全部版块 我的主页
论坛 提问 悬赏 求职 新闻 读书 功能一区 经管文库(原现金交易版)
969 9
2024-09-30
权益资本成本大合集

持续更新,后续关注我后免费获取更新版本
不管什么时候毕业或者发期刊用到,都能用到最新的数据

【原创整理,严禁转载,转载必究】


参考文献
[1]庞家任,张鹤,张梦洁.资本市场开放与股权资本成本——基于沪港通,深港通的实证研究[J].金融研究, 2020(12):20.[2]孙彤,薛爽,徐佳怡.非正式信息传递机制能降低公司权益融资成本吗?——基于企业家微博的实证检验[J].财经研究, 2020, 46(11):15.
[3]肖作平.终极所有权结构对资本结构选择的影响——来自中国上市公司的经验证据[J].中国管理科学, 2012, 20(4):167-176.

计算说明
GLS模型
QQ截图20240930104434.jpg

CAPM模型
QQ截图20240930104351.jpg


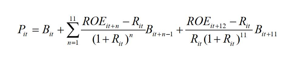
PEG模型、MPEG模型、OJ模型
QQ截图20240930104307.jpg


数据说明

样本选择:全部A股2007-2023年数据

包含两个版本:一份未剔除、一份剔除金融和ST、*ST或PT

注:提供了剔除所需数据和剔除代码,若无需做该项剔除处理,自行删除相关代码重新运行即可


基础数据的处理使用的是Stata软件,CAPM模型、PEG模型、MPEG模型、OJ模型的计算用stata 。GLS模型的非线性方程分别使用python和matlab的fsolve 方法求解。


压缩包都附有初始数据,计算代码,参考文献和最终数据



赠送超值上市基本信息:
证券代码、统计截止日期、上市公司ID、证券简称、ABH股交叉码、行业名称、行业代码、中文全称、公司成立日期、首次上市日期、法人代表、注册资本、公司网址、经营范围、主营业务、上市状态、注册具体地址、注册地址所属省份、注册地址所属城市、注册地经度(E)、注册地纬度(N)、公司办公地址、办公地址经度、办公地址纬度、办公地址邮政编码等。


再额外赠送超值上市常用分组指标:是否 ST或PT、是否金融业、资产负债率是否大于1、是否沪深A股、
是否北京A股、行业名称、行业代码、所属省份代码、所属省份、所属城市代码、所属城市、分东部地区、中部地区、西部地区、是否高科技行业、是否重污染行业

数据截图
QQ截图20241001110451.jpg


描述性统计


QQ截图20241001110421.jpg

QQ截图20241001110635.jpg




附件列表
QQ截图20241001110421.jpg

原图尺寸 17.53 KB

QQ截图20241001110421.jpg

二维码

扫码加我 拉你入群

请注明:姓名-公司-职位

以便审核进群资格,未注明则拒绝

全部回复
2024-10-1 21:55:06
之前购买过的关注我后免费获取更新版本
请在帖子下方贴出购买记录,方便核实,谢谢支持

二维码

扫码加我 拉你入群

请注明:姓名-公司-职位

以便审核进群资格,未注明则拒绝

2024-10-1 21:55:11

欢迎购买,超级实惠!支持原创,二手党绕路!持续更新,后续更新版本的数据大家可以联系我免费更新!
二维码

扫码加我 拉你入群

请注明:姓名-公司-职位

以便审核进群资格,未注明则拒绝

2024-10-1 21:55:18

整理所花费时间远超成本价
二维码

扫码加我 拉你入群

请注明:姓名-公司-职位

以便审核进群资格,未注明则拒绝

2024-10-2 15:26:02
老师您好,请问如何获取2023版的
附件列表
二维码

扫码加我 拉你入群

请注明:姓名-公司-职位

以便审核进群资格,未注明则拒绝

2024-10-2 18:39:16
六六番茄 发表于 2024-10-2 15:26
老师您好,请问如何获取2023版的
好的, 已私信
二维码

扫码加我 拉你入群

请注明:姓名-公司-职位

以便审核进群资格,未注明则拒绝

点击查看更多内容…
相关推荐
栏目导航
热门文章
推荐文章

说点什么

分享

扫码加好友,拉您进群
各岗位、行业、专业交流群