全部版块 我的主页
论坛 提问 悬赏 求职 新闻 读书 功能一区 经管文库(原现金交易版)
252 0
2024-08-19
资源介绍

1.png


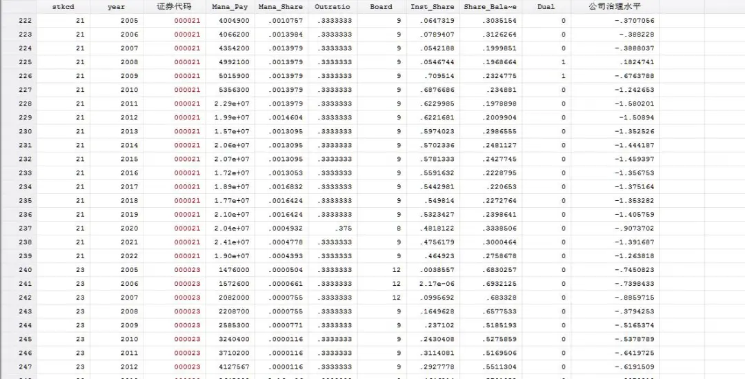
采用主成分分析法构建企业的治理水平,主成分分析法(PCA)是一种常用的数据分析方法,它通过线性变换将原始数据转换为一组各维度线性无关的新变量,即主成分,这些主成分能够保留数据中的主要信息并降低数据的复杂性。将第一主成分的得分作为公司治理水平的量化指标,即公司治理指数(Governance Index或CorGovindex)。该指数得分越高,表示公司治理水平越好。


【数据内容】上市公司-企业治理水平最结果+参考文献!【数据用途】自变量、因变量、调节变量、中介变量、控制变量均可!【测算方法】运用主成分分析法,从监督、激励、决策多方面构造综合性指标来度量公司治理水平。 选用高管薪酬(Mana_Pay)与高管持股比例(Mana_Share)来表示公司治理中的激励机制,用独立董事比例(Outratio)与董事会规模(Board)来表示董事会的监督作用,用机构持股比例(Inst_Share)与股权制衡度,Share_Balance)(二至五大股东持股比例之和/控股股东持股比例)来表示股权结构的监督作用,用董事长与总经理是否两职合一(Dual)来表示总经理的决策权力。基于上述7 个指标,运用主成分分析法构建公司治理指数。将从主成分分析法中得到的第一主成分作为反映公司治理水平的综合指标。得分越高,公司治理水平越好。
注:其中高管的定义采用广义的范畴:包括董事、监事和高级管理人员。
参考文献】
  • 周茜, 许晓芳, 陆正飞. 去杠杆,究竟谁更积极与稳妥?[J]. 管理世界, 2020(8):127-147.
  • 顾乃康, 周艳利. 卖空的事前威慑,公司治理与企业融资行为——基于融资融券制度的准自然实验检验[J]. 管理世界, 2017(2).
【版本】dta文件与excel文件.


2.png 3.png



二维码

扫码加我 拉你入群

请注明:姓名-公司-职位

以便审核进群资格,未注明则拒绝

相关推荐
栏目导航
热门文章
推荐文章

说点什么

分享

扫码加好友,拉您进群
各岗位、行业、专业交流群