经管之家App
让优质教育人人可得
立即打开
全部版块
我的主页
›
论坛
›
计量经济学与统计论坛 五区
›
计量经济学与统计软件
›
Stata专版
回归加入中介变量之后,自变量对因变量的影响系数变大是正常的吗?该怎么解释呢?
楼主
LMY18878563072
863
3
收藏
2024-08-24
回归加入中介变量之后,自变量对因变量的影响系数变大是正常的吗?该怎么解释呢?
扫码加我 拉你入群
请注明:姓名-公司-职位
以便审核进群资格,未注明则拒绝
全部回复
沙发
LMY18878563072
2024-8-24 22:07:18
回归加入中介变量之后,自变量对因变量的影响系数变大是正常的吗?该怎么解释呢?
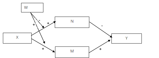
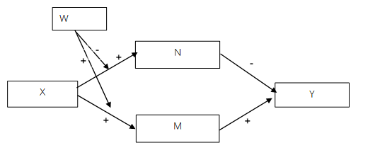
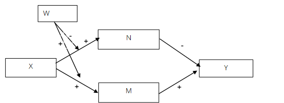
模型如图所示
附件列表
微信图片_20240821195300.png
原图尺寸 6.94 KB
微信图片_20240821195300.png
原图尺寸 6.94 KB
扫码加我 拉你入群
请注明:姓名-公司-职位
以便审核进群资格,未注明则拒绝
藤椅
188899999
2024-9-4 19:49:45
是的,会有这样得影响
扫码加我 拉你入群
请注明:姓名-公司-职位
以便审核进群资格,未注明则拒绝
板凳
188899999
2024-9-4 19:50:08
是的,是由这样得影响,加入得变量促进了这个主效应
扫码加我 拉你入群
请注明:姓名-公司-职位
以便审核进群资格,未注明则拒绝
相关推荐
引入中介变量,效应反而增强怎么回事?
中介变量检验
加入中介变量,自变量方向发生改变
部分中介的一些问题
找类似模型的论文
问一下各位大大,自变量、中介变量共同对因变量的回归用系数怎么表示啊
自变量与因变量负相关,自变量与中介变量正相关,中介变量与因变量负相关,请问怎么验
一个自变量、因变量、还有一个变量不能确定是不是中介变量,想咨询一下应当如何建模
一个自变量X 一个中介变量M,两个因变量Y1, Y2,请问下如何对比间接效应Ind有显著差
多个中介变量需要把全部的中介变量都放入同一个模型吗?
栏目导航
Stata专版
外语学习
麦田创投
学术道德监督
行业分析报告
经管文库(原现金交易版)
热门文章
告别熬夜头秃!3天论文特训,实现从“无从下 ...
一点写代码的心得:“你可别再重构了!”
杨威老师的股海捕鱼
助力高阶认证备考!CDA 三级新上线第一套官 ...
CDA数据分析脱产就业班于2025年12月08日开班 ...
2026价值投资者白皮书
《财经论丛》投稿与录用过程
英伟达CES+2026PPT:计算的炼金术PART1:物 ...
贾俊平《统计学》考点精讲+讲义
人工智能—历史、现状和未来
推荐文章
26年寒假天津站|Gemini论文写作&数据分析 ...
2026JG学术冬训营:从Stata初高到Python机器 ...
关于如何利用文献的若干建议
关于学术研究和论文发表的一些建议
关于科研中如何学习基础知识的一些建议 (一 ...
一个自编的经济学建模小案例 --写给授课本科 ...
AI智能体赋能教学改革: 全国AI教育教学应用 ...
2025中国AIoT产业全景图谱报告-406页
关于文献求助的一些建议
几种免费下载文献的方法----我的文献应助经
说点什么
分享
微信
QQ空间
QQ
微博
扫码加好友,拉您进群
各岗位、行业、专业交流群