加我 拉你入群

请注明:姓名-公司-职位

以便审核进群资格,未注明则拒绝

2011-9-20 13:20:13
tj0412ymy 发表于 2011-9-20 13:13
这么简单的问题,估计SAS中没有直接可以利用的Proc步。你先求出均值的置信区间,然后做个转换就OK了!
谢谢你的回答!
你的意思是用DELTA定理弄个公式然后拿SAS算一下么?
还是均值的置信区间能怎么转成弄变异系数的置信区间?
二维码

扫码加我 拉你入群

请注明:姓名-公司-职位

以便审核进群资格,未注明则拒绝

2011-9-20 15:07:08
indianfool 发表于 2011-9-20 13:20
谢谢你的回答!
你的意思是用DELTA定理弄个公式然后拿SAS算一下么?
还是均值的置信区间能怎么转成弄变 ...
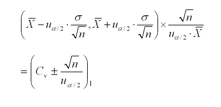
对于一维的简单情况,你可以如下转换:
附件列表
aa.jpg

原图尺寸 20.67 KB

aa.jpg

二维码

扫码加我 拉你入群

请注明:姓名-公司-职位

以便审核进群资格,未注明则拒绝

相关推荐
栏目导航
热门文章
推荐文章

说点什么

分享

扫码加好友,拉您进群
各岗位、行业、专业交流群