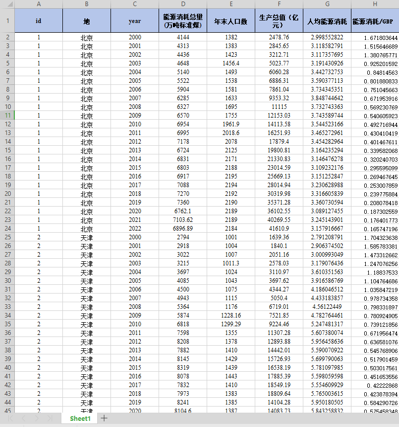
一、各省能源消耗总量和人均能源消耗
资源名称:各省能源消耗总量和人均能源消耗
时间范围:2000-2022年
数据来源:《中国能源统计年鉴》、各省统计年鉴等
注: 2022年由于新疆,湖南,福建,辽宁,内蒙古,河北6省缺失

二、2006-2021年地级市能源消耗数据(原始数据+计算过程+结果)
测算方法:使用电、石油、天然气进行测算,主要数据包括:全社会用电量万千瓦时
人工煤气和天然气供气总量万立方米(市辖区)、液化石油气供气总量吨市辖区、电折标准煤系数(0.1229千克标准煤/千瓦小时=1.229吨标准煤/万千瓦小时)、天然气折标准煤系数(1.33千克标准煤/立方米=13.3吨标准煤/万立方米)、液化石油气折标准煤系数(1.7143千克标准煤/千克=1.7143吨标准煤/吨)。
数据来源:中国城市统计年鉴、各省市统计年鉴和地级市统计公报!
其中2020年及以后城市统计年鉴不再公布社会用电量,所以从地级市统计公报去挨个扒,按着全市的口径找的,20和21年四个直辖市数据来源于中国统计年鉴,别的地级市数据来自各省、地级市年鉴和统计局公报。

三、2007-2022年上市公司能源消耗的数据
上市公司能源消耗的数据按照以下分类方式分别进行核算:
1.耗水量,单位:万吨
2.耗电量,单位:万千瓦时
3.煤炭使用量,单位:万吨
4.天然气使用量,单位:万立方米
5.汽油使用量,单位:万吨
6.柴油使用量,单位:万吨
7.集中供热,单位:万吉焦
8.折算成统一标准煤,单位:万吨标准煤
折算系数:
1.耗水量,0.0002429
2.耗电量,1.229
3.原煤使用量,0.7143
4.天然气使用量,13.3
5.汽油使用量,1.4714
6.柴油使用量,1.4571
7.集中供热,0.03412
折算成统一标准煤=耗水量×0.0002429+耗电量×1.229+原煤使用量×0.7143+天然气使用量×13.3+汽油使用量×1.4714+柴油使用量×1.4571+集中供热×0.03412
通过对每家上市公司的能源消耗情况进行数据挖掘,提取上市公司年报、社会责任报告、投资者关系活动中的能源消耗信息,在取得当地环保部门的许可下,结合企业及其子公司所在地环保部门的微观能源消耗数据库,进行综合统计,最终汇总形成上市公司的能源消耗数据。
数据来源:上市公司年报、上市公司社会责任报告、上市公司网站信息.
